СЦБИСТ - железнодорожный форум, блоги, фотогалерея, социальная сеть
Вернуться   СЦБИСТ - железнодорожный форум, блоги, фотогалерея, социальная сеть > Флудильня > Разговоры обо всем
Разговоры обо всем Делимся житейскими проблемами. Также смотрите социальные группы локомотивщиков, путейцев, движенцев, эсцебистов, контактников, вагонников, связистов, проводников.
Закладки ДневникиПоддержка Сообщество Комментарии к фото Сообщения за день
Ответить в этой теме   Перейти в раздел этой темы    
 
В мои закладки Подписка на тему по электронной почте Отправить другу по электронной почте Опции темы Поиск в этой теме
Старый 06.04.2015, 13:47   #31 (ссылка)
Super V.I.P.
 
Аватар для ШНС КРП

Регистрация: 23.12.2010
Адрес: РФ
Возраст: 55
Сообщений: 3,400
Поблагодарил: 2662 раз(а)
Поблагодарили 3712 раз(а)
Фотоальбомы: 30 фото
Записей в дневнике: 1
Репутация: 1389
Про это эквивалентное сопротивление мне всё понятно. А вот дальше я не поняла. Но дальнейшее решение как скажете, так сразу выложу.
__________________
Будьте добрее, когда это возможно. А это возможно всегда.

© Далай Лама
ШНС КРП вне форума   Цитировать 0
Старый 06.04.2015, 13:48   #32 (ссылка)
ЛИИЖТ АТ-103 (1981-1986)
 
Аватар для Просто инженер АиТ

Регистрация: 16.10.2012
Адрес: Где резной палисад
Возраст: 64
Сообщений: 980
Поблагодарил: 220 раз(а)
Поблагодарили 140 раз(а)
Фотоальбомы: не добавлял
Репутация: 380
Решение по ссылке http://fizportal.ru/electric-current-8 на мой взгляд какое-то мутное.
__________________
Не важна реальность, важно как мы к ней относимся!
Просто инженер АиТ вне форума   Цитировать 0
Старый 06.04.2015, 13:49   #33 (ссылка)
V.I.P.

Автор темы
 
Аватар для Rafa

Регистрация: 24.10.2009
Адрес: МОЙДОДЫР
Сообщений: 5,650
Поблагодарил: 388 раз(а)
Поблагодарили 577 раз(а)
Фотоальбомы: не добавлял
Rafa вне форума   Цитировать 1
Старый 06.04.2015, 13:52   #34 (ссылка)
ЛИИЖТ АТ-103 (1981-1986)
 
Аватар для Просто инженер АиТ

Регистрация: 16.10.2012
Адрес: Где резной палисад
Возраст: 64
Сообщений: 980
Поблагодарил: 220 раз(а)
Поблагодарили 140 раз(а)
Фотоальбомы: не добавлял
Репутация: 380
"Вполне очевидно, что если отделить ее от цепи, то общее сопротивление этой цепи не изменится, т.к. число элементов (секций) бесконечно.", а вот она муть!
__________________
Не важна реальность, важно как мы к ней относимся!
Просто инженер АиТ вне форума   Цитировать 0
Старый 06.04.2015, 13:53   #35 (ссылка)
V.I.P.

Автор темы
 
Аватар для Rafa

Регистрация: 24.10.2009
Адрес: МОЙДОДЫР
Сообщений: 5,650
Поблагодарил: 388 раз(а)
Поблагодарили 577 раз(а)
Фотоальбомы: не добавлял
судя по тому результату который получил я общее

сопротивление цепи далеко не R
Rafa вне форума   Цитировать 1
Старый 06.04.2015, 13:58   #36 (ссылка)
V.I.P.

Автор темы
 
Аватар для Rafa

Регистрация: 24.10.2009
Адрес: МОЙДОДЫР
Сообщений: 5,650
Поблагодарил: 388 раз(а)
Поблагодарили 577 раз(а)
Фотоальбомы: не добавлял


Rafa добавил 06.04.2015 в 13:55
ЧУТЬ больше R

Rafa добавил 06.04.2015 в 13:56
Цитата:
Сообщение от Просто инженер АиТ Посмотреть сообщение
а вот она муть!
МОЖЕТ ЭТО КАКАЯ-ТО АБСТРАКЦИЯ ?

Rafa добавил 06.04.2015 в 13:58
Цитата:
Сообщение от Balbes Посмотреть сообщение
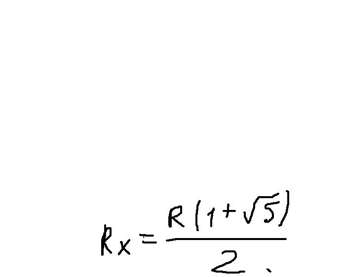
1,618 Ом
ЧТО ТО НЕ СХОДИТСЯ.

Последний раз редактировалось Rafa; 06.04.2015 в 13:58. Причина: Добавлено сообщение
Rafa вне форума   Цитировать 1
Старый 06.04.2015, 13:59   #37 (ссылка)
Super V.I.P.
 
Аватар для ШНС КРП

Регистрация: 23.12.2010
Адрес: РФ
Возраст: 55
Сообщений: 3,400
Поблагодарил: 2662 раз(а)
Поблагодарили 3712 раз(а)
Фотоальбомы: 30 фото
Записей в дневнике: 1
Репутация: 1389
ВЫ лучше скажите, что дальше с этим результатом делать будете, потому что я не понимаю дальнейшее решение совсем. Или може сразу выложить это решение?
__________________
Будьте добрее, когда это возможно. А это возможно всегда.

© Далай Лама
ШНС КРП вне форума   Цитировать 0
Старый 06.04.2015, 14:00   #38 (ссылка)
ЛИИЖТ АТ-103 (1981-1986)
 
Аватар для Просто инженер АиТ

Регистрация: 16.10.2012
Адрес: Где резной палисад
Возраст: 64
Сообщений: 980
Поблагодарил: 220 раз(а)
Поблагодарили 140 раз(а)
Фотоальбомы: не добавлял
Репутация: 380
Можно написать маленькую прогу с рекурсивным вхождением и попробовать посчитать ну хотя бы для 100 шагов (цепочек).
__________________
Не важна реальность, важно как мы к ней относимся!
Просто инженер АиТ вне форума   Цитировать 0
Старый 06.04.2015, 14:49   #39 (ссылка)
Super V.I.P.
 
Аватар для ШНС КРП

Регистрация: 23.12.2010
Адрес: РФ
Возраст: 55
Сообщений: 3,400
Поблагодарил: 2662 раз(а)
Поблагодарили 3712 раз(а)
Фотоальбомы: 30 фото
Записей в дневнике: 1
Репутация: 1389
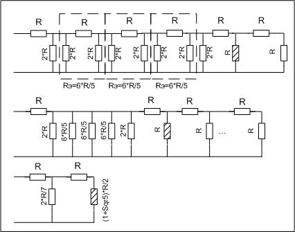
а вот и решение.

__________________
Будьте добрее, когда это возможно. А это возможно всегда.

© Далай Лама
ШНС КРП вне форума   Цитировать 0
Старый 06.04.2015, 14:51   #40 (ссылка)
Super V.I.P.
 
Аватар для ШНС КРП

Регистрация: 23.12.2010
Адрес: РФ
Возраст: 55
Сообщений: 3,400
Поблагодарил: 2662 раз(а)
Поблагодарили 3712 раз(а)
Фотоальбомы: 30 фото
Записей в дневнике: 1
Репутация: 1389
Я пробовала считать сопротивление пока не шла решение в интернете. Сколько ни добавляй, оно получалось больше 1,6, но меньше 1,7.

ШНС КРП добавил 06.04.2015 в 14:49
а вот и решение.



ШНС КРП добавил 06.04.2015 в 14:51
__________________
Будьте добрее, когда это возможно. А это возможно всегда.

© Далай Лама

Последний раз редактировалось ШНС КРП; 06.04.2015 в 14:53. Причина: Добавлено сообщение
ШНС КРП вне форума   Цитировать 0
Поблагодарили:
Данный пост получил благодарности от пользователей
Старый 06.04.2015, 15:11   #41 (ссылка)
ЛИИЖТ АТ-103 (1981-1986)
 
Аватар для Просто инженер АиТ

Регистрация: 16.10.2012
Адрес: Где резной палисад
Возраст: 64
Сообщений: 980
Поблагодарил: 220 раз(а)
Поблагодарили 140 раз(а)
Фотоальбомы: не добавлял
Репутация: 380
Я думал вообще ток в цепи, а тут на заштрихованном резюке, тогда малость не так будет, как я указывал ранее.

Просто инженер АиТ добавил 06.04.2015 в 15:11
Если не думать, то


Симулятор показал 8.13062mA
__________________
Не важна реальность, важно как мы к ней относимся!

Последний раз редактировалось Просто инженер АиТ; 06.04.2015 в 15:11. Причина: Добавлено сообщение
Просто инженер АиТ вне форума   Цитировать 0
Старый 06.04.2015, 19:03   #42 (ссылка)
Super V.I.P.
 
Аватар для АЛСНщик

Регистрация: 10.05.2009
Сообщений: 801
Поблагодарил: 544 раз(а)
Поблагодарили 382 раз(а)
Фотоальбомы: не добавлял
Репутация: 508
Задача вполне олимпийская, но совершенно не по физике. Физического смысла в ней ноль целых хрен десятых. Это в чистом виде задача по математике, а именно на понимание абстрактного понятия счётного бесконечного множества. Считать, что это задача по физике - всё равно, что полагать, будто механико-математический факультет МГУ готовит механиков
__________________
Я по роду-племени тутошний, а вот по образованию - я тамошний
АЛСНщик на форуме   Цитировать 0
Поблагодарили:
Данный пост получил благодарности от пользователей
Старый 07.04.2015, 09:31   #43 (ссылка)
ЛИИЖТ АТ-103 (1981-1986)
 
Аватар для Просто инженер АиТ

Регистрация: 16.10.2012
Адрес: Где резной палисад
Возраст: 64
Сообщений: 980
Поблагодарил: 220 раз(а)
Поблагодарили 140 раз(а)
Фотоальбомы: не добавлял
Репутация: 380
У меня есть мысль и я её сейчас нарисую.

Просто инженер АиТ добавил 07.04.2015 в 09:31
__________________
Не важна реальность, важно как мы к ней относимся!

Последний раз редактировалось Просто инженер АиТ; 07.04.2015 в 09:31. Причина: Добавлено сообщение
Просто инженер АиТ вне форума   Цитировать 0
Старый 13.04.2015, 15:06   #44 (ссылка)
V.I.P.

Автор темы
 
Аватар для Rafa

Регистрация: 24.10.2009
Адрес: МОЙДОДЫР
Сообщений: 5,650
Поблагодарил: 388 раз(а)
Поблагодарили 577 раз(а)
Фотоальбомы: не добавлял
гадал-гадал и решил все свалить на ЭВМ.

она четко показала , что при к-ве звеньев > 10 результат будет

один и тот-же (экв. сопротивление цепи).

для этого существует даже разработанный класс.

___________________________________



#include <stdio.h>
#include <conio.h>

class Vodka

{

private:

int n;

float R;

float r;

float vobo(int n, float r1) const;

public:

Vodka() {}

~Vodka() {}

void bovo(int c, float rr);

int bofo() const {return n;}

float volo() const {return R;}
};

void Vodka :: bovo(int c, float rr)

{
n = c;

r=rr;

R = vobo(n,2*r);
}


float Vodka :: vobo(int n, float r1) const

{
if(n<=1) return r1;

else

{
r1=r+(r1*r/(r1+r));

n--;

return vobo(n,r1);
}
}




int main()

{
Vodka *Rus=new Vodka [5];

int i,n;

float r = 1;

for(i=0,n=1;i<5;i++,n+=3)

Rus[i].bovo(n,r);

for(i=0;i<5;i++)

printf("\n *** n = %d R = %f\n",Rus[i].bofo(),Rus[i].volo());

delete [] Rus;

getch();

return 0;
}

Rafa добавил 13.04.2015 в 15:04
ток в любом звене можна найти с помощью класса.




#include <stdio.h>
#include <conio.h>

class Vodka

{

private:

int n;

int N;

float R;

float r;


float vobo(int n, float r1) const;

void kio (float I, float U, int k) const;

public:

Vodka() {}

~Vodka() {}

void bovo(int c, float rr, int k, float u);

int bofo() const {return n;}

float volo() const {return R;}
};

void Vodka :: bovo(int c, float rr, int k, float u)

{
n = c;

N=k;

r=rr;

R = vobo(n,2*r);

kio (u/R,u,1);
}


float Vodka :: vobo(int n, float r1) const

{
if(n<=1) return r1;

else

{
r1=r+(r1*r/(r1+r));

n--;

return vobo(n,r1);
}
}

void Vodka :: kio (float I, float U, int k) const

{
U=U-(I*r);

printf("\n *** %d : %f\n",k,U/r);

if(k != N)

{
k++;

I = I - (U/r);

kio (I,U,k);
}
}

int main()

{
Vodka *Rus=new Vodka ;

int i,n=1000,k=100;

float r = 1, U = 1;



Rus->bovo(n,r,k,U);



printf("\n *** n = %d R = %f\n",Rus->bofo(),Rus->volo());

delete Rus;

getch();

return 0;
}

Rafa добавил 13.04.2015 в 15:04
отрицательные числа впечатляют.

но все ок. эвм тоже иногда тупит.

Rafa добавил 13.04.2015 в 15:06
Цитата:
Сообщение от АЛСНщик Посмотреть сообщение
но совершенно не по физике.
не шуми. это 8 класс

Последний раз редактировалось Rafa; 13.04.2015 в 15:06. Причина: Добавлено сообщение
Rafa вне форума   Цитировать 1
Старый 13.04.2015, 16:03   #45 (ссылка)
ЛИИЖТ АТ-103 (1981-1986)
 
Аватар для Просто инженер АиТ

Регистрация: 16.10.2012
Адрес: Где резной палисад
Возраст: 64
Сообщений: 980
Поблагодарил: 220 раз(а)
Поблагодарили 140 раз(а)
Фотоальбомы: не добавлял
Репутация: 380
Цитата:
int main()
{
Vodka *Rus=new Vodka [5]; // Зачем выделять массив по new?
// Если, что динамически выделяешь, всегда проверь результат выделения, иногда просишь выделить, а тебе не дают!
if ( Rus == NULL )
{
printf ( "Ошибка. Не могу выделить массив!!!" );
return -1;
}

int i,n;
float r = 1; // Значение сопротивления.
//---------------------------------------------
// Что будем считать?
for ( i=0, n=1; i<5; i++, n+=3 )
{
Rus[i].bovo ( n, r );

//for ( i=0; i<5; i++ ) Зачем делать ещё раз цикл?

printf ( "\n *** n = %d R = %f\n",
Rus[i].bofo(), // Столько мароки, чтобы возвратить n, когда она и так есть !?
Rus[i].volo() );
}

delete [] Rus; // Ну вот теперь действительно надо ещё и удалять!

getch ( ); // Ожидание, чтобы скопировать результат.

return 0; // А что может быть другой возврат?
}
Такие задачи считаются матричным способом.
А вот применение рекурсии мне понравилось.
__________________
Не важна реальность, важно как мы к ней относимся!

Последний раз редактировалось Просто инженер АиТ; 13.04.2015 в 16:10.
Просто инженер АиТ вне форума   Цитировать 0
Похожие темы
Тема Автор Раздел Ответов Последнее сообщение
Задачка МуРЗ Мурзович Энергетики 3 25.02.2014 23:26
Задачка МуРЗ Мурзович Машинисту электровоза 5 02.01.2014 17:29
3800 задач по физике для школьников и поступающих в ВУЗы Admin Физика 0 23.09.2013 17:44
Задачка! formatpc Ищу/Предлагаю 43 08.04.2012 20:03
Задача №3 Егор777 Движенцы 12 10.01.2012 21:11

Ответить в этой теме   Перейти в раздел этой темы


Здесь присутствуют: 1 (пользователей: 0 , гостей: 1)
 

Ваши права в разделе
Вы не можете создавать новые темы
Вы не можете отвечать в темах
Вы не можете прикреплять вложения
Вы не можете редактировать свои сообщения

BB коды Вкл.
Смайлы Вкл.
[IMG] код Вкл.
HTML код Выкл.
Trackbacks are Вкл.
Pingbacks are Вкл.
Refbacks are Выкл.



Часовой пояс GMT +3, время: 08:36.

Яндекс.Метрика Справочник 
сцбист.ру сцбист.рф

СЦБИСТ (ранее назывался: Форум СЦБистов - Railway Automation Forum) - крупнейший сайт работников локомотивного хозяйства, движенцев, эсцебистов, путейцев, контактников, вагонников, связистов, проводников, работников ЦФТО, ИВЦ железных дорог, дистанций погрузочно-разгрузочных работ и других железнодорожников.
Связь с администрацией сайта: admin@scbist.com
1 2 3 4 5 6 7 8 9 10 11 12 13 14 15 16 17 18 19 20 21 22 23 24 25 26 27 28 29 30 31 32 33 34 
Powered by vBulletin® Version 3.8.1
Copyright ©2000 - 2026, Jelsoft Enterprises Ltd.
Powered by NuWiki v1.3 RC1 Copyright ©2006-2007, NuHit, LLC Перевод: zCarot