СЦБИСТ - железнодорожный форум, блоги, фотогалерея, социальная сеть
Вернуться   СЦБИСТ - железнодорожный форум, блоги, фотогалерея, социальная сеть > Эксплуатация устройств СЦБ > Постовое и напольное оборудование
Закладки ДневникиПоддержка Сообщество Комментарии к фото Сообщения за день
Ответить в этой теме   Перейти в раздел этой темы    
 
В мои закладки Подписка на тему по электронной почте Отправить другу по электронной почте Опции темы Поиск в этой теме
Старый 15.06.2011, 11:34   #16 (ссылка)
Кандидат в V.I.P.
 
Аватар для rusiano

Регистрация: 06.07.2009
Сообщений: 33
Поблагодарил: 37 раз(а)
Поблагодарили 28 раз(а)
Фотоальбомы: не добавлял
Репутация: 5
Цитата:
Сообщение от Sama Y Посмотреть сообщение
Дано: любое переустройство ЭЦ (АБТЦ) с установкой дополнительных стативов.
Вопрос: проверяете ли вы новые приборы в КИПе дистанции перед установкой их на новый статив? И, если да, то за счет каких средств.
В сметах от общей пусконаладки берутся:
- пусконаладка "вхолостую" - 80%
- пусконаладка "под нагрузкой" - 20 % (не входит в общую стоимость строительства и эта цифра в своднике для справки)

Та, что "под нагрузкой" - за счет линейного предприятия.
Мы всегда подразумевали что в "под нагрузкой" входит также и проверка приборов в КИПе перед установкой на стативы (текущие или сверхурочные работы ШЧ). А значит все исчисления по затратам времени на проверку контактов и т.д. оказываются лишними. Так у нас было.

Ну и основание: 223р от 21.02.2005г. "п. 3.1. Затраты на пусконаладочные работы "под нагрузкой", не относимые на капитальные вложения и осуществляемые за счет средств основной деятельности эксплуатирующих предприятий и организаций, включаются в сводную смету на ввод в эксплуатацию объекта....."

Все это применимо для ОАО "РЖД" (тут наверное понятие будет не "заложить в смету" а "указать для справки в смете"). Т.е. грубо говоря - проверка приборов берется как процент от общей стоимости пусконаладки. Как они эти 20% потратят - их задачи.
Для других случаев действительно надо закладывать и расчитывать.

Последний раз редактировалось rusiano; 15.06.2011 в 11:38.
rusiano вне форума   Цитировать 0
Поблагодарили:
Данный пост получил благодарности от пользователей
Старый 15.06.2011, 17:57   #17 (ссылка)
))

Автор темы
 
Аватар для Sama Y

Регистрация: 22.02.2010
Адрес: Екатеринбург
Сообщений: 2,535
Поблагодарил: 2253 раз(а)
Поблагодарили 1402 раз(а)
Фотоальбомы: не добавлял
Записей в дневнике: 6
rusiano,
20% от пусконаладки - это очень мало.

а опять шум до горы ногами....

"смайлик, который ревет"
Sama Y вне форума   Цитировать 0
Старый 15.06.2011, 20:06   #18 (ссылка)
Super V.I.P.
 
Аватар для ШНС КРП

Регистрация: 23.12.2010
Адрес: РФ
Возраст: 56
Сообщений: 3,404
Поблагодарил: 2666 раз(а)
Поблагодарили 3717 раз(а)
Фотоальбомы: 30 фото
Записей в дневнике: 1
Репутация: 1436
это ссылка на 1 часть
http://scbist.com/dokumentaciya/1634...html#post10735
ШНС КРП вне форума   Цитировать 0
Поблагодарили:
Данный пост получил благодарности от пользователей
Старый 15.06.2011, 20:21   #19 (ссылка)
Super V.I.P.
 
Аватар для Суховерша Алексей

Регистрация: 24.01.2011
Адрес: Калининград
Возраст: 63
Сообщений: 9,085
Поблагодарил: 1796 раз(а)
Поблагодарили 2156 раз(а)
Фотоальбомы: 710 фото
Репутация: 673
Цитата:
и как правильно документ называется
Ну, никуда без ЦК профсоюзов...
Вот нет их на Форуме, скрывают что-то, а ведь могли бы с СЦБистмаи поделиться
Суховерша Алексей вне форума   Цитировать 1
Старый 15.06.2011, 21:07   #20 (ссылка)
Super V.I.P.
 
Аватар для ШНС КРП

Регистрация: 23.12.2010
Адрес: РФ
Возраст: 56
Сообщений: 3,404
Поблагодарил: 2666 раз(а)
Поблагодарили 3717 раз(а)
Фотоальбомы: 30 фото
Записей в дневнике: 1
Репутация: 1436


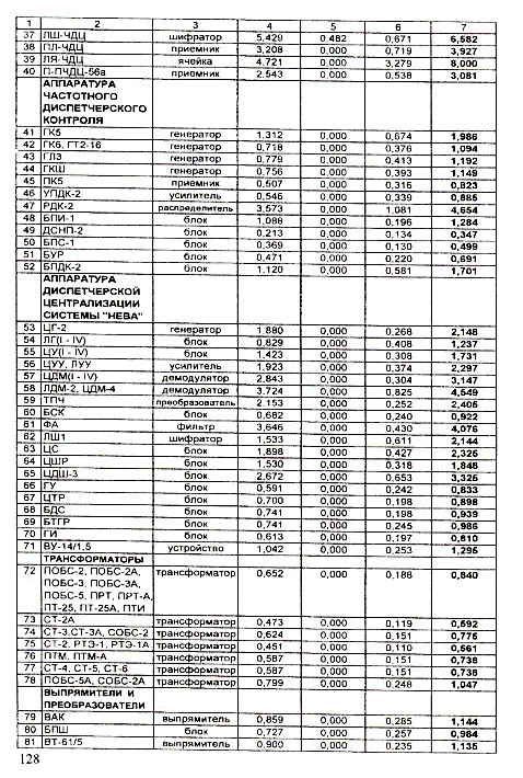
ШНС КРП добавил 15.06.2011 в 21:42


ШНС КРП добавил 15.06.2011 в 21:44

Это из второй части норм времени

ШНС КРП добавил 15.06.2011 в 22:03
Во второй части , правда, какие-то бестолковые нормы времени, такое ощущение что перепутали графы на ремонт и на приемку аппаратуры.

ШНС КРП добавил 15.06.2011 в 22:04
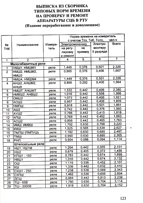
А это из первой части


ШНС КРП добавил 15.06.2011 в 22:06


ШНС КРП добавил 15.06.2011 в 22:07

Последний раз редактировалось ШНС КРП; 15.06.2011 в 21:07. Причина: Добавлено сообщение
ШНС КРП вне форума   Цитировать 0
Поблагодарили:
Данный пост получил благодарности от пользователей
Старый 16.06.2011, 04:45   #21 (ссылка)
Super V.I.P.
 
Аватар для led

Регистрация: 09.04.2009
Сообщений: 1,963
Поблагодарил: 11 раз(а)
Поблагодарили 153 раз(а)
Фотоальбомы: 3 фото
Репутация: 107
Цитата:
Сообщение от rusiano Посмотреть сообщение
Мы всегда подразумевали что в "под нагрузкой" входит также и проверка приборов в КИПе перед установкой на стативы (текущие или сверхурочные работы ШЧ). А значит все исчисления по затратам времени на проверку контактов и т.д. оказываются лишними. Так у нас было.
А на основании чего вы это подразумевали? На основании каких нормативных документов? Или каких логических выкладок?
led вне форума   Цитировать 0
Старый 16.06.2011, 05:59   #22 (ссылка)
Super V.I.P.
 
Аватар для KPV

Регистрация: 27.09.2009
Сообщений: 615
Поблагодарил: 53 раз(а)
Поблагодарили 267 раз(а)
Фотоальбомы: не добавлял
Репутация: 358
Цитата:
Сообщение от rusiano
В сметах от общей пусконаладки берутся:
- пусконаладка "вхолостую" - 80%
- пусконаладка "под нагрузкой" - 20 % (не входит в общую стоимость строительства и эта цифра в своднике для справки)
"В соответствии с письмом Минрегионразвития РФ от 13.04.2011 № ВТ-386/08:
В связи с поступающими обращениями федеральных органов исполнительной власти и органов исполнительной власти субъектов Российской Федерации по вопросу учета затрат на выполнение пусконаладочных работ Министерство регионального развития Российской Федерации разъясняет следующее.
При строительстве новых, реконструкции и техническом перевооружении действующих объектов жилищно-гражданского, социального, а также специального назначения, не связанных с выпуском продукции (получением дохода от ее реализации), все затраты на проведение пусконаладочных работ, необходимые для доведения объекта до состояния, пригодного для его использования, выполняемые до ввода объекта в эксплуатацию и формирования первоначальной стоимости амортизируемого имущества (основных средств), включаются в главу 9 "Прочие работы и затраты" (графы 7 и 8) сводного сметного расчета стоимости строительства, без разделения на работы, выполняемые "вхолостую" и "под нагрузкой".
При этом состав и объем выполняемых пусконаладочных работ должны соответствовать требованиям проекта, СНиПов, технических регламентов, технической документации предприятий - изготовителей оборудования, другой нормативно-технической документации органов государственного контроля и надзора, правил технической эксплуатации и техники безопасности.
Учет затрат на выполнение пусконаладочных работ объектов производственного назначения необходимо производить в соответствии с пунктом 4.102 Методики определения стоимости строительной продукции на территории Российской Федерации (МДС 81-35.2004), утвержденной и введенной в действие Постановлением Государственного комитета Российской Федерации по строительству и жилищно-коммунальному комплексу от 5 марта 2004 г. N 15/1 "Об утверждении и введении в действие методики определения стоимости строительной продукции на территории Российской Федерации".
С выходом настоящих разъяснений письмо Государственного комитета Российской Федерации по строительству и жилищно-коммунальному комплексу от 27 октября 2003 г. N НК-6848/10 утрачивает силу.

И.о. Министра
В.А.ТОКАРЕВ "
KPV вне форума   Цитировать 0
Поблагодарили:
Данный пост получил благодарности от пользователей
Старый 16.06.2011, 06:26   #23 (ссылка)
Super V.I.P.
 
Аватар для Бригадир

Регистрация: 28.04.2009
Адрес: Иркутск
Возраст: 46
Сообщений: 605
Поблагодарил: 96 раз(а)
Поблагодарили 153 раз(а)
Фотоальбомы: не добавлял
Репутация: 54
Цитата:
Сообщение от KPV
"В соответствии с письмом Минрегионразвития РФ от 13.04.2011 № ВТ-386/08:
А можно скан этого письма.
__________________
Дмитрий
Бригадир вне форума   Цитировать 0
Старый 16.06.2011, 10:47   #24 (ссылка)
Кандидат в V.I.P.
 
Аватар для rusiano

Регистрация: 06.07.2009
Сообщений: 33
Поблагодарил: 37 раз(а)
Поблагодарили 28 раз(а)
Фотоальбомы: не добавлял
Репутация: 5
Цитата:
Сообщение от led Посмотреть сообщение
А на основании чего вы это подразумевали? На основании каких нормативных документов? Или каких логических выкладок?
Ну и основание: 223р от 21.02.2005г. "п. 3.1. Затраты на пусконаладочные работы "под нагрузкой", не относимые на капитальные вложения и осуществляемые за счет средств основной деятельности эксплуатирующих предприятий и организаций, включаются в сводную смету на ввод в эксплуатацию объекта....."

Приборы заказаны, приборы привезли, проверка - на совести ШЧ.

Согласен - спорное утверждение, но так всегда проходило в ДКСС

Про письмо № ВТ-386/08 был не в курсе, прошу прощения - не "верчусь" уже в сметном деле. Если МинРегион выпустил, значит и наши скоро выпустят документик

Последний раз редактировалось rusiano; 16.06.2011 в 11:17.
rusiano вне форума   Цитировать 0
Старый 16.06.2011, 11:27   #25 (ссылка)
Super V.I.P.
 
Аватар для led

Регистрация: 09.04.2009
Сообщений: 1,963
Поблагодарил: 11 раз(а)
Поблагодарили 153 раз(а)
Фотоальбомы: 3 фото
Репутация: 107
А никто и не говорит, что проверка не на совести ШЧ. Просто просят эту проверку осметить. А-то, что она не учтена пусконаладкой под нагрузкой - однозначно.
led вне форума   Цитировать 0
Старый 17.06.2011, 10:05   #26 (ссылка)
Super V.I.P.
 
Аватар для KPV

Регистрация: 27.09.2009
Сообщений: 615
Поблагодарил: 53 раз(а)
Поблагодарили 267 раз(а)
Фотоальбомы: не добавлял
Репутация: 358
Цитата:
Сообщение от Бригадир
А можно скан этого письма.
С подписями не имеем. Взято с КонсультантПлюс. Для РЖД пока делаем по старому (20-80) до получения официальной редакции МПС (может еще чего-нибудь придумают).
KPV вне форума   Цитировать 0
Старый 23.07.2013, 21:22   #27 (ссылка)
Кандидат в V.I.P.
 
Аватар для VV70

Регистрация: 05.02.2012
Сообщений: 1
Поблагодарил: 0 раз(а)
Поблагодарили 0 раз(а)
Фотоальбомы: не добавлял
Репутация: 0
А где можно найти нормы времени на ремонт аппаратуры КЭБ-1, САУТ, АКСТ, СЧД? Существуют ли они?
VV70 вне форума   Цитировать 0
Старый 16.10.2013, 14:18   #28 (ссылка)
Кандидат в V.I.P.
 
Аватар для bulava

Регистрация: 30.06.2010
Сообщений: 28
Поблагодарил: 1 раз(а)
Поблагодарили 0 раз(а)
Фотоальбомы: не добавлял
Репутация: 0
Эту книга есть на этом сайте
bulava вне форума   Цитировать 0
Старый 30.07.2021, 14:12   #29 (ссылка)
Кандидат в V.I.P.
 
Аватар для Ахтем

Регистрация: 14.09.2011
Сообщений: 6
Поблагодарил: 0 раз(а)
Поблагодарили 0 раз(а)
Фотоальбомы: не добавлял
Репутация: 0

Тема: Проерка аппаратуры СЦБ


Добрый день, подскажите есть ли нормативный документ который разрешает или запрещает установку реле на другие объекты если оно было в эксплуатации 2 года без контрольной проверки в РТУ. Т.е. реле НМШ1-1800 10.02.2018 года проверки в РТУ было установлено на переезде, затем переезд демонтировали и данное реле устанавливают на пост ЭЦ. Нужно ли проводить перепроверку реле?
Ахтем вне форума   Цитировать 0
Похожие темы
Тема Автор Раздел Ответов Последнее сообщение
Проверка ГЗА-0.66, РКН в РТУ zhuravlev Ремонтно-технологический участок 1 26.04.2016 09:30
Проверка АЛСН на ТО-2 vadim55 Локомотивные устройства и АЛС 12 12.04.2015 08:00
Каталог оборудования, АПК-ДК Admin Диспетчерские централизации и диспетчерский контроль 0 19.03.2011 19:50
Внутренняя проверка СП с МСП ШНС СЦБ Постовое и напольное оборудование 22 30.10.2010 08:41
Проверка знаний Rus1359 Общие вопросы эксплуатации устройств СЦБ 3 04.08.2010 23:01

Ответить в этой теме   Перейти в раздел этой темы   Translate to English

Возможно вас заинтересует информация по следующим меткам (темам):
, , , , , , , , , , ,


Здесь присутствуют: 1 (пользователей: 0 , гостей: 1)
 

Ваши права в разделе
Вы не можете создавать новые темы
Вы не можете отвечать в темах
Вы не можете прикреплять вложения
Вы не можете редактировать свои сообщения

BB коды Вкл.
Смайлы Вкл.
[IMG] код Вкл.
HTML код Выкл.
Trackbacks are Вкл.
Pingbacks are Вкл.
Refbacks are Выкл.



Часовой пояс GMT +3, время: 00:40.

Яндекс.Метрика Справочник 
сцбист.ру сцбист.рф

СЦБИСТ (ранее назывался: Форум СЦБистов - Railway Automation Forum) - крупнейший сайт работников локомотивного хозяйства, движенцев, эсцебистов, путейцев, контактников, вагонников, связистов, проводников, работников ЦФТО, ИВЦ железных дорог, дистанций погрузочно-разгрузочных работ и других железнодорожников.
Связь с администрацией сайта: admin@scbist.com
1 2 3 4 5 6 7 8 9 10 11 12 13 14 15 16 17 18 19 20 21 22 23 24 25 26 27 28 29 30 31 32 33 34 
Powered by vBulletin® Version 3.8.1
Copyright ©2000 - 2026, Jelsoft Enterprises Ltd.
Powered by NuWiki v1.3 RC1 Copyright ©2006-2007, NuHit, LLC Перевод: zCarot