СЦБИСТ - железнодорожный форум, блоги, фотогалерея, социальная сеть
Вернуться   СЦБИСТ - железнодорожный форум, блоги, фотогалерея, социальная сеть > Уголок СЦБИСТа > Книги и журналы > xx1
Закладки ДневникиПоддержка Сообщество Комментарии к фото Сообщения за день
Ответить в этой теме   Перейти в раздел этой темы    
 
В мои закладки Подписка на тему по электронной почте Отправить другу по электронной почте Опции темы Поиск в этой теме
Старый 05.02.2025, 07:13   #1 (ссылка)
Crow indian
 
Аватар для Admin

Регистрация: 21.02.2009
Возраст: 40
Сообщений: 30,150
Поблагодарил: 398 раз(а)
Поблагодарили 6009 раз(а)
Фотоальбомы: 2607 фото
Записей в дневнике: 811
Репутация: 126146

Тема: [01-2025] Влияние изменения температуры на содержание стыков звеньевого пути


Влияние изменения температуры на содержание стыков звеньевого пути


БОНДАРЕНКО А.А., Самарский государственный университет путей сообщения (СГУПС), каид. техн, наук, ТИШУКОВ С.В., СГУПС, канд. техн, наук, ВАСИЛЬЕВА О.М., СГУПС, старший преподаватель

Рельсовый стык, особенно в растянутом до конструктивного или даже более значения, был и остается одним из слабых и опасных мест в звеньевой конструкции верхнего строения пути [1, 2]. На приведение стыков в исправное состояние приходится до 45 % затрат на текущее содержание пути [1—3]. До сих пор не удалось установить точную величину номинального стыкового зазора, под которым подразумевается зазор, позволяющий создать оптимальные условия температурной работы 25-метровых рельсов [3—6].
В настоящее время номинальный зазор для конкретной дистанции пути определяют эмпирически по действующим нормативам, выполнение которых для большей части дорог, расположенных в районах с резкими перепадами суточных температур, не позволяет оптимизировать температурную работу звеньевого пути. При этом под оптимизацией понимают полное использование конструктивного зазора при высоких положительных температурах в летний период и исключение изгиба стыковых болтов при низких отрицательных в зимний [3, 4, 5].


Например, в районе Онеги годовая амплитуда температуры рельсов составляет 99 °C (traax = +53 °C и tmin= -46 °C), что отвечает второй климатической зоне, где годовые амплитуды изменяются от 80 до 100 °C. В этом случае в соответствии с существующими рекомендациями нулевые зазоры следует устанавливать при температуре +40 °C. Конструктивному зазору 21 мм соответствует температура -31 °C, а зазору 23 мм 38 °C. По этой рекомендации осу-
ществляют назначение и установку зазоров при первоначальной укладке рельсов или звеньев путевой решетки, а также при сплошной смене рельсов новыми или старогодными. Теми же значениями руководствуются при разгонке или регулировке стыковых зазоров, т. е. устанавливают номинальные зазоры при отсутствии стыкового сопротивления для свободно лежащих рельсов [1, 7—9].
Для практических измерений стыковых зазоров используют обычные прозорники (ручной способ измерений) или современные мобильные средства диагностики (МСД) типа «ЭРА+» и др. Ручные измерения, которые на практике применяются все реже, позволяют получить только единичные значения зазоров сначала по одной рельсовой нити, затем по другой, а МСД в автоматическом режиме непрерывно фиксируют зазоры на всем протяжении участка измерений, высоту вертикальной ступеньки, а также температуру рельсов одновременно по обеим нитям. В результате программное обеспечение МСД выдает выходные формы, позволяющие оперативно принимать решения по обеспечению безопасности движения.

Диагностическое оборудование МСД содержит систему оценки рельсовых стыков (СОС), которая входит в состав приложений дополнительных параметров бортовой автоматизированной системы «ЭРА+» [10]. Она обеспечивает измерение, фиксацию и привязку положения зазоров к координате пути.
При наличии ступенек (рис. 1), представляющих опасность для движения поездов, необходимо уменьшать скорость согласно табл. 1.
Соответственно при выявлении следящей системой МСД сверхнормативных стыковых зазоров (рис. 2) вводится ограничение скорости движения поездов в зависимости от их величины:
более 24 до 26 мм — 100 км/ч;
более 26 до 30 мм — 60 км/ч;
более 30 до 35 мм — 25 км/ч;
более 35 мм — движение закрывается.
В руководстве по эксплуатации МСД рекомендуется номинальные стыковые зазоры определять с учетом существующего деления дорог ОАО «РЖД» на климатические зоны по следующей формуле:
z = а — b(t — с), (1)
где t — температура рельса, °C;
а, Ь, с — коэффициенты для климатических зон, приведенных в [1].
По существующим рекомендациям номинальные зазоры для двух пунктов с разными экстремальными температурами, но одинаковой годовой амплитудой 100 °C, следует вычислять при t = 20 °C так:
в пункте, где tmax = +65 °C, tmin = -35 °C, z = 9,75 - 0,3(20 - 10) ® 7 мм;
в пункте, где tmax = +50 °C, tmin = -50 °C,
z = 9,75 - 0,3(20 — 10) « 7 мм.
В результате получаем одинаковые значения. Однако установка в указанных пунктах с годовой амплитудой 100 °C одинаковых зазоров при одной и той же температуре приведет к тому, что в момент наступления экстремальных значений температурные силы в пути при рельсах типа Р65 будут отличаться друг от друга на 41-15° = 615 кН, что довольно существенно. Для крайних границ климатических зон температурные силы будут разниться еще больше — 41-20° = 820 кН.
В осенне-зимний и весенний периоды, как правило, путь работает в режиме «коротких» рельсов, стыковые зазоры растянуты, поэтому нужно своевременно принимать меры, не допуская их раскрытия сверх конструктивных значений. Летом при идеальной точности установленных зазоров в момент наступления высоких температур рельсов в 30 °C и выше в первой суровой климатической зоне, 40 °C и выше — во второй, звеньевой путь с нулевыми зазорами работает в режиме бесстыкового, при котором нет возможности сказать что-то определенное о напряженном состоянии стыков и поперечной устойчивости звеньевой конструкции. При неточной установке зазоров или угоне пути нулевые зазоры могут появиться и при температурах ниже указанных.

При эксплуатации звеньевого пути рельсам в ходе изменения температуры приходится преодолевать два вида сопротивлений — погонное и стыковое. При этом повсеместно летом 25-метровые рельсы испытывают торцевое давление, а зимой в стыках, в момент наступления минимальных расчетных или близких к ним температур, могут изгибаться стыковые болты, что явно нежелательно. Гнутые болты не могут эффективно работать по своему прямому назначению — стягивать накладки и обеспечивать высокое стыковое сопротивление. Поэтому для оптимальных условий эксплуатации 25-метровых рельсов необходимо устанавливать номинальные стыковые зазоры в соответствии с фактической температурой, исключающие изгиб болтов зимой и опасное торцевое давление летом. При этом конструктивный стыковой зазор должен появляться только в момент наступления минимальной расчетной температуры рельсов.
С учетом указанных предпосылок и допущений рекомендуется конструктивный стыковой зазор назначать и устанавливать при температуре
кк — tmin + к, (2)
где tmin — минимальная температура для данного региона, °C;
tR — температура, соответствующая стыковому сопротивлению, °C.
При этом смыкание зазоров без возникновения продольных усилий по торцам рельсов (при отсутствии торцевого давления) должно происходить при температуре
ко = кк + кв, (3)
где tCB — изменение температуры свободно лежащего рельса, °C, необходимое для изменения стыкового зазора от 0 до конструктивного значения и наоборот.
После получения значения tw необходимо проверить, не будет ли нарушаться устойчивость пути после смыкания зазоров и дальнейшего роста температуры до наибольшего возможного в данной местности значения: kiax — ко — 1уст, 0)
где tycT — предельная температура по устойчивости звеньевого пути, °C; определяется по [1].
Такая проверка должна быть выполнена для прямых и кривых всех имеющихся на дистанции пути радиусов.
Номинальные стыковые зазоры для соответствующих температур определяются по следующей зависимости:
Ч = ^(knin + tR + кв - 0, (5)
где а — коэффициент линейного температурного расширения рельсовой стали, равный 0,0000118 1/°С;
I — длина рельса (25 м);
t — текущая температура, которая соответствует номинальному стыковому зазору Хн, °C.
Выполним расчет номинальных стыковых зазоров при следующих исходных данных: рельсы типа Р65, четырехдырные накладки, шпалы деревянные, скрепление костыльное, балласт щебеночный, конструктивный зазор 23 мм, участок пути, где tmax = +56 °C, tmin = “41 °C, т. е. Т = 97 °C [10]. В табл. 2 приведены результаты расчета номинальных стыковых зазоров по формуле (5) с точностью 1 мм для укладки 25-метровых рельсов без сезонной разгонки и регулировки.
В соответствии с расчетами в рассматриваемом районе с Т = 97 °C можно укладывать и эксплуатировать 25-метровые рельсы типа Р65 без сезонной разгонки стыковых зазоров в прямых и кривых радиусом более 300 м. В кривых радиусом 300 м в зимы, когда будет проявляться минимальная расчетная температура, будет наблюдаться незначительный изгиб стыковых болтов не превышающий 0,3 мм. В остальные годы изгиба болтов не будет.
Как видно из табл. 2, конструктивный номинальный стыковой зазор следует устанавливать при температуре -36 °C, а нулевой — при температуре +42 °C.
Стыковое сопротивление аналогично жесткой заделке фиксированной величины — оно препятствует закрытию и раскрытию зазоров при повышении или понижении температуры до определенного значения, равного перепаду температур для преодоления стыкового сопротивления. Другими словами, стыковое сопротивление — это жесткая заделка фиксированной величины, в пределах которой зазоры не изменяют своего размера. В процессе преодоления стыкового сопротивления в рельсах возникают, растут и достигают величины стыкового сопротивления сжимающие или растягивающие температурные силы. После преодоления стыкового сопротивления в звеньевом пути на костыльном скреплении при дальнейшем повышении или понижении температуры зазоры начинают соответственно закрываться или раскрываться. При этом чем больше стыковое сопротивление (величина жесткой заделки), тем позже включается стык в работу. При существующем отношении к затяжке болтов стыковое сопротивление можно принимать равным 100 кН при четырехдырных накладках и рельсах типа Р65. На полное преодоление указанного стыкового сопротивления потребуется перепад температуры всего лишь в 5 °C, после чего стыковой зазор начнет закрываться или раскрываться, а длины рельсов изменяться как свободно лежащих.
Анализируя изменения зазоров отмечаем, что летом торцевые давления по одной рельсовой нити и сжимающие силы одинаковы и для обоих конструктивных зазоров соответствуют повышению температур на 8 и 13 °C после появления нулевого зазора.
Необходимо также указать, что при прямом ходе температур (повышении или понижении температуры непосредственно после укладки рельсов в путь и закрепления болтов стыкового скрепления) преодолевается только одно стыковое сопротивление. При обратном ходе температур необходимо преодолевать двойное стыковое сопротивление: вначале убирается наведенное ранее стыковое сопротивление, в процессе которого силы в рельсах уменьшаются до нуля, затем преодолевается стыковое сопротивление другого знака, в процессе которого температурные силы в рельсах от нуля возрастают до величины стыкового сопротивления и выше.
Стыковые зазоры, устанавливаемые на весеннелетний период, и соответствующие им температуры определяются с использованием формул (3—5):


При оптимизации условий эксплуатации звеньевого пути (полное использование конструктивной величины стыкового зазора и исключение изгиба болтов) для двух пунктов с одинаковой годовой амплитудой Т — 100 °C, но разными экстремальными температурами (+65...-35; +50...-50 °C) номинальные стыковые зазоры следует устанавливать по табл. 3.
Как видно из табл. 3, в первом случае температуре 20 °C соответствует номинальный стыковой зазор 9 мм, а во втором — 4 мм, т. е. зазоры отличаются друг от друга практически на 5 мм, что довольно существенно и должно быть учтено.
Фактические стыковые зазоры, измеренные МСД, передают в техотдел дистанции пути для анализа их состояния и диагностики. Качественная оценка величин зазоров возможна только при ослабленных болтах, т. е. при отсутствии стыкового сопротивления. Поскольку же от МСД поступают данные при затянутых болтах, необходимо вводить соответствующие поправки измеренных зазоров в соответствии с существующими рекомендациями.
В различных указаниях прошлых лет, когда зазоры измерялись только вручную, дорожным мастерам рекомендовалось при их промере на «длинных» рельсах вводить поправки ±2 мм. Для этого на каждом километре необходимо было дважды промерить несколько стыков при затянутых болтах и при ослабленных. Если зазоры уменьшались при этом, то все замеренные стыки уменьшались на 2 мм, если увеличивались, то все зазоры увеличивались на 2 мм. Эта рекомендация не потеряла актуальности и в настоящее время.
Сложность, а зачастую и невозможность получить точное значение стыкового зазора при ослабленных накладках (при отсутствии стыкового сопротивления) для конкретной температуры снижает достоверность анализа состояния зазоров и, соответственно, расчета ведомости их разгонки и регулировки. При этом не всегда запланированная расчетом температура совпадет с температурой рельсов во время «окна», предоставляемого путейцам для выполнения этих работ. Для уменьшения величины ошибки и повышения точности расчетов необходимо в измеренные значения зазоров при затянутых стыковых болтах вносить соответствующие коррективы.
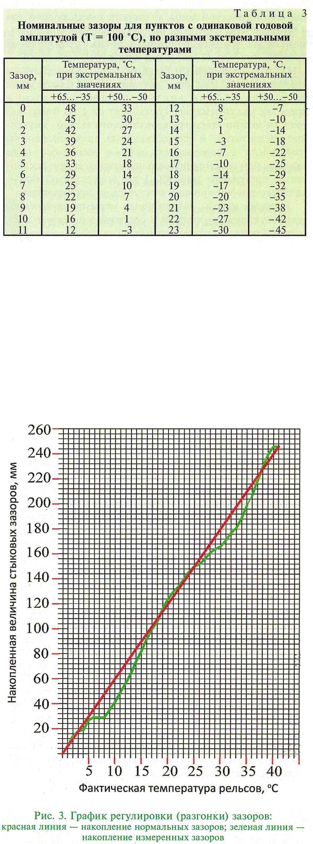
Для этого до промера зазоров должна быть найдена величина поправки к измеряемым (фактическим) зазорам, учитывающая силы трения рельса в накладках, препятствующие свободному изменению зазоров при изменении температуры. С этой целью определяют сумму зазоров в первых четырех стыках (без нулевых зазоров): сначала без откручивания гаек болтов, а затем отпустив их на два-три оборота. Вычисляют разность сумм зазоров, полученных при ослабленных и затянутых болтах. Делением указанной разности на четыре получают величину поправки. Если она положительная, то ее отнимают от фактических значений зазоров (исключая стыки с нулевыми зазорами), а если отрицательная — прибавляют к измеренным зазорам (включая стыки с нулевыми зазорами). По результатам промеров с учетом поправки составляется ведомость или график, по которым и производят работы по разгонке и регулировке зазоров (рис. 3).

На практике каждый раз непосредственно перед пропуском МСД следует предварительно в четырех стыках измерить зазоры, затем ослабить стыковые болты, обстучать накладки и вновь выполнить замеры. Разница позволит установить поправку, на которую при утренней проверке надо уменьшать, а при вечерней увеличивать все измеренные зазоры.
Откорректированные подобным образом зазоры уже можно использовать для анализа и диагностики состояния нитей 25-метровых рельсов, а после рассчитать ведомость для производства работ по разгонке и регулировке зазоров.
Деление сети дорог на три зоны и существующий подход к назначению номинальных стыковых зазоров не позволяют оптимизировать температурную работу 25-метровых рельсов. Устанавливаемые зазоры, в соответствии с действующими нормами, приводят к осложнениям при эксплуатации звеньевого пути. В момент наступления минимальных расчетных температур практически повсеместно наблюдается изгиб болтов или неполное использование конструктивной величины зазоров. При этом летом сжимающие температурные силы создают угрозу выброса пути. И только в отдельных пунктах зон обеспечивается условие оптимальности температурной работы звеньевого пути.
Вызывает сомнение правомерность существующих требований об установке одинаковых зазоров при разных их конструктивных значениях в пределах каждой климатической зоны, о запрете иметь подряд два и более нулевых зазоров, об обеспечении в изолирующем стыке изменения зазора в очень ограниченных пределах (от 5 до 10 мм) и ряд других рекомендаций.
Границы северной и средней зоны установлены в пределах 20 °C. При этом точность установки зазоров (из расчета 3,4 °C на каждый миллиметр ошибки) в пределах указанных зон составляет от 1 до 6 мм, что вряд ли можно признать удовлетворительным. Указанные недостатки и существующие необоснованные требования к содержанию зазоров звеньевого пути явились причиной неправильного подхода при составлении программы для МСД по определению номинальных зазоров при соответствующих температурах.

Поэтому нужны радикальные меры по изменению существующих требований к содержанию зазоров и их корректировке с учетом оптимизации работы звеньевого пути во всех климатических районах. В заключение необходимо отметить, что после устранения указанных недостатков станет возможным по распечатке данных МСД о величинах зазоров проанализировать состояние стыков и обосновать необходимость их разгонки или регулировки. Кроме того, на основе диагностических данных МСД можно будет оценить температурную надежность звеньевого пути в момент наступления экстремальных температур и спрогнозировать вероятность его выброса летом или изгиба и среза болтов зимой.
Выброс звеньевого пути может сформироваться и произойти на длине 55—70 м. При этом один зазор существенного влияния на устойчивость конструкции оказать не может. В связи с этим необходимо учитывать соседние зазоры и определять средний на трех—четырех стыках подряд по обеим рельсовым нитям. По фактическому состоянию зазоров в стыках, в зависимости от плана линии, определяется возможность дальнейшей нормальной эксплуатации звеньевого пути при экстремальных значениях температур или необходимость принятия специальных мер (корректировка зазоров перед наступлением максимальных температур летом или включение стыковых болтов в работу на изгиб в зимнее время) для обеспечения надежности его работы.


Следует отказаться от практики назначения единого номинального зазора в пределах каждого климатического региона, при которой на одних дистанциях пути в момент наступления минимальной расчетной температуры наблюдается угроза среза болтов и разрыва стыков, а на других раскрытие зазора не превышает 15 мм, т. е. конструктивный зазор недоиспользуется на 6 мм. Только в отдельных пунктах каждого климатического региона могут обеспечиваться оптимальные условия работы и эксплуатации звеньевого пути при соблюдении требований действующей инструкции. Выходит, что не только в пределах границ климатических зон, но даже при одинаковой годовой температурной амплитуде рельсов, но разных их экстремальных значениях возникает необходимость установки номинальных стыковых зазоров, отличающихся друг от друга до 5 мм.

[топ]Выводы

  • 1. Из большого количества параметров, контролируемых МСД для оценки состояния пути, нужно ис
  • пользовать для звеньевой конструкции величину стыковых зазоров, забег стыков, температуру рельсов по обеим рельсовым нитям и величину «ступеньки».
  • 2. В пределах климатических зон, границы которых назначены через 20 °C, ошибка при расчете номинальных стыковых зазоров по существующей методике составляет от 1 до 6 мм, а разность температурных сил может достигать 820 кН.
  • 3. Существующий подход к назначению номинальных стыковых зазоров не позволяет обеспечить оптимальные условия работы и эксплуатации звеньевого пути и практически повсеместно приводит или к неполному использованию конструктивного стыкового зазора, или к раскрытию его сверх максимального значения и изгибу болтов.
  • 4. В связи с повсеместным распространением МСД необходимо разработать и внедрить на сети дорог программное обеспечение и автоматизированную систему диагностики стыковых зазоров для прогнозирования температурной надежности работы звеньевого пути, что повысит эффективность его эксплуатации и безопасность движения поездов.

[топ]Список источников


1. Инструкция по текущему содержанию пути: утв. Распоряжением ОАО «РЖД» от 14.11.2016 № 2288р. Доступ через СПС «КонсультантПлюс».
2. Временная методика выявления потенциально опасных сборных стыков и утверждения Регламента взаимодействия между службой пути, центром диагностики и мониторинга устройств инфраструктуры и центром управления содержания инфраструктуры в вопросах контроля содержания рельсовых стыков: утв. Распоряжением ЦДИ от 16.03.2021 № 188р.
3. Мелихов С.Н., Бондаренко А.А., Матвецов В.И. По-пикетный контроль стыковых зазоров и температурная надежность звеньевого пути // Путь и путевое хозяйство. 2022. № 8. С. 29-32.
4. Мелихов С.Н., Бондаренко А.А., Матвецов В.И. Звеньевой путь: режимы работы, номинальные стыковые зазоры // Путь и путевое хозяйство. 2022. № 4. С. 24—27.
5. Матвецов В.И., Мелихов С.Н., Бондаренко А.А. Шаблон для определения номинальных стыковых зазоров звеньевого пути // Путь и путевое хозяйство. 2023. № 1. С. 20-22.
6. Изменить подход к назначению стыковых зазоров 25-метровых рельсов / В.И. Матвецов, В.Н. Журавский, Г.Е. Феськов, Н.Е. Мирошников // Роль путевого хозяйства в инфраструктуре железнодорожного транспорта: межд. научно-техн, конференция: труды. М., 2012. С. 301—313.
7. Матвецов В.И., Матвецов К.И. Можно ли выполнить нормы содержания зазоров изостыков? // Путь и путевое хозяйство. 2017. № 8. С. 23—27.
8. Матвецов В.И. Какие зазоры устанавливать в пунктах с одинаковой температурной амплитудой? // Путь и путевое хозяйство. 2018. № 3. С. 29—31.
9. Руководство по эксплуатации. Часть 2. Бортовая автоматизированная система. Книга 6. Руководство оператора КИ-АРМ. Дополнительные параметры. ИТСИ.76.00.00.000РЭ1.6.
10. Инструкция по устройству, укладке, содержанию и ремонту бесстыкового пути: утв. Распоряжением ОАО «РЖД» от 14.12.2016 № 2544р. Доступ через СПС «КонсультантПлюс».
Admin вне форума   Цитировать 14
Похожие темы
Тема Автор Раздел Ответов Последнее сообщение
[11-2023] Анализ температурной работы звеньевого пути в пределах климатических зон Admin xx1 0 03.12.2023 21:02
[01-2023] Шаблон для определения номинальных стыковых зазоров звеньевого пути Admin xx1 0 02.12.2023 17:23
[08-2022] Попикетный контроль стыковых зазоров и температурная надежность звеньевого пути Admin xx1 0 19.11.2022 08:52
=Диплом= Капитальный ремонт звеньевого пути Людмила Конденко 31447 Студенту-путeйцу 3 31.05.2014 22:46
=Диплом= Капитальный ремонт звеньевого пути с очисткой щебеночного балласта машинами РМ-80 Толян Студенту-путeйцу 4 15.05.2012 23:22

Ответить в этой теме   Перейти в раздел этой темы   Translate to English

Возможно вас заинтересует информация по следующим меткам (темам):
, ,


Здесь присутствуют: 1 (пользователей: 0 , гостей: 1)
 

Ваши права в разделе
Вы не можете создавать новые темы
Вы не можете отвечать в темах
Вы не можете прикреплять вложения
Вы можете редактировать свои сообщения

BB коды Вкл.
Смайлы Вкл.
[IMG] код Вкл.
HTML код Выкл.
Trackbacks are Вкл.
Pingbacks are Вкл.
Refbacks are Выкл.



Часовой пояс GMT +3, время: 01:04.

Яндекс.Метрика Справочник 
сцбист.ру сцбист.рф

СЦБИСТ (ранее назывался: Форум СЦБистов - Railway Automation Forum) - крупнейший сайт работников локомотивного хозяйства, движенцев, эсцебистов, путейцев, контактников, вагонников, связистов, проводников, работников ЦФТО, ИВЦ железных дорог, дистанций погрузочно-разгрузочных работ и других железнодорожников.
Связь с администрацией сайта: admin@scbist.com
1 2 3 4 5 6 7 8 9 10 11 12 13 14 15 16 17 18 19 20 21 22 23 24 25 26 27 28 29 30 31 32 33 34 
Powered by vBulletin® Version 3.8.1
Copyright ©2000 - 2026, Jelsoft Enterprises Ltd.
Powered by NuWiki v1.3 RC1 Copyright ©2006-2007, NuHit, LLC Перевод: zCarot