Испытание тепловоза под реостатом и настройка электрической схемы
Испытание тепловоза под реостатом и настройка его электрической схемы должны производиться всякий раз после ремонта или замены на тепловозе электрооборудования, а также при сезонной регулировке. Подключение электрической схемы тепловоза к реостату и измерительных приборов реостатной станции должно производиться в следующем порядке (рис. 92).
1. Отсоединить концы кабелей 24 от неподвижных контактов контакторов П1 и П2 и подключить их к плюсовому кабелю реостата (плюсовой кабель реостата соединен с подвижными пластинами реостата).
2. Отсоединить концы кабелей 25А от шунта главного генератора IIIГ и подключить на шунт минусовой кабель реостата (минусовой кабель реостата подключен к баку реостата, который заземлен).
3. Выключить реле заземления.
4. Отключить от клемм 250 и 251 шунта ШГ провода 250 и 251, идущие от амперметров тепловоза, и подключить на эти клеммы амперметр испытательной станции.
5. Отключить от вольтметра, установленного в кабине машиниста, провода 250 и 253 и подключить их к вольтметру постоянного тока испытательной станции. Вольтметр должен быть со шкалой 0—1 ООО в класса 1,5.
6. Отключить от неподвижного контакта контактора КВ провод 19Л, идущий на клемму Н независимой обмотки возбуждения главного генератора, и включить в рассечку шунт типа 75РИ, к которому подключить амперметр постоянного тока испытательной станции со шкалой на 0—15 а класса 1.
7. Подключить на якорные выводы возбудителя вольтметр испытательной станции со шкалой 0—150 в класса 1. Плюсовой вывод вольтметра следует подключить к неподвижному контакту контактора КВ, а минусовой — к клемме 14 на клеммной рейке, в высоковольтной камере.
8. Подключить на якорные выводы вспомогательного генератора вольтметр испытательной станции со шкалой на 0—-150 а класса 1.
9. Отключить с помощью отключателей ОМ 1-2 и ОМ3-4 тяговые электродвигатели обеих тележек.
10. Отключить от сопротивления СВ провод 20А и перемычкой соединить клемму 20А сопротивления СВ с плюсовым кабелем водяного реостата.
Подготовка электрических машин и аппаратов к наладке схемы. После прогрева дизеля необходимо проверить его обороты по всем позициям контроллера машиниста. Одновременно с проверкой оборотов необходимо следить за показаниями вольтметра, измеряющего напряжение вспомогательного генератора ВГ. Напряжение вспомогательного генератора на всех режимах работы дизеля должно быть 73—77 е. Если напряжение будет отличаться от указанных значений, необходимо произвести настройку регулятора напряжения, которую надо выполнять в следующем порядке.
1. Если напряжение на всех режимах работы дизеля ниже 73 в, то необходимо увеличить натяжение регулировочной пружины регулятора или немного увеличить сопротивление Я4.
2. При напряжении на всех режимах работы дизеля более 77 в нужно ослабить регулировочную пружину регулятора или уменьшить величину сопротивления К"4.
3. Если до 5-й позиции напряжение выше 77 в или ниже 73 в, а начиная с 5-й лежит в пределах нормы, то следует в первом случае увеличить сопротивление /?<?, а во втором уменьшить его.
4. Если напряжение вспомогательного генератора на первых четырех позициях нормальное, а начиная с 5-й позиции становится ниже или выше нормы и подвижной контакт регулятора вибрирует у левого неподвижного контакта, необходимо в первом случае (напряжение ниже нормы) увеличить сопротивление, а во втором случае (напряжение выше нормы) уменьшить его. При вибрации подвижного контакта у правого неподвижного следует в первом случае уменьшить сопротивление и увеличить сопротивление /?<?, а во втором, наоборот, увеличить сопротивление /?/ и немного уменьшить сопротивление Р,3.
После настройки регулятора напряжения необходимо приступить к прогреву обмоток возбудителя и главного генератора. Нагрев обмоток главного генератора производится током 350—400 а, рукоятка контроллера машиниста при этом должна находиться на 8-м положении. Нагрев обмоток следует вести до средней эксплуатационной температуры, которая в летнее время составляет 70—■ 75°с, а в зимнее время — 40—65сс. Нагрев обмоток главного генератора определяется по температуре его независимой обмотки возбуждения.
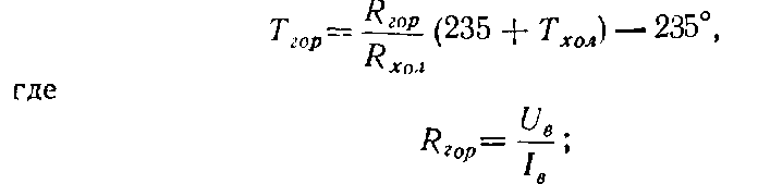
Температура нагрева обмотки подсчитывается по формуле

і'в— напряжение возбудителя в в;
1д— ток в независимой обмотке возбуждения главного генератора в а;
%хол и Тхол—сопротивление и температура независимой обмотки возбуждения главного генератора, замеренные до начала прогрева генератора; %гор — сопротивление той же обмотки после прогрева генератора.
Напряжение возбудителя и ток в независимой обмотке возбуждения главного генератора определяются по показаниям вольтметра и амперметра.
После прогрева независимой обмотки возбуждения главного генератора до указанных величин можно производить регулировку мощности дизеля и настройку внешней характеристики главного генератора, для чего необходимо включить всю вспомогательную нагрузку.
Ориентировочные значения напряжения и тока главного генератора, а также напряжения возбудителя на 8-й позиции контрол-Таблица 2 леРа представлены в табл. 2.
Регулировка реле перехода. После настройки внешней характеристики главного генератора приступают к регулировке реле перехода. Настройку необходимо вести таким образом, чтобы реле включалось при токе главного генератора 300—320 а и отключалось при токе 460—480 а. Регулировка реле перехода на нужные пределы включения и выключения производится изменением сопротивлений 21-21А, 21А-24 и 21В-21Г. При этом необходимо помнить, что уменьшение сопротивлений 21-21А и 21А-24 в цепи шунтовой катушки реле приводит к увеличению тока падения, а увеличение сопротивления 21В-21Г в цепи токовой катушки — к возрастанию тока включения реле.
Для того чтобы, находясь на испытательной станции, следить за работой реле перехода, необходимо через свободные контакты этого реле включить сигнальную лампочку.
После окончания реостатных испытаний необходимо восстановить схему электрических соединений тепловоза и проверить последовательность включения электрических аппаратов.










