2.3. Движение жидкости по трубам
Гидравлические сопротивления.
При течении жидкости по трубам ей приходится затрачивать энергию на преодоление сил внешнего и внутреннего трения. В прямых участках труб эти силы сопротивления действуют по всей длине потока и общая потеря энергии на их преодоление прямо пропорциональна длине трубы. Такие сопротивления называются линейными. Их величина (потеря давления) зависит от плотности и вязкости жидкости, а также от диаметра трубы (чем меньше диаметр, тем больше сопротивление), скорости течения (увеличение скорости увеличивает потери) и чистоты внутренней поверхности трубы (чем больше шероховатость стенок, тем больше сопротивление).
Кроме трения в прямых участках, в трубопроводах встречаются дополнительные сопротивления в виде по-
воротов потока, изменений сечения, кранов, ответвлений и т. п. В этих случаях структура потока нарушается и его энергия затрачивается на перестроение, завихрения, удары. Такие сопротивления называют местными. Линейные и местные сопротивления являются двумя разновидностями так называемых гидравлических сопротивлений, определение которых составляет основу расчета любых гидравлических систем.
Режимы течения жидкости.. В практике наблюдаются два характерных режима течения жидкостей: ламинарный и турбулентный.
При ламинарном режиме элементарные струйки потока текут параллельно, не перемешиваясь. Если в такой поток ввести струйку окрашенной жидкости, то она будет продолжать свое течение в виде тонкой нити среди потока неокрашенной жидкости, не размываясь. Такой режим течения возможен при очень малых скоростях потока. С увеличением скорости выше определенного предела течение становится турбулентным, вихреобразным, при котором жидкость в пределах поперечного сечения трубопровода интенсивно перемешивается. При постепенном увеличении скорости окрашенная струйка в потоке сначала начинает колебаться относительно своей оси, затем в ней появляются разрывы из-за перемешивания с другими струями и затем вследствие этого весь поток получает равномерную окраску.
Наличие того или иного режима течения зависит от величины отношения кинетической энергии потока 1 1
(■п-гпи2=ч-рУи2) к работе сил внут-реннего трения (/•7 = р„5^/)—см. (2.9).
Это безразмерное отношение
^-pVv2/ (р,5^/) можно упростить,
имея в виду, что Ды пропорционально V. Величины / и А/г также
имеют одну и ту же размерность, и их можно сократить, а отношение объема V к поперечному сечению 5 является линейным размером й.
Тогда отношение кинетической энергии к работе сил внутреннего трения с точностью до постоянных множителей можно характеризовать безразмерным комплексом:
![]()
который называется числом (или критерием) Рейнольдса в честь английского физика Осборна Рейнольдса, в конце прошлого века экспериментально наблюдавшего наличие двух режимов течения.
Малые значения чисел Рейнольдса свидетельствуют о преобладании работы сил внутреннего трения в потоке жидкости и соответствуют ламинарному течению. Большие значения Йе соответствуют преобладанию кинетической энергии и турбулентному режиму течения. Граница начала перехода одного режима в другой — критическое число Рейнольдса — составляет 1?екр = 2300 для круглых труб (в качестве характерного размера принимается диаметр трубы).
В технике, в том числе и тепловозной, в гидравлических (в том числе воздушных и газовых) системах обычно имеет место турбулентное течение жидкостей. Ламинарный режим бывает лишь у вязких жидкостей (например, масло) при малых скоростях течения и в тонких каналах (плоские трубки радиатора).
Расчет гидравлических сопротивлений. Линейные потери напора определяются по формуле Дарси-Вейсбаха:![]()
где X («лямбда») — коэффициент линейного сопротивления, зависящий от числа Рейнольдса. Для ламинарного потока в круглой трубе Я, = 64/Ие (зависит от скорости), для турбулентных потоков величина к мало зависит от
скорости и, главным образом, определяется шероховатостью стенок труб.
Местные потери напора также считаются пропорциональными квадрату скорости и определяются так:
![]()
где £ («дзета») — коэффициент местного сопротивления, зависящий от типа сопротивления (поворот, расширение и т. п.) и от его геометрических характеристик.
Коэффициенты местного сопротивления устанавливаются опытным путем, их значения приводятся в справочниках.
Понятие о расчете гидравлических систем. При расчете любой гидравлической системы решается обычно одна из двух задач: определение необходимого перепада давлений (напора) для пропуска данного расхода жидкости или определение расхода жидкости в системе при заданном перепаде давлений.
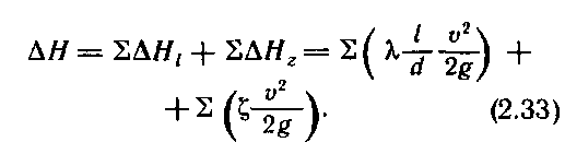
В любом случае должна быть определена полная потеря напора в системе АН, которая равна сумме сопротивлений всех участков системы, т. е. сумме линейных сопротивлений' всех прямых участков трубопроводов и местных сопротивлений других элементов системы:

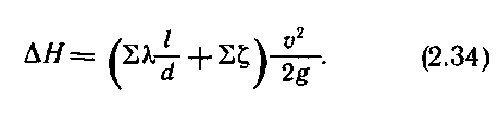
Если во всех участках трубопровода средняя скорость течения одинакова, уравнение (2.33) упрощается:

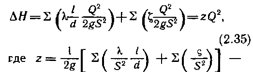
Обычно в системе имеются участки, скорости течения в которых отличаются друг от друга. В этом случае удобно привести уравнение (2.33) к другой форме, учитывая,
что расход жидкости постоянен для всех элементов системы (без ответвлений). Подставив в условие (2.33) значения и = С}/5, получим

гидравлическая характеристика, или общий коэффициент сопротивления системы.
Необходимо иметь в виду, что расчет трубопроводов не является решением задачи с одним определенным ответом. Его результаты зависят от выбора величины диаметров участков трубопровода или скоростей в них. Действительно, можно принять в расчете невысокие значения скоростей и получить небольшие потери напора. Но тогда при заданном расходе сечения трубопроводов (диаметры) должны быть большими, система будет громоздкой и тяжелой. Приняв высокие скорости течения в трубах, мы уменьшим их поперечные размеры, но при этом существенно (пропорционально квадрату скорости) возрастут потери напора и затраты энергии на работу системы. Поэтому при расчетах обычно задаются какими-то средними, «оптимальными», значениями скоростей течения жидкости. Для водяных систем оптимальная скорость имеет порядок примерно 1 м/с, для воздушных систем низкого давления — 8— 12 м/с.
Гидравлический удар представляет собой явление, происходящее в потоке жидкости при быстром изменении скорости его течения (например, при резком закрытии задвижки в трубопроводе или остановке насоса). В этом случае кинетическая энергия потока мгновенно переходит в потенциальную энергию и давление потока перед задвижкой резко возрастает. Область повышенного давления затем распространяется от задвижки в сторону еще не заторможенного полностью потока со скоростью, близкой к скорости звука а в этой среде.
Резкое повышение давления приводит если не к разрушению, то к упругой деформации элементов трубопровода, что уменьшает силу удара, но усиливает колебания давления жидкости в трубе. Величина скачка давле-
ния при полной остановке потока жидкости, имевшего скорость v, определяется по формуле выдающегося русского ученого — профессора Н. Е. Жуковского, полученной им в 1898 г.: Др = раа, где р — плотность жидкости.
С целью предотвращения ударных явлений в крупных гидравлических системах (например, водопроводных сетях) запорные устройства выполняют так, чтобы их закрытие происходило постепенно.










