2.2. Гидродинамика
Движущуюся массу жидкости для возможности анализа закономерностей движения в гидродинамике считают состоящей из отдельных элементарных струй, каждая из которых перемещается, не смешиваясь с другими. Совокупность элементарных струй представляет поток жидкости. Потоки характеризуются живым сечением и расходом.
Живым сечением потока называется поверхность, перпендикулярная в каждой точке сечения направлению течения жидкости в этой точке. В общем случае, когда направления
движения в отдельных элементарных струйках различны, живое сечение представляет криволинейную поверхность. Если направления одинаковы — живое сечение 1-2-3-4-1 будет плоским (рис. 2.6, а). Но даже в плоском живом сечении скорости течения VI в отдельных струйках, хотя и направлены одинаково, но различны по величине в отдельных точках (а, Ь, г, п) этого сечения. Картина распределения скоростей по сечению называется полем скоростей.
Живое сечение характеризуют следующие параметры:
площадь живого сечения 5, определяемая как часть поперечного сечения канала, ограничивающего поток жидкости, занятой ею (площадь Ш на рис. 2.6, а);
смоченный периметр х («каппа») — часть периметра поперечного сечения канала (1-2-3-4), которая смачивается жидкостью;
гидравлический радиус # = 5/х, представляющий отношение площади живого сечения к смоченному периметру. Для круглой трубы гидравлический радиус равен четверти ее диаметра.
Расходом называется количество жидкости, протекающее через живое сечение в единицу времени. Разли-

Рис. 2.6. Схемы потока жидкости
чают объемный расход С} (м3/с) и Массовый М (кг/с):
М = р<Э. (2.13)
Средняя скорость потока V представляет собой частное от деления объемного расхода на площадь живого сечения (м/с):
у = <Э/5. (2.14)
Зная среднюю скорость потока, можно определить объемный расход жидкости в нем
<Э = у5. (2.15)
Потоки жидкости могут иметь различный характер движения. Движение называют установившимся, если в каждой точке потока величины скорости, давления и температуры жидкости (различные в разных точках) с течением времени не меняются. Несоблюдение любого из условий делает движение потока неустановившимся.
Установившееся движение называется равномерным, если поток по всей длине имеет одинаковые живые сечения и, следовательно, скорости.
Уравнение неразрывности потока. Если в установившемся потоке жидкости выделить сечения А и Б (рис. 2.6, б), то объемные расходы жидкости в этих сечениях Ра = Уд5а и

<ЭБ=уБ5Б должны быть одинаковы, так как поток сплошной, в нем нет никаких пустот, жидкость несжимаема, и между этими сечениями она никуда не расходуется и ниоткуда не поступает. Отсюда следует, что и в других сечениях неразветвленного потока расходы жидкости должны быть также одинаковы. Следовательно,
<Э = у5 = согЫ. (2.16)
Уравнение (2.16) называется уравнением неразрывности потока, или уравнением постоянства расхода. По существу оно выражает общеизвестный закон сохранения массы.
Из этого уравнения следует, что Уа/уб = 5б/5а> т. е. средние скорости потока обратно пропорциональны площадям его живых сечений. Например, если диаметр трубы увеличить в два раза, скорость потока уменьшится в 4 раза.
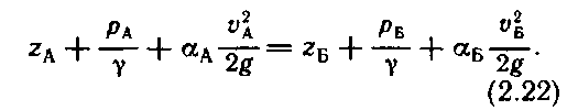
Уравнение Бернулли. Рассмотрим состояние элемента установившегося потока идеальной жидкости между сечениями А и Б (см. рис. 2.6, б) через малый промежуток времени Д/ (рис. 2.6, в). Ограничивающие его сечения за это время переместятся: А — в положение А' на расстояние Д/А=УдД/, а Б — в положение Б' на расстояние Д/Б = уБД/.
Определим изменение кинетической энергии рассматриваемого элемента потока при перемещении его из положения АБ в положение А'Б'. Очевидно, что кинетическая энергия основной части объема между сечениями А' и Б не меняется. Различаться могут лишь кинетические энергии частей объема между сечениями А и А', которую рассматриваемый элемент освобождает при течении, и между сечениями Б и Б', занимаемой вновь.
Из механики известно, что кинетическая энергия движущегося тела равна половине произведения массы его на квадрат скорости (£ки„ = = ту2/2). Кинетическая энергия элемента объема между сечениями А и А' равна
£кА„„ = РдД/аАу2А/2, (2.17)
где р<2Л/ = Л1Л(=т — масса жидкости в объеме элемента АА'; аА — коэффициент Кориолиса. Этот коэффициент компенсирует неточность, которая возникает, если кинетическую энергию рассчитывать по средней скорости потока (действительная кинетическая энергия равна сумме кинетических энергий отдельных струй потока). Безразмерный коэффициент а представляет отношение действительной кинетической энергии к ее значению, рассчитанному по средней скорости. Значения а зависят от неравномерности скоростей потока по сечению и обычно лежат в пределах 1 —1,10. Поэтому часто величиной а в расчетах пренебрегают.
Аналогично для элемента ББ'
Е\т = 9ОЫа&\/2. (2.18)
Разность этих величин, или изменение кинетической энергии,
Л£кИн = ^-р<ЭЛг(аБа2Б-аАг>А). (2.19)
Изменение энергии тела, как следует из механики, равно работе внешних сил. Такими силами для элемента потока являются силы тяжести и силы гидростатического давления на торцовые сечения элемента.
Работа силы тяжести равна произведению веса тела на величину его перемещения по вертикали. Согласно уравнению постоянства расхода (2.16) массы частей потока АА' и ББ' одинаковы. Их вес равен р£<ЗД/, а перемещение по вертикали — разности ординат 2Д —2Б. Тогда работа силы тяжести
Д£8=Р£<ЭДп;2А-2Б). (2.20)
Давления на торцы объема различны по величине (РаФРв) и противоположны по знаку ( + Ра и — рБ), так как давление рБ препятствует течению потока.
Работа сил давления Д£р = = Рд5АД/А—рБ5 БД/Б.
Произведения 5АД/А и 5БД/Б представляют собой части объема между сечениями А—А' й Б—Б'. По уравнению постоянства расхода они одинаковы и равны каждое <ЗД/ (например, 5аД/а = 5ауаД/ = <ЭД/).

Разделим все члены этого выражения на вес рассматриваемого элемента потока р£<ЗЛ/, т. е. будем рассматривать удельную энергию на единицу веса. Тогда получим (имея в виду, что 7 = р£):
После перестановки членов имеем
Выражение (2.22) называется уравнением Бернулли для идеальной жидкости. Это одно из важнейших уравнений гидравлики, оно в 1738 г.впервые было установлено известным ученым Даниилом Бернулли, членом Российской Академии наук.
Так как выполненное рассуждение можно провести и для любых других сечений и элементов потока, то уравнение (2.22) можно записать в более общем виде:
![]()
Выражение (2.23) применительно к движению идеальной жидкости выражает закон сохранения энергии. Оно говорит о том, что удельная энергия в установившемся потоке идеальной жидкости постоянна, она не может ни увеличиваться, ни уменьшаться. Изменение одного из слагаемых должно неизбежно приводить к изменению других слагаемых.
Рассмотрим подробнее слагаемые удельной энергии в уравнениях (2.22) и (2.23). Все они имеют линейную размерность (м). Для слагае-
мого 2 это очевидно, но нетрудно убедиться в этом и для других слагаемых:

Первый член уравнения (2.23) представляет геометрическую высоту (геометрический напор) рассматриваемого сечения потока над выбранным уровнем сравнения, для которого
2 = 0.
Второй член — это гидростатическое давление, выраженное высотой столба жидкости.
Третий член уравнения выражает кинетическую энергию потока и называется скоростным (или динамическим) напором.
Таким образом, каждое слагаемое — это отдельный вид удельной энергии: z — удельная энергия высоты (или положения); р/у — удельная энергия давления; av /2g — удельная кинетическая энергия.
Сумма всех слагаемых может быть названа полной удельной энергией потока Н (полным напором).
Следовательно, уравнение Бернулли можно представить в простом виде:
//= const, (2.24)
имея в виду, что
Из последнего уравнения, в частности, следует, что при увеличении скорости течения жидкости давление в потоке уменьшается и, наоборот, уменьшение скорости потока вызывает повышение давления в нем.
Это положение называют законом Бернулли.
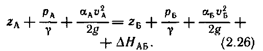
Уравнения (2.22) — (2.25) получены для жидкости, не имеющей вязкости. При течении реальной жидкости вследствие ее вязкости часть энергии затрачивается на преодоление трения (внутреннего — между

Рис. 2.7. Графическая иллюстрация закона Бернулли

Рис. 2.8. Измерение скорости потока жидкости
отдельными струями потока и внешнего—о стенки канала). Эта часть энергии, как и всякая работа сил трения, преобразуется в тепловую энергию и рассеивается в окружающую среду, т. е. для механической энергии потока теряется безвозвратно. Поэтому для реальной жидкости нельзя ограничиваться рассмотрением только механической энергии, для нее закон сохранения энергии надо рассматривать в общем виде.
Однако чтобы не вводить чрезмерных усложнений, можно представить потерянную часть механической энергии в виде дополнительной потери давления потока вследствие трения. Тогда уравнение Бернулли для реальной жидкости можно представить на основе уравнения (2.22), включив в правую часть четвертое слагаемое АЯДБ, представляющее собой необратимую потерю энергии, связанную с преодолением сопротивлений течению потока на участке АБ:
Таким образом, полная удельная энергия потока реальной жидкости в любом сечении равна полной удельной энергии в любом предшествующем сечении за вычетом потерь давления на участке потока между этими сечениями:
ЯА=ЯБ+ДЯАБ. (2.27)
Рассмотрим некоторые частные случаи уравнения (2.26). Если поток движется горизонтально (2А = 2Б), уравнение приобретает вид

Из выражения (2.28) видно, что в этом случае уменьшение скорости течения (например, если иъ<^иА вследствие увеличения диаметра трубопровода) может привести к увеличению статического давления в точке Б по сравнению с точкой А.
Если же жидкость течет в горизонтальном канале одинакового сечения (трубе), то vA—uь. Уравнение существенно упрощается: рА —рБ = = уД//ДБ, т. е. в этом случае разность давлений в двух точках представляет потерю давления на трение между этими точками.
Ввиду того что все члены уравнения Бернулли имеют линейную размерность, его можно наглядно представить графически, как это сделано на рис. 2.7 для участка потока АБ (см. рис. 2.6). Точки Л и Б на рис. 2.7 обозначают центры тяжести соответствующих сечений, а отрезки ординат, измеренные от условного уровня О—0,— частные и полные удельные энергии потока.
Уравнение Бернулли имеет очень широкое применение в гидравлической технике. На его основе рассчитываются гидравлические системы и машины. Оно также служит основой для проведения измерений в потоках жидкости, например для измерений скоростей, расхода и т. п.
Наиболее простым устройством для измерения местной (локальной)
скорости жидкости является трубка Пито-Прандтля (рис. 2.8, а), представляющая комбинацию пьезометра и трубки Пито с изогнутым концом, направленной навстречу потоку (рис. 2.8, б). Трубка Пито показывает полный напор жидкости в потоке (p/y-\-u2/2g), а пьезометрическая трубка—статический напор р/у. Таким образом, разность уровней в трубках Ah соответствует динамическому напору v2/2g. Следовательно, скорость жидкости в точке измерения
v = k-^2gKh, (2.29)
где k — тарировочный коэффициент, учитывающий вязкость жидкости и особенности конструкции и установки трубки.
Изменяя положение трубки по высоте, можно установить распределение скоростей жидкости по сечению и вычислить среднюю скорость, по которой определяется расход жидкости.










