Railmeasurement

Railmeasurement - Rail Corrugation and Acoustic-Roughness Measurement Equipment



Acoustic-Roughness Measurement Equipment

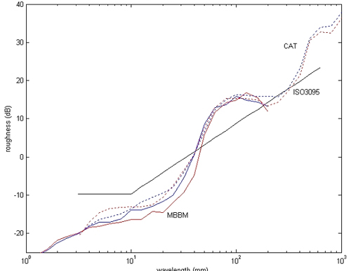
Acoustic roughness of rails measured over a 100m test site according to EN ISO 3095: correlation of measurements from CAT and from the 1m straight-edge device that is often used for this purpose.

  • Rail corrugation analysis trolley
  • Acoustic-Roughness Measurement Equipment
  • Rail corrugation analyser
  • Rail corrugation and acoustic-roughness measurement
  •  

| 1 | 2 | 3 | 4 | 5 |


Send an Enquiry to this Company


The details you provide will not be used to send unsolicited emails.
For further information please read our Privacy Policy.




Home
New On This Site
Products & Services
Company A-Z
Industry Projects
Features
White Papers
Jobs & Careers
Industry News
Gallery
Events & Exhibitions
Newsletter Sign-Up
Advertise With Us
About Us
Client Area


RSS What is RSS
The website for the railway industry