СЦБИСТ - железнодорожный форум, блоги, фотогалерея, социальная сеть
Вернуться   СЦБИСТ - железнодорожный форум, блоги, фотогалерея, социальная сеть > Флудильня > Разговоры обо всем
Разговоры обо всем Делимся житейскими проблемами. Также смотрите социальные группы локомотивщиков, путейцев, движенцев, эсцебистов, контактников, вагонников, связистов, проводников.
Закладки ДневникиПоддержка Сообщество Комментарии к фото Сообщения за день
Ответить в этой теме   Перейти в раздел этой темы   Translate to English    
 
Translate to English В мои закладки Подписка на тему по электронной почте Отправить другу по электронной почте Опции темы Поиск в этой теме
Старый 13.12.2022, 22:09   #16 (ссылка)
Опытный пользователь
 
Аватар для zve1

Регистрация: 08.09.2010
Сообщений: 87
Поблагодарил: 10 раз(а)
Поблагодарили 6 раз(а)
Фотоальбомы: не добавлял
Репутация: 35
Цитата:
Сообщение от vetal Посмотреть сообщение
Всё условие задачи изложено на картинке выше вместе со схемой. У задачи три вопроса:
1. Какое напряжение (с учётом знака) покажет идеальный вольтметр V2? Ответ выразите в В, округлите до десятых долей.
2. Какое напряжение (с учётом знака) покажет идеальный вольтметр V3? Ответ выразите в В, округлите до десятых долей.
3. Какое напряжение (с учётом знака) покажет идеальный вольтметр V4? Ответ выразите в В, округлите до десятых долей.
Вопроса №2 и №3 на картинке нет.

Если интересно, то есть ещё одна последняя задача по физике:
Решение

1. При добавлении очередного ряда резисторов точки 1 и 2 на рис.1 остаются эквипотенциальными и их можно соединить проводником, поэтому все резисторы очередного ряда могут считаться включенными параллельно.
2. Эквивалентное сопротивление подключаемых рядов резисторов образуют члены ряда геометрической прогрессии рис.2 со знаменателем 2/3. Этот ряд сходится.


[IMG][/IMG]



[IMG][/IMG]

Комментарии к сообщению (репутация)
Александр, положительно:
zve1 вне форума   Цитировать 0
Поблагодарили:
Данный пост получил благодарности от пользователей
Старый 17.12.2022, 09:31   #17 (ссылка)
Опытный пользователь
 
Аватар для zve1

Регистрация: 08.09.2010
Сообщений: 87
Поблагодарил: 10 раз(а)
Поблагодарили 6 раз(а)
Фотоальбомы: не добавлял
Репутация: 35
Цитата:
Сообщение от vetal Посмотреть сообщение
Всё условие задачи изложено на картинке выше вместе со схемой. У задачи три вопроса:
1. Какое напряжение (с учётом знака) покажет идеальный вольтметр V2? Ответ выразите в В, округлите до десятых долей.
2. Какое напряжение (с учётом знака) покажет идеальный вольтметр V3? Ответ выразите в В, округлите до десятых долей.
3. Какое напряжение (с учётом знака) покажет идеальный вольтметр V4? Ответ выразите в В, округлите до десятых долей.
Вопроса №2 и №3 на картинке нет.

Если интересно, то есть ещё одна последняя задача по физике:
Если не секрет где такие задачи задают?
zve1 вне форума   Цитировать 0
Старый 17.12.2022, 11:38   #18 (ссылка)
Super V.I.P.
 
Аватар для vetal

Регистрация: 27.05.2009
Сообщений: 2,538
Поблагодарил: 644 раз(а)
Поблагодарили 1066 раз(а)
Фотоальбомы: не добавлял
Репутация: 1468
Цитата:
Сообщение от zve1
Если не секрет где такие задачи задают?
Это из школьной олимпиады по физике.

vetal добавил 17.12.2022 в 12:42
Цитата:
Сообщение от zve1
Если не секрет где такие задачи задают?
Это из школьной олимпиады по физике.

Последний раз редактировалось vetal; 17.12.2022 в 11:38. Причина: Добавлено сообщение
vetal вне форума   Цитировать 0
Старый 17.12.2022, 17:40   #19 (ссылка)
Опытный пользователь
 
Аватар для zve1

Регистрация: 08.09.2010
Сообщений: 87
Поблагодарил: 10 раз(а)
Поблагодарили 6 раз(а)
Фотоальбомы: не добавлял
Репутация: 35
Цитата:
Сообщение от vetal Посмотреть сообщение
Это из школьной олимпиады по физике.

vetal добавил 17.12.2022 в 12:42

.
Их кто то решил?
zve1 вне форума   Цитировать 0
Старый 17.12.2022, 18:42   #20 (ссылка)
Super V.I.P.
 
Аватар для vetal

Регистрация: 27.05.2009
Сообщений: 2,538
Поблагодарил: 644 раз(а)
Поблагодарили 1066 раз(а)
Фотоальбомы: не добавлял
Репутация: 1468
Цитата:
Сообщение от zve1
Их кто то решил?
Статистику не знаю, но сейчас на сайте доступны ответы на задачи.
Ответы на первую задачу:
V2 = -4,5В;
V3 = 2,5В;
V4 =-3,5В.
Ответ на вторую задачу:
I = 0,2А.
vetal вне форума   Цитировать 0
Старый 19.12.2022, 11:45   #21 (ссылка)
Опытный пользователь
 
Аватар для zve1

Регистрация: 08.09.2010
Сообщений: 87
Поблагодарил: 10 раз(а)
Поблагодарили 6 раз(а)
Фотоальбомы: не добавлял
Репутация: 35
Цитата:
Сообщение от vetal Посмотреть сообщение
Статистику не знаю, но сейчас на сайте доступны ответы на задачи.
Ответы на первую задачу:
V2 = -4,5В;
V3 = 2,5В;
V4 =-3,5В.
Ответ на вторую задачу:
I = 0,2А.
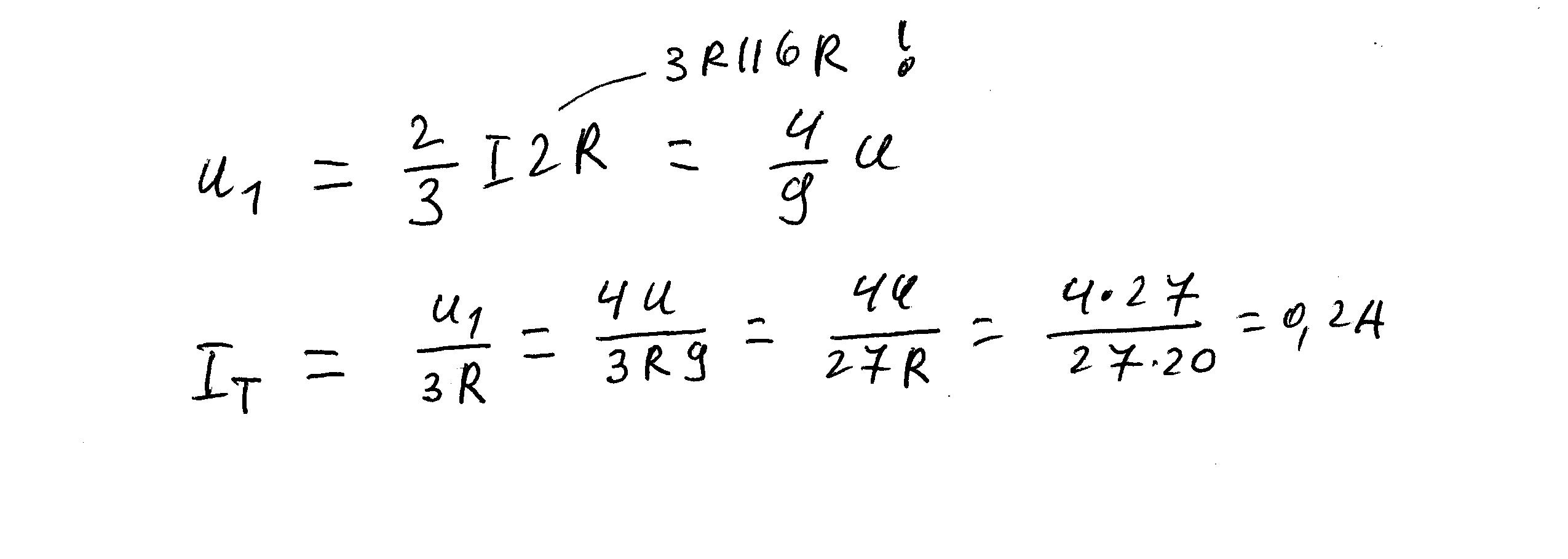
Во второй задаче немного ошибся в конце.
[IMG][/IMG]
zve1 вне форума   Цитировать 0
Поблагодарили:
Данный пост получил благодарности от пользователей
Ответить в этой теме   Перейти в раздел этой темы   Translate to English

Возможно вас заинтересует информация по следующим меткам (темам):


Здесь присутствуют: 1 (пользователей: 0 , гостей: 1)
 

Ваши права в разделе
Вы не можете создавать новые темы
Вы не можете отвечать в темах
Вы не можете прикреплять вложения
Вы не можете редактировать свои сообщения

BB коды Вкл.
Смайлы Вкл.
[IMG] код Вкл.
HTML код Выкл.
Trackbacks are Вкл.
Pingbacks are Вкл.
Refbacks are Выкл.



Часовой пояс GMT +3, время: 20:33.

Яндекс.Метрика Справочник 
сцбист.ру сцбист.рф

СЦБИСТ (ранее назывался: Форум СЦБистов - Railway Automation Forum) - крупнейший сайт работников локомотивного хозяйства, движенцев, эсцебистов, путейцев, контактников, вагонников, связистов, проводников, работников ЦФТО, ИВЦ железных дорог, дистанций погрузочно-разгрузочных работ и других железнодорожников.
Связь с администрацией сайта: admin@scbist.com
1 2 3 4 5 6 7 8 9 10 11 12 13 14 15 16 17 18 19 20 21 22 23 24 25 26 27 28 29 30 31 32 33 34 
Powered by vBulletin® Version 3.8.1
Copyright ©2000 - 2026, Jelsoft Enterprises Ltd.
Powered by NuWiki v1.3 RC1 Copyright ©2006-2007, NuHit, LLC Перевод: zCarot