![]() |
Раздел VI
РЕЛЕ ШТЕПСЕЛЬНЫЕ НШ II ПОКОЛЕНИЯ
1. Общие сведения
Штепсельные
реле группы НШ относятся к реле I класса
надежности и предназначены для установки как на стативах, так и в репейных
шкафах. Их серийное производство начато в 1954—1955 гг. Реле модернизировались
в последующие годы. Наименование типа реле состоит из букв, обозначающих
конструктивный тип реле и временные его характеристики, и цифр, показывающих
число контактных групп и сопротивление катушек реле.
По роду
управляющего тока штепсельные реле разделяются на реле постоянного, переменного
и постоянного и переменного тока. И зависимости от конструкции штепсельные реле
изготовляют следующих типов:
постоянного
тока:
— НШ —
нейтральные штепсельные нормальнодействующие;
— НШ1М —
нейтральные штепсельные медленнодействующие;
— НПШ —
нейтральные пусковые штепсельные;
— КШ —
комбинированные штепсельные;
— СКШ — комбинированные штепсельные с самоудерживающей контактной
системой;
— СКПШ —
комбинированные пусковые штепсельные реле с самоудерживающей контактной
системой;
переменного
тока:
— ДСШ — двухэлементные секторные; постоянного и переменного
тока:
— НВШ — нейтральные
штепсельные с выпрямительными прибавками;
— ОШ — огневые штепсельные.
Штепсельные
розетки в комплект не входят и заказываются отдельно.
2. Реле нейтральные штепсельные постоянного тока типов НШ и НШ1М
Назначение. Реле предназначены для осуществления различных электрических зависимостей в устройствах автоматики и телемеханики на железнодорожном транспорте. Штепсельные реле НШ1 и НШ1М изготовляют по черт. 2168.00.00В; НШ2-2 — по черт. 24130.00.00; НШ2-40 - по черт. 24018.00.00, НШ2-2000 - по черт. 24018.00.00.

Некоторые конструктивные особенности. Основными деталями реле НШ (рис. 166) являются: 1 — сердечник, 2 — катушка, 3 — полюсные наконечники, 4 — кронштейн, 5 — основание, 6 — контактная система, 7 — колпак, 8 — якорь, 9 — ручка. Реле постоянного тока являются электромагнитными двухпозиционными. Обмотки реле типа НШ размещены на двух шпулях, изготовленных из пластмассы.
Медленнодействующие реле типа НШ1М отличаются от нормальнодействующих наличием между сердечником и катушкой медной гильзы, которая, являясь короткозамкнутым витком, при обесточивании реле обеспечивает замедление отпускания якоря. С этой же целью на катушках медленнодействующих реле типа НШ1М намотана дополнительная короткозамкнутая обмотка из 2000 витков провода марки ПЭЛ диаметром 0,25мм.
Схемы соединения обмоток реле показаны на рис. 167. При последовательном соединении обмоток на розетке реле устанавливается перемычка между выводами 2—3.

Электрические и временные характеристики реле при температуре ' 20°С и относительной влажности воздуха до 90% должны соответствовать данным, указанным в табл. 142.
Напряжение полного притяжения якоря, измеренное при обратной полярности на катушках реле, не должно превышать напряжение, измеренное при прямой полярности, более чем на 25%. Напряжения (токи) притяжения и отпускания якоря проверяются приборами класса точности не ниже 1,0.
Проверка временных характеристик реле производится любым методом, обеспечивающим погрешность измерения не более ±10%. Отсчет времени замедления якоря реле на отпускание производится с момента выключения питания обмотки до момента размыкания замыкающих контактов.
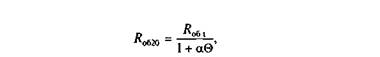
Сопротивление обмоток реле
постоянному току проверяют любым методом
с погрешностью измерения не более ±1%. Пересчет измеренного значения
сопротивления Rоб t на сопротивление Rоб 2o мри температуре +20°С
производится по формуле:

где ө — разность между температурой, при которой проводилось измерение, и температурой +20°С с учетом знака плюс—минус (0 = t°C - 20°С); а — температурный коэффициент сопротивления провода обмотки (для медной проволоки а = 0,004 град--1)-Полученное расчетное значение сопротивления проверяют по отклонению от номинального значения на соответствие данным, указанным в табл. 142.
Таблица 142
Электрические и временные характеристики реле
|
Тип реле |
Соединение обмоток реле |
Сопротивление обмоток, Ом |
Напряжение, В |
Замедление на отпускание якоря, с |
|||
|
отпускания якоря, не менее |
полного притяжения якоря, не более |
перегрузки |
при напряжении 9,5 В |
при напряжении 12В |
|||
|
НШ1-400/30 |
Раздельное |
400 30 |
2,5 0,6 |
8,0 2,2 |
32,0 9,0 |
— |
— |
|
НШ1-800 |
Последовательное |
2x400 |
2,5 |
8,0 |
32,0 |
— |
— |
|
НШ 1-2000 |
Последовательное |
2x1000 |
3,0 |
12,0 |
36,0 |
— |
|
|
НШШ-200/30 |
Раздельное |
200 30 |
2,0 0,55 |
7,5 2,0 |
30,0 8,0 |
0,3 |
0,3 |
|
НШШ-400 |
Последовательное |
2x200 |
2,0 |
7,5 |
30,0 |
0,55 |
0,6 |
|
НШ1М-200/400 |
Раздельное |
200 400 |
2,0 2,1 |
7,5 7,8 |
30,0 30,0 |
0,3 |
0,3 |
|
НШ2-2* |
Одна катушка |
1x2 |
0,055 А |
0,135 А |
0,540 А |
— |
— |
|
НШ2-40 |
Последовательное |
2x20 |
0,3 |
1,2 |
4,5 |
— |
— |
|
НШ2-2000 |
Последовательное |
2x1000 |
2,2 |
7,5 |
30,0 |
— |
— |
* Характеристики для реле НШ2-2 приведены по току. Фактическое значении тока отпускания якоря реле НШ2-2 должно быть не менее 50% фактически измеренного тока полного притяжения.
После 400 000 гарантийных срабатываний нормальнодействующих и 200 000 гарантийных срабатываний медленнодействующих репе полный подъем не должен превышать более чем на 5%, а отпускание не должно быть ниже чем на 10% значений, указанных в табл. 142.
Электрическая прочность и сопротивление изоляции. Изоляция репе должна выдерживать без пробоя и перекрытия испытательное напряжение 2000 В переменного тока частотой 50 Гц, приложенное между всеми токоведущими частями реле и магнитопроводом.
Испытание электрической прочности изоляции производится путем приложения испытательного напряжения (при мощности испытательной установки не менее 0,5 кВА, дающей практически синусоидальную кривую напряжения частотой 50 Гц) в течение 1 мин±5 с.
Погрешность измерения испытательного напряжения переменного тока не должна превышать ±5%.
Сопротивление изоляции между соседними электрически не связанными токоведущими частями реле, а также между ними и магнитопроводом реле при относительной влажности воздуха до 90% и температуре +20°С должно быть не ниже 200 МОм.
При температуре +40°С и относительной влажности 70% сопротивление изоляции должно быть не ниже 50 МОм. Сопротивление изоляции измеряют любым методом, обеспечивающим погрешность измерения не более ±20% при напряжении постоянного тока 500 В.
Обмоточные данные катушек реле при температуре +20°С должны . соответствовать значениям, указанным в табл. 143.
Механические характеристики реле:
Физический зазор, т. е. зазор между полюсом
и якорем, после покрытия их
|
0,7 0,3 0,2 0,65+°.°5 0,25+°.°5 О,15+0'05 0,4-1,0 |
защитным слоем, не менее, мм:
для НШ2-2
для всех остальных типов
нормальнодействующих
для всех типов медленнодействующих
Упорно-контрольные штифты при притянутом
якоре
до упора не должны давать ему касаться поверхности
полюсов.
Для устранения залипания якоря
штифты должны
выступать над его поверхностью, мм:
для НШ2-2
для всех остальных типов
нормальнодействующих
для всех типов медленнодействующих
При отпавшем положении якоря зазор между ними и
упорным винтом для всех типов реле, мм
Таблица 143
Обмоточные
данные катушек реле
|
Тип реле |
Сопротивление одной катушки реле, Ом |
Диаметр обмоточного провода марки ПЭЛ, мм |
Число витков одной катушки |
Примечание |
|
НШ1-400/30 |
400±10% 30±5% |
0,21 0,44 |
8600 2550 |
— |
|
НШ1-800 |
400±10% |
0,23 |
8800 |
— |
|
НШ 1-2000 |
1000±10% |
0,21 |
15800 |
— |
|
НШШ-200/30 |
200±10% 30+5% |
0,25 0,44 |
4500 2550 |
Поверх обмотки намотать 2000 короткозам-кнутых витков проводом ПЭЛ 00,25 мм |
|
НШШ-400 |
200+10% |
0,25 |
4500 |
Поверх обмотки намотать 2000 короткозам-кнутых витков проводом ПЭЛ 00,25 мм |
|
НШ1М-200/400 |
200±10% 400±10% |
0,25 0,21 |
4500 8600 |
То же |
|
НШ2-2 |
2+5% |
1,25 |
1100 |
— |
|
НШ2-40 |
20±10% |
0,55 |
2200 |
— |
|
НШ2-2000 |
1000+10% |
0,21 |
15800 |
— |
Люфт в осях якоря для всех типов, мм:
перпендикулярно оси цапф 0,05-0,1
вдоль оси цапф 0,25-0,5
Расстояние от неподвижных до подвижных контактов,
не менее, мм 1,3
Нажатие на каждый из контактов, не менее, Н
|
0,3 30) 0,2 20) |
|
0,4 |
|
0,25 |
|
1(100) |
(гс):
замыкающий
размыкающий
Неодновременность замыкания или размыкания
контактов, не
более, мм
Скольжение угольных и серебряных контактов,
не менее, мм
Контактное нажатие на ножи розетки, не менее,
Н (гс)
Якорь должен свободно, без заеданий, вращаться на центрах осевых винтов, которые не должны иметь эксцентриситета. Для проверки надлежит отвернуть на один оборот каждый винт и проследить с помощью калибра, не меняется ли физический зазор при вращении винта. Разность между наибольшим и наименьшим получающимся при этом физическом зазоре для всех типов, не более 0,05 мм
После 400 000 гарантийных срабатываний нормальнодействующих и 200 000 гарантийных срабатываний медленнодействующих реле нажатие на каждый из замыкающих контактов должно быть не менее 0,25 Н (25 гс), на каждый из размыкающих контактов — не менее 0,12 Н (12 гс), а расстояние от неподвижных контактов до подвижных — не менее 1,2 мм.
Измерение зазоров производится с помощью индикатора, щупов и шаблонов класса 2. Контактные нажатия измеряют граммометром с точностью ±0,01 Н (±1 гс).
Контактная система реле НШ1 и НШ1М — 8 фт; НШ2 - 4 фт. Нумерация контактов приведена на рис. 167.
Каждый контакт нормальнодействующих реле должен обеспечивать не менее 400 000, а медленнодействующих — не менее 200 000 включений и выключений электрических цепей переменного тока ЗА, 12 В при безындукционной нагрузке.
Переходное сопротивление контактов должно соответствовать следующим значениям:
— для замыкающих контактов (серебро — уголь), измеренное без контактов розетки, - не более 0,25 Ом, то же с контактами розетки — не более 0,28 Ом;
— для размыкающих контактов (серебро — серебро) — не более 0,03 Ом без контактов розетки и не более 0,06 Ом — с контактами розетки.
Выводы катушек и монтаж внутри реле выполняются гибким проводом марки ПМВГ или МГШВ сечением не менее 0,35 мм2.
После 400 000 гарантийных срабатываний нормальнодействующих и 200 000 гарантийных срабатываний медленнодействующих реле переходное сопротивление каждого из замыкающих контактов должно быть не более 0,5 Ом без контактов розетки, а каждого из размыкающих контактов — не более 0,1 Ом.
Замкнутые контакты каждого реле должны выдерживать при испытании, не деформируясь, непрерывную нагрузку 3 А.
Температура нагрева контактов при этом не должна превышать температуру окружающей среды более чем на + 100°С. Температуру нагрева измеряют термопарой.
Испытание
контактов на длительную работу производится при частоте срабатывания 15—20 раз
в 1 мин.
Переходное сопротивление контактов при этом испытании проверяется через каждые 10 000 включений. После испытания реле должно удовлетворять указанным ранее нормам.
Переходное сопротивление контактов измеряется методом вольтметра — амперметра при токе 0,5 А и источнике питания 12 В постоянного тока при крайних положениях якорей приборами класса точности не ниже 2,5.
За переходное сопротивление контактов принимается среднее значение из трех наблюдений с двукратным включением и выключением реле после каждого отсчета.
Условия эксплуатации. Реле изготовляют для следующих условий эксплуатации:
— температура окружающего воздуха от —50 до +60°С;
— относительная влажность окружающего воздуха до 90% при температуре +20°С и до 70% при температуре +40°С;
— рабочее положение — горизонтальное, контактным набором
книзу.
Допускаются отклонения от рабочего положения не более чем на
5° в любую сторону.
Реле должны храниться в закрытом вентилируемом помещении в картонных коробках при температуре от 5 до +35°С, относительной влажности воздуха не более 80% и отсутствии в окружающей среде кислотных и других агрессивных примесей. Хранение в транспортной упаковке допускается не более трех месяцев. Габаритные размеры реле, мм:
НШ1 224x80x201
НШ2 230x82x203
Масса реле без розетки, кг:
НШ1 3,02
НШ2 3,67
3. Реле нейтральное штепсельное постоянного тока с термическим элементом типа НШТ1 -800
Назначение. Реле НШТ1-800 предназначено для осуществления электрических зависимостей в устройствах автоматики и телемеханики на железнодорожном транспорте, где необходимо иметь большое замедление на притяжение якоря реле, и изготовляется по черт.
24021.00.00А.
Некоторые конструктивные особенности. Реле постоянного тока типа НШТ1-800
является электромагнитным двухпозиционным. Оно представляет собой реле НШ1-800,
внутри которого установлен термовключатель, состоящий
из контактного тройника с пружинами ИЗ термобиметалла. На пружине намотана
нагревательная обмотка. При замыкании электрической цепи ток поступает в нагревательную обмотку, в результате чего через
8—18 с замыкается контакт термовключателя и включает
цепь обмотки реле. После этого замыкаются фронтовые контакты реле.
Нагревательная обмотка выключается тыловым
контактом реле.
Обмотки реле НШТ1-800 включаются последовательно установкой перемычки между выводами 2—3.
Схема включения обмоток реле показана на рис. 168.
|
|
Электрические и временные характеристики реле НШТ1-800 при
относительной
влажности воздуха до 80% и температуре +20°С:
Сопротивление
обмоток реле, Ом 2x400
Напряжение отпускания якоря реле, не менее, В 2,5
Напряжение
полного притяжения якоря, не бо-
лее, В 8,0
Напряжение
перегрузки, В
30,0
Время замедления на притяжение якоря при
на-
пряжении от 10,8 до 13,2 В,
с 8—18
Обмоточные данные реле:
Сопротивление одной обмотки электромагнита
реле, Ом 400+(-)10%
Марка обмоточного провода ПЭЛ
Диаметр обмоточного провода, мм 0,23
Число витков одной катушки 8800
Сопротивление нагревательной обмотки
термо
элемента реле, Ом 24±10%
Марка провода нагревательной обмотки нихром
Х15Н60
Диаметр провода, мм 0,2
Длина провода, необходимого для
одной нагрева
тельной обмотки, мм 700
Контактная система реле НШТ1-800 — 5 фт. Реле имеет также один переключающий контакт термоэлемента (1 фт). Схема включения обмоток реле и расположение контактов показаны на рис. 168.
Контакты термовключателя нормально разомкнуты, и зазор между ними должен быть не менее 0,5 мм.
Габаритные размеры реле 224x80x201 мм; масса реле без розетки — 3,62 кг.
Все остальные данные реле НШТ1-800 по контактной системе, механические характеристики, электрическая прочность и сопротивление изоляции, условия эксплуатации аналогичны данным реле НШ1.
4. Реле нейтральное пусковое штепсельное постоянного тока типа НПШ1-150
Назначение. Реле типа НПШ1-150 предназначено для включения стрелочных электроприводов в устройствах электрической централизации стрелок и изготовляется по черт. 24002.00.00 только в штепсельном исполнении.
Некоторые конструктивные особенности. Реле является электромагнитным механизмом и конструктивно выполнено так же, как и реле НШ1, за исключением контактной системы, которая является усиленной с увеличенной разрывной мощностью. Для более устойчивой работы усиленных контактов установлены постоянные магниты для гашения дуги, возникающей при включении и выключении электрического тока.
Реле НПШ1-150 имеет параллельное соединение обмоток (рис. 169), для чего на розетке устанавливают перемычки между выводами 1—2 и 3—4.
Электрические характеристики реле НПШ1-150 при относительной влажности окружающего воздуха до 90% и температуре +20°С:
Сопротивление обмоток, Ом 150±10%
Напряжение, В:
отпускания якоря, не менее 2
полного притяжения, не более 8
перегрузки 32
|
|
Напряжение или ток полного притяжения якоря, измеренные при обратной полярности на катушках реле, не должны превышать напряжение или ток, измеренные при прямой полярности, более чем на 25%. Магнитный поток постоянных магнитов дугогашения должен быть не менее 8-Ю-6 Вб (800 Мкс).
Проверка напряжений притяжения и отпускания производится приборами класса точности не ниже 1,0. Сопротивление обмоток постоянному току проверяют любым методом с погрешностью измерения не более +1%. Магнитный поток постоянных магнитов дугогашения измеряют флюксметром в разомкнутой магнитной цепи.
Электрическая прочность и сопротивление изоляции. Изоляция репе должна в течение 1 мин выдерживать без пробоя испытательное напряжение 2000 В переменного тока частотой 50 Гц, приложенное между всеми токоведущими частями реле и магнитопроводом. Испытание электрической прочности изоляции производится путем приложения испытательного напряжения (при мощности испытательной установки не менее 0,5 кВА, дающей практически синусоидальную кривую напряжения частотой 50 Гц) в течение 1 мин±5 с. Погрешность измерения испытательного напряжения не должна превышать ±5%.
Сопротивление изоляции между соседними электрически не связанными токоведущими частями реле, а также между ними и магнитопроводом реле при относительной влажности воздуха до 90% и температуре +20°С должно быть не менее 200 МОм. При температуре +40°С и относительной влажности 70% сопротивление изоляции должно быть не ниже 50 МОм.
Сопротивление изоляции измеряют любым методом, обеспечивающим погрешность измерения не более ±20% при напряжении постоянного тока 500 В.
Обмоточные данные реле:
Сопротивление одной катушки, Ом 300+10%
Число витков одной катушки 8100
Марка провода ПЭЛ
Диаметр провода, мм 0,27
Выводы катушек выполняются гибким проводом марки ПМВГ или МГШВ сечением не менее 0,35 мм2.
Механические характеристики реле:
Физический зазор между полюсом и якорем в притянутом положении после покрытия их защитным слоем, не менее, мм 0,5
При отпавшем положении якоря зазор между ним
и упорным винтом, мм 0,4—1,0
Люфт в осях якоря, мм:
перпендикулярно оси цапф 0,05—0,1
вдоль оси цапф 0,25—0,5
Расстояние от неподвижных контактов до подвижных как при притянутом, так и при отпавшем якоре, не менее, мм 5,0
Нажатие на каждый из контактов, не менее, Н (гс):
замыкающий 0,5 (50)
размыкающий 0,3 (30)
Неодновременность замыкания контактов, не более, мм 0,4
Скольжение металлокерамических контактов, мм 0,25
Расстояние от полюсов магнитов дугогашения до
контактной поверхности, не менее, мм 0,5
Контактное нажатие на ножи розетки, не менее,
Н (гс) 1 (100)
Якорь должен свободно, без заеданий вращаться на центрах осевых винтов, которые не должны иметь эксцентриситета. Для проверки надлежит отвернуть на один оборот каждый винт и проследить с помощью калибра, не меняется ли физический зазор при вращении винта. Разность между наибольшим и наименьшим получающимися при этом физическими зазорами не должна быть больше 0,05 мм.
Измерение зазоров производится с помощью индикатора, щупов и шаблонов класса 2.
Измерение контактных нажатий производится с помощью граммометра с точностью ±0,01 Н (±1 гс).
Контактная система реле НПШ1-150 — 2 фт, 2 футу, 2 ф, 2 фу. Усиленные контакты 11—12, 71—72, 21—22—23, 81—82—83. Схема включения обмоток реле и расположение контактов показаны на рис. 169.
Каждый замыкающий и размыкающий контакт должен обеспечивать не менее 100 000 включений и выключений электрических цепей переменного тока ЗА, 12 В при безындукционной нагрузке.
Каждый усиленный замыкающий и усиленный размыкающий контакт должен обеспечивать 100 000 включений и 500 выключений электрических цепей постоянного тока 5 А, 220 В.
Переходное сопротивление контактов должно быть не более 0,15 Ом без контактов штепсельной розетки и не более 0,18 Ом — с контактами розетки.
Замкнутые контакты реле должны выдерживать в течение 2 ч при испытании, не деформируясь, непрерывную нагрузку 10 А.
Температура нагрева контактов при этом не должна превышать температуру окружающей среды более чем на +100°С.
Температуру нагрева измеряют термопарой.
Испытание контактов на длительную работу производится при частоте срабатывания 15—20 раз в 1 мин.
После испытаний электрические и механические характеристики реле должны оставаться в ранее указанных пределах.
Переходное сопротивление контактов измеряют методом вольтметра — амперметра при токе 0,5 А и источнике питания 12 В постоянного тока при отпущенном и притянутом до упора якоре приборами класса точности не ниже 2,5.
За переходное сопротивление контактов принимается среднее значение из трех наблюдений с двукратным включением реле (притяжение и отпадание якоря) после каждого отсчета.
Условия эксплуатации. Реле изготовляют для следующих условий эксплуатации:
— температура окружающего воздуха от -50 до +60°С;
— относительная влажность окружающего воздуха до 90% при температуре +20°С и до 70% при температуре +40°С;
— рабочее положение — горизонтальное, контактным набором снизу.
Допускается отклонение от рабочего положения не более чем на 5° в любую сторону.
Реле должны храниться в закрытом вентилируемом помещении в картонных коробках при температуре от 5 до 35°С, относительной влажности воздуха не более 80% и отсутствии в окружающей среде кислотных и других агрессивных примесей. Хранение в транспортной упаковке допускается не более трех месяцев.
Габаритные
размеры реле 230x82x203 мм; масса реле без розетки – 3, 6 кг.
5. Реле нейтральные штепсельные с выпрямителями типа НВШ1
Назначение. Реле типа НВШ1 предназначены для осуществления электрических зависимостей в устройствах автоматики и телемеханики на железнодорожном транспорте с питанием от сети переменного тока частотой 50 Гц. В основном используются для работы в однониточных рельсовых цепях переменного тока.
Реле типа НВШ1-200 изготовляют по черт. 2187.00.00; НВШ1-800 - по черт. 2192.00.00А и НВШ1-1100 - по черт, 24302.00.00. Выпрямительную приставку изготовляют по черт. 2188.00.00, а розетки для реле всех типов — по черт. 2170.00.00.
Некоторые конструктивные особенности. Конструкция реле типа НВШ1 аналогична конструкции штепсельного реле постоянного тока типа НШ1 с добавлением выпрямительных приставок для возможности работы этих реле в цепях переменного тока.
Реле типа НВШ1-200 имеет две параллельно включенные обмотки по 400 Ом и выпрямитель типа 15ВМ4А или 15ГМ4А, включенный по мостовой схеме (схеме Греца), который смонтирован на кронштейне под колпаком реле. Схема включения катушек и выпрямителя реле НВШ1-200 показана на рис. 170.
Реле типа НВШ 1-800 имеет две последовательно включенные обмотки по 400 Ом (рис. 171, а) и купроксный выпрямитель типа ВК-20-27. Выпрямительные столбики могут быть включены в зависимости от условий работы рельсовой цепи по мостовой (рис. 171, б) схеме (схеме Греца) или по последовательной (рис. 171, в) схеме (однополупериодной).
Отличительной особенностью реле НВШ1-800 является наличие выпрямительной приставки, установленной в верхней части с монтажной стороны штепсельной розетки. Выпрямители закрыты кожухом, который предохраняет их от механических повреждений. Выводы выпрямителей присоединены к ламелям на панели кожуха.
При замене реле НВШ 1-800, включенного по мостовой схеме (схеме Греца), предварительно к выводам 1—4 нужно подключить резистор сопротивлением 1000 Ом, чтобы предотвратить порчу выпрямителя.
Реле типа НВШ 1-800 выпускались до 1971 г. С 1971 г. в связи с заменой купроксных выпрямителей ВК-20-27 диодами Д7Ж изменены обмоточные данные реле (вместо двух обмоток по 400 Ом стало две обмотки по 550 Ом), реле получили название НВШ1-1100.
Основными деталями реле типа НВШ1-1100 являются: сердечник, панель с диодами, катушки, кронштейн, основание, контактной система, якорь, колпак, ручка. Выпрямитель, состоящий из диодом типа Д7Ж, установлен под колпаком реле.
Схема включения катушек и выпрямителей, а также расположение контактов показаны на рис. 172. При мостовой схеме включения выпрямителей напряжение подводится к выводам 1—3, а при одно-полупериодной — к выводам 1—2.
Электрические и механические характеристики реле НВШ1-1100, за исключением сопротивления обмоток, аналогичны электрическим и механическим характеристикам реле типа НВШ1-800.
|
|
|
|
Электрические характеристики реле на переменном токе частотой 50 Гц при относительной влажности воздуха до 90% и температуре +20°С должны соответствовать данным, указанным в табл. 144.
Таблица 1 44
Электрические характеристики реле
|
Тип реле |
Активное сопротивление катушек, Ом |
Схема выпрямления, соединение обмоток |
Напряжение, В |
||
|
отпускания якоря, не менее |
полного притяжения якоря, не более |
перегрузки при испытании |
|||
|
НВШ1-1100 (НВШ1-800) |
2x550 (2x400) |
Мостовая, последовательное |
8,5 |
17 |
60 |
|
Однополупериодная, последовательное |
12 |
27 |
60 |
||
|
НВШ 1-200 |
2x400 |
Мостовая, параллельное |
3,3 |
6,6 |
15 |
После 100 000 гарантийных срабатываний реле все электрические характеристики не должны выходить за пределы значений, указан пых в табл. 144. После нахождения реле под током в течение 2 ч при напряжениях перегрузки фактические характеристики реле не должны изменяться более чем на 15% с сохранением коэффициента возврата реле не ниже 50%. При остывании реле до температуры окружающей среды (+20°С) электрические характеристики должны удовлетворять данным табл. 144.
Проверка напряжений полного притяжения и отпускания якоря реле производится на переменном токе частотой 50 Гц приборами класса точности не ниже 1,5. Сопротивление обмоток постоянному току проверяют любым методом с погрешностью измерения не более 1%.
Электрическая прочность и сопротивление изоляции. Изоляция реле должна выдерживать без пробоя и перекрытия испытательное напряжение 2000 В переменного тока частотой 50 Гц, приложенное между всеми токоведущими частями реле и магнитопроводом. Испытание электрической прочности изоляции производится путем приложения испытательного напряжения (при мощности испытательной установки не менее 0,5 кВА, дающей практически синусоидальную кривую напряжения частотой 50 Гц) в течение 1 мин±5 с. Погрешность измерения испытательного напряжения не должна превышать ±5%.
Сопротивление изоляции между соседними электрически не связанными токоведущими частями реле, а также между ними и магнитопроводом реле при относительной влажности до 90% и температуре +20°С должно быть не ниже 200 МОм. При температуре +40°С и относительной влажности 70% сопротивление изоляции должно ныть не ниже 50 МОм. Сопротивления изоляции измеряют любым методом, обеспечивающим погрешность измерения не более ±20% при напряжении постоянного тока 500 В.
Обмоточные данные катушек реле при температуре +20°С должны соответствовать
данным табл. 145.
|
Таблица 145 Обмоточные данные катушек реле |
|
Тип реле |
Сопротивление одной катушки, Ом |
Диаметр провода марки ПЭЛ1, мм |
Число витков одной катушки |
Соединение катушек |
|
НВШ1-200 |
400+10% |
0,23 |
8800 |
Параллельное |
|
НВШ1-800 |
400±10% |
0,23 |
8800 |
Последовательное |
|
НВШ1-1100 |
550±10% |
0,19 |
9000 |
Последовательное |
Выводы катушек выполняются гибким проводом марки ПМВГ или МГШВ сечением не менее 0,35 мм2.
Механические характеристики реле типа НВШ1 полностью соответствуют характеристикам реле типа НШ1.
После 100 000 гарантийных срабатываний все механические характеристики реле НВШ1 не должны выходить за пределы установленных норм.
Контактная система реле НВШ1 — 8 фт. Расположение контактов с монтажной стороны показано на рис. 170, 171 и 172.
Каждый контакт реле должен обеспечивать не менее 100 000 включений и выключений электрических цепей переменного тока 3 А, 12 В при безындукционной нагрузке. Переходное сопротивление контактов должно соответствовать следующим значениям:
—для замыкающих контактов (серебро — уголь), измеренное
без контактов розетки, — не более 0,25
Ом, то же с контактами розетки — не более 0,28 Ом;
—для размыкающих контактов (серебро — серебро) — не более
0,03 Ом без
контактов розетки и не более 0,06 Ом — с контактами розетки.
Контакты реле должны выдерживать при испытании непрерывную нагрузку 3 А. Температура нагрева контактов при этом не должна превышать температуру окружающей среды более чем на + 100°С. Температуру нагрева измеряют термопарой.
Испытание контактов на длительную работу производится при частоте срабатывания 15—20 раз в 1 мин. Переходное сопротивление контактов при этом испытании проверяют через каждые 10 000 включений. После испытаний реле все его характеристики должны быть в пределах указанных ранее норм.
Переходное сопротивление контактов измеряется методом вольтметра — амперметра при токе 0,5 А и источнике питания 12 В постоянного тока при крайних положениях якорей приборами класса точности не ниже 2,5. За переходное сопротивление контактов принимается среднее значение из трех наблюдений с двукратным включением и выключением реле после каждого отсчета.
Условия эксплуатации. Реле изготовляют для следующих условий эксплуатации:
—температура окружающего воздуха от -50 до +60°С;
—относительная влажность окружающего воздуха до 90% при температуре +20°С
и до 70% при температуре +40°С;
— рабочее
положение горизонтальное контактным набором снизу.
Допускаются отклонения от рабочего
положения не более чем на 5° в любую
сторону.
Реле должны храниться в закрытом вентилируемом помещении в картонных коробках при температуре от 1 до 40°С, относительной влажности воздуха не более 80% и отсутствии в окружающей среде кислотных и других агрессивных примесей. Хранение в транспортной упаковке допускается не более трех месяцев.
Габаритные размеры реле 230x82x203 мм; масса реле без розетки — 3,5 кг.
. Реле нейтральное огневое типа ОШ2-400/0.85
Назначение. Реле типа ОШ2-400/0,85 предназначено для контро-1Я целости нити светофорных ламп мощностью 10 Вт при напряжении 10 В; 15 и 25 Вт при напряжении 12 В и изготовляется по черт. 24121.0000.
Некоторые конструктивные особенности. Реле ОШ2-400/0,85 является электромагнитным медленнодействующим. Выпрямительные элементы установлены внутри реле. Схема включения огневого реле и соединение его обмоток показаны на рис. 173.
Для включения различных по потребляемой мощности светофорных ламп низкоомная обмотка реле секционирована, выводы ее подключены на клеммы. Подключение проводов схемы к выводам обмоток реле в зависимости от мощности светофорной лампы производится в соответствии с табл. 146.
Таблица 1 46
Номера выводов и сопротивление секции обмотки
|
Мощность светофорной лампы, Вт |
Номера выводов реле, к которым подключаются провода схемы |
Сопротивление секции обмотки, Ом |
|
25 |
2-82 |
0,35 |
|
15 |
2-73 |
0,48 |
|
10 |
2-71 |
0,85 |
|
|
Электрические и временные характеристики реле при относительной влажности воздуха до 90% и температуре +20°С должны соответствовать данным, указанным в табл. 147.
Таблица 147
Электрические и временные характеристики
|
Сопротивление катушек, Ом |
Напряжение и ток |
Замедление на отпускание, не менее, с |
Род тока |
|||||
|
отпускания якоря, не менее |
полного притяжения якоря, не более |
перегрузки |
||||||
|
В |
А |
В |
А |
В |
А |
|||
|
400 |
2,0 |
— |
7,5 |
— |
30,0 |
— |
0,3* |
Постоянный |
|
0,85 |
— |
0,165 |
— |
0,475 |
— |
1,4 |
0,25* |
Переменный 50 Гц |
|
0,48 |
— |
0,220 |
— |
0,630 |
— |
1,9 |
— |
То же |
|
0,35 |
— |
0,290 |
— |
0,820 |
— |
2,4 |
— |
То же |
* Измерение замедления по обмотке 0,85 Ом производится при токе 0,475 А, по обмотке 400 Ом — при напряжении 12В
Напряжение полного притяжения якоря, измеренное при обратной полярности на катушках реле, не должно превышать напряжение, измеренное при прямой полярности, более чем на 25%.
После 200 000 гарантийных срабатываний полное притяжение m должно превышать более чем на 5%, а отпускание не должно быть ниже чем на 10% значений, указанных в табл. 147.
Проверка напряжений или токов притяжения и отпускания производится приборами класса точности не ниже 1,0 на постоянном токе и не ниже 1,5 на переменном токе. Временные характеристики реле проверяют любым методом, обеспечивающим погрешность измерения не более +10%. Сопротивление обмоток постоянному току измеряют любым методом с погрешностью не более ±1%.
Электрическая прочность и сопротивление изоляции. Изоляция реле должна выдерживать без пробоя и перекрытия испытательное напряжение 2000 В переменного тока частотой 50 Гц, приложенное между всеми токоведущими частями реле и магнитопроводом, в течение 1 мин±5 с (при помощи испытательной установки не менее 0,5 кВА). Погрешность измерения испытательного напряжения не должна превышать ±5%.
Сопротивление изоляции между соседними электрически не связанными токоведущими частями реле, а также между ними и магнитопроводом реле при относительной влажности до 90% и температуре +20°С должно быть не ниже 200 МОм.
При температуре +40°С и относительной влажности до 70% сопротивление изоляции должно быть не ниже 50 МОм. Сопротивление изоляции измеряют любым методом, обеспечивающим погрешность измерения не более ±20% при напряжении постоянного тока 500 В.
Обмоточные данные катушек реле при температуре +20°С должны соответствовать данным, указанным в табл. 148.
Таблица 148
Обмоточные данные катушек
реле
|
Сопротивление обмотки, Ом |
Диаметр провода марки ПЭЛ, мм |
Число витков |
Примечание |
|
400±10% |
0,23 |
7000 |
— |
|
0,85+5% |
1,25 |
450 |
Катушка секционированная |
|
0,48±5% |
290 |
||
|
0,35±5% |
230 |
Выводы катушек и монтаж внутри реле выполняются гибким проводом марки ПМВГ или МГШВ сечением не менее 0,35 мм2.
Механические характеристики реле:
Физический
зазор, т. е. зазор между полюсом и якорем
после покрытия их защитным слоем, не менее, мм 0,2
Высота упорно-контрольных штифтов над поверхностью якоря, мм 0,15+0,05
Люфт в осях якоря, мм:
перпендикулярно
оси цапф
0,05 – 0,1
вдоль оси цапф 0,25 – 0,5
Расстояние от неподвижных до подвижных контактов, не менее, мм 1,3
Нажатие на
каждый контакт, не менее, Н (гс):
Замыкающий
0,3
(30)
Размыкающий 0,2 (20)
Неодновременность замыкания или размыкания, не более, мм 0,4
Скольжение контактов, не менее, мм 0,25
Якорь реле должен свободно, без заеданий вращаться на центрах осевых винтов, которые не должны иметь эксцентриситета. Для проверки надлежит отвернуть на один оборот каждый винт и проследить с помощью калибра, не меняется ли физический зазор при вращении винта. Разность между наибольшим и наименьшим получающимся при этом физическом зазоре должна быть не более 0,05 мм.
После 200 000 гарантийных срабатываний реле нажатие на каждый из замыкающих контактов должно быть не менее 0,25 Н (25 гс), на каждый из размыкающих контактов — не менее 0,12 Н (12 гс), а расстояние от неподвижных контактов до подвижных — не менее 1,2 мм.
Измерение зазоров производится с помощью индикатора, щупов и шаблонов класса 2. Контактные давления измеряют граммометром с точностью ±0,01 Н (±1 гс).
Контактная система реле ОШ2-400/0,85 — 4 фт. Схема расположения контактов с монтажной стороны изображена на рис. 173.
Каждый контакт реле должен обеспечивать не менее 200 000 включений и выключений электрических цепей переменного тока ЗА, 12 В при безындукционной нагрузке.
Переходное сопротивление контактов должно соответствовать следующим значениям:
— для замыкающих контактов (серебро — уголь), измеренное без контактов розетки, — не более 0,25 Ом, то же с контактами розетки — не более 0,28 Ом;
— для размыкающих контактов (серебро — серебро) — не более 0,03 Ом без контактов розетки и не более 0,06 Ом — с контактами розетки.
После 200 000 гарантийных срабатываний переходное сопротивление замыкающих контактов должно быть не более 0,5 Ом без контактов розетки, размыкающих контактов — не более 0,1 Ом.
Замкнутые контакты реле должны выдерживать при испытании, не деформируясь, непрерывную нагрузку 3 А. Температура нагрева контактов при этом не должна превышать температуру окружающей среды более чем на 100°С. Температуру нагрева измеряют термопарой.
Испытание контактов реле на длительную работу производится при частоте срабатывания 15—20 раз в 1 мин.
Переходное сопротивление контактов измеряют методом вольтметра — амперметра при токе 0,5 А и источнике питания 12 В постоянного тока при крайних положениях якорей приборами класса точности не ниже 2,5.
За переходное сопротивление контактов принимается среднее значение из трех наблюдений с двукратным включением и выключением реле после каждого отсчета.
Условия эксплуатации. Реле изготовляют для следующих условий эксплуатации:
— температура окружающего воздуха от —50 до +60°С;
— относительная влажность окружающего воздуха до 90% при температуре +20°С и до 70% при температуре +40°С;
— рабочее положение — горизонтальное, контактным набором снизу.
Допускаются отклонения от рабочего положения не более чем на 5° в любую сторону.
Реле должны храниться в закрытом вентилируемом помещении в картонных коробках при температуре от 5 до +35°С, относительной влажности воздуха не более 80% и отсутствии в окружающей среде кислотных и других агрессивных примесей. Хранение в транспортной упаковке допускается не более трех месяцев.
Габаритные размеры реле всех типов 230x82x203 мм; масса каждого из реле без розетки — 3,8 кг.
7. Реле комбинированные типа КШ
Назначение. Реле типа КШ предназначены для осуществления электрических зависимостей в устройствах автоматики и телемеханики на железнодорожном транспорте. В зависимости от типа реле КШ изготовляют по следующим чертежам: КШ1-40, КШ1-80, КШ1-280, КШ1-600 и КШ1-800 - по черт. 24149.00.00; КШ1-400, КШ1М-400 и КШ1-1000 - по черт. 2189.00.00А.
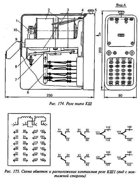
Некоторые конструктивные особенности. Реле типа КШ — реле постоянного тока. Основными деталями реле типа КШ1 (рис. 174) являются: 1 — сердечник, 2 — катушки, 3 — полюсные наконечники, 4 — кронштейн, 5 — основание, 6 — контактная система, 7 — поляризованный якорь, 8 — нейтральный якорь, 9 — ручка, 10 — колпак.
Механизм реле имеет электромагнитную и контактную системы. Электромагнитная система нейтральной части состоит из двух катушек, сердечника, двух полюсных наконечников и нейтрального якоря. Поляризованная система имеет общие с нейтральной системой сердечник, катушки и полюсные наконечники и дополнительно постоянный магнит и поляризованный якорь.
Электромагнитная система комбинированных реле укреплена на металлическом кронштейне.
Особенностью конструкции комбинированных штепсельных реле является то, что сначала всегда перебрасывается поляризованный якорь, а затем притягивается нейтральный.
Контактная система собрана в четыре контактные группы. Каждая контактная группа нейтральной части состоит из перекидных, фронтовых и тыловых контактов; поляризованной части — из перекидных, нормальных и переведенных контактов.
Обмотки реле включаются последовательно. Схема соединения обмоток реле показана на рис. 175.
При подключении питания к выводам 1—4 (минус к выводу 1, плюс к выводу 4) поляризованный якорь должен занимать нормальное положение и замыкать контакты 111—112, 121—122, 131—132, 141—142. При изменении направления тока в катушках (плюс к выводу 1, минус к выводу 4) якорь должен занимать переведенное положение и замыкать контакты 111—113, 121—123, 131—133, 141—143.
|
|
Реле типов КШ1-40, КШ1-80, КШ1-280, КШ1-600 и КШ1-800 являются модернизированными, обладающими повышенной надежностью обязательного перебрасывания поляризованного якоря перед притяжением нейтрального.
Электрические характеристики реле при температуре (20±5)°С и относительной влажности окружающего воздуха до 90% должны соответствовать данным, указанным в табл. 149.
В реле типов КШ1-400, КШ1М-400 и КШ1-1000 постоянные магниты должны быть применены с магнитным потоком 7*10-5— 8*10-5 Вб (7000—8000 Мкс). Магнитные потоки обоих магнитов должны быть равны. Допустимая разность магнитных потоков не более 3-10-6 Вб (300 Мкс), причем магнит с большим магнитным потоком устанавливается ближе к штепсельной розетке.
Таблица 149
Электрические характеристики реле
|
Тип реле |
Сопротивление обмоток постоянному току, Ом |
Напряжение или ток |
Напряжение отпускания нейтрального якоря при воздействии переменного тока 50 Гц, не менее, В |
|||||||
|
отпускания нейтрального якоря, не менее |
полного притяжения нейтрального якоря, не более |
переброса поляризованного якоря |
перегрузки, не более |
|||||||
|
В |
А |
В |
А |
В |
А |
В |
А |
|||
|
КШ1-40 |
2x20 |
— |
0,010 |
— |
0,063 |
— |
0,019— 0,035 |
— |
0,180 |
100 |
|
КШ1-80 |
2x40 |
— |
0,008 |
— |
0,045 |
— |
0,015— 0,027 |
— |
0,160 |
120 |
|
КШ1-280 |
2x140 |
1,4 |
— |
6,5 |
— |
2,1-3,9 |
— |
20 |
— |
200 |
|
КШ1-400 |
2x200 |
2,0 |
— |
9,0 |
— |
3,5-5,5 |
— |
32 |
— |
— |
|
КШШ-400 |
2x200 |
2,2 |
— |
10,0 |
— |
3,5-5,5 |
— |
32 |
— |
— |
|
КШ1-600 |
2x300 |
2,1 |
— |
9,6 |
— |
3,0— 5,7 |
— |
30 |
— |
250 |
|
КШ1-800 |
2x400 |
2,5 |
— |
11,0 |
— |
3,5-6,5 |
— |
30 |
— |
250 |
|
КШ1-1000 |
2x500 |
2,0 |
— |
10,0 |
— |
3,5-5,5 |
— |
32 |
— |
— |
Примечания. 1. Электрические характеристики измеряются при последовательном соединении обмоток при любом положении поляризованного якоря.
2. Реле типа КШШ-400 имеет замедление на отпускание якоря 0,3 с при напряжении 12 В.