![]() |
Коэффициенты четырехполюсника дроссель-трансформатора по модулю и аргументу при установке его на релейном конце рельсовой цепи при отсутствии подмагничивания имеют следующие значения и являются справочными величинами, необходимыми для расчета рельсовой цепи:

Примечание: п — коэффициент трансформации исполнения дроссель-трансформатора.
Дополнительная обмотка дроссель-трансформатора выполняется в виде плоской катушки без каркаса. Выводные концы дополнительной обмотки дроссель-трансформатора с коэффициентами трансформации 23 и 17 должны быть выполнены тем же обмоточным проводом и защищены дополнительно электроизоляционной трубкой. При выпуске дроссель-трансформатора с коэффициентом трансформации 40 дополнительная обмотка должна иметь два выводных конца, выполненных проводом сечением 0,75 мм2.
Комплект поставки, сопротивление изоляции, условия эксплуатации те же, что и у ранее описанного дроссель-трансформатора ДТ-0,2-500 выпуска с 1995 г. Габаритные размеры приведены на рис. 256. Масса 157+3 кг.
6. Дроссель-трансформатор типа ДТ-0,6-500 выпуска с 1995 г.
Назначение. Дроссель-трансформатор типа ДТ-0,6-500 предназначен для установки на участках железных дорог, оборудованных автоблокировкой на переменном токе и электротягой на постоянном токе, а также для установки на участках железных дорог, оборудованных автоблокировкой на переменном токе, для стыкования двух систем электрической тяти (с коэффициентом трансформации 3).
|
|
Некоторые конструктивные особенности. Габаритный чертеж дроссель-трансформатора ДТ-0,6-500 приведен на рис. 258. Дроссель-трансформатор рассчитан на пропускание номинального значения постоянного тока силой 500 А в электротяге через каждую секцию основной обмотки. Средний вывод обмотки рассчитан на силу тока 1000 А.
Дроссель-трансформатор изготавливается следующих исполнений в соответствии с табл. 235.
Таблица 235 Виды исполнений дроссель-трансформаторов ДТ-0,6-500
|
Тип изделия |
Номер чертежа |
Коэффициент трансформации |
Марка провода дополнительной обмотки |
|
ДТ-0,6-500 |
ЮКЛЯ 672113.001 |
38 |
ПЭБО 0 0,69 мм |
|
ДТ-0,6-300 |
ЮКЛЯ 672113.001-01 |
15 |
ПЭБО 0 1 мм |
|
ДТ-0,6-500 |
ЮКЛЯ 672113.001-02 |
3 |
ПЭБО 0 1,9 мм |
Основная обмотка дроссель-трансформатора состоит из двух секций, соединенных между собой.
|
|
Дополнительная обмотка в зависимости от варианта исполнения дроссель-трансформатора имеет:
—при коэффициенте трансформации 38—610 витков (рис. 259, а);
—при коэффициенте трансформации
15—240 витков (рис. 259, б);
—при коэффициенте трансформации 3—48 витков (рис. 259, в).
При заказе необходимо указать не только тип дроссель-трансформатора, но и коэффициент трансформации. Если в заявочной спецификации будет отсутствовать указание о коэффициенте трансформации, то завод-изготовитель поставит дроссель-трансформатор с коэффициентом трансформации 15.
По способу защиты человека от поражения электрическим током дроссель-трансформатор относится к классу О ГОСТ 12.2.007.0-75.
Электрические характеристики. Сопротивление основной обмотки постоянному току между выводами А1—А2 должно быть (2,4±0,24) мОм при температуре +20°С.
Полное сопротивление дроссель-трансформатора переменному току частоты 50 Гц при напряжении на его основной обмотке 1 В между выводами А1—А2 и при отсутствии подмагничивания постоянным током должно быть не менее 0,58 Ом и не более 0,64 Ом при зазоре между сердечниками и ярмом 1—3 мм.
Полное сопротивление дроссель-трансформатора при разности токов (асимметрии тока), протекающих в секциях основной обмотки силой 320 А и при напряжении 1 В переменного тока частоты 50 Гц на основной обмотке между выводами А1—А2 должно быть не менее 0,52 Ом. Полное сопротивление не должно отклоняться более чем на ±8% от фактического сопротивления, измеренного при отсутствии подмагничивания.
Дополнительная обмотка дроссель-трансформатора с коэффициентом трансформации 38, подключенная выводами Б1—Б2 (рис. 259, а) к напряжению 11О В переменного тока частоты 50 Гц должна
в основной обмотке на выводах А1—А2 напряжение в пределах от 2,6 до 2,9 В.
Дополнительная обмотка дроссель-трансформатора с коэффициентом трансформации 15, подключенная выводами Б1—Б2 (рис. 259, 6) к напряжению 11О В переменного тока частоты 50 Гц, должна обеспечивать в основной обмотке на выводах А1—А2 напряжение не менее (6,5+0,65) В.
Дополнительная обмотка дроссель-трансформатора с коэффициентом трансформации 3, подключенная выводами Б1—Б2 (рис. 259, в) к напряжению 12 В переменного тока частоты 50 Гц, должна обеспечивать в основной обмотке на выводах А1—А2 напряжение не менее (4±0,2) В.
Сила тока холостого хода дополнительной обмотки дроссель-трансформатора с коэффициентом трансформации 38 должна быть не более 0,35 А при напряжении 11О В переменного тока частоты 25 Гц.
Сила тока холостого хода дополнительной обмотки дроссель-трансформатора с коэффициентом трансформации 15 должна быть не более 0,9 А при напряжении 11О В переменного тока частоты 50 Гц.
Сила тока холостого хода дополнительной обмотки дроссель-трансформатора с коэффициентом трансформации 3 должна быть не более 2,7 А при напряжении 12 В переменного тока частоты 50 Гц.
При протекании постоянного тока силой 500 А в течение 2 ч через каждую секцию основной обмотки с выходом суммарной силы тока 1000 А через средний вывод температура масла не должна превышать температуру окружающего воздуха (25±10)°С более чем на 75°С.
Коэффициенты четырехполюсника дроссель-трансформатора по модулю и аргументу при установке его на релейном конце рельсовой цепи при отсутствии подмагничивания имеют следующие значения и являются справочными величинами, необходимыми для расчета рельсовой цепи:
|
|
Примечание: п — коэффициент трансформации исполнения дроссель-трансформатора.
Дополнительная обмотка дроссель-трансформатора выполняется в виде плоской катушки без каркаса. Выводные концы дополнительной обмотки дроссель-трансформатора с коэффициентами трансформации 15 и 3 выполняются тем же обмоточным проводом и защищены дополнительно электроизоляционной трубкой. При выпуске дроссель-трансформатора с коэффициентом трансформации 38 дополнительная обмотка имеет два выходных конца, выполненных проводом сечением 0,75 мм2.
Комплект поставки, сопротивление изоляции, условия эксплуатации те же, что и у ранее описанного дроссель-трансформатора ДТ-0,2-500 выпуска с 1995 г.
Габаритные размеры приведены на рис. 258. Масса 200±3 кг.
7. Дроссель-трансформатор типа ДТ-0,6-1000 выпуска с 1995 г.
Назначение. Дроссель-трансформатор ДТ-0,6-1000 предназначен для установки на участках железных дорог, оборудованных автоблокировкой на переменном токе и электротягой на постоянном токе, а также для установки на участках железных дорог, оборудованных автоблокировкой на переменном токе, для стыкования двух систем электрической тяги (с коэффициентом трансформации 3).
Некоторые конструктивные особенности. Габаритный чертеж дроссель-трансформатора ДТ-0,6-1000 приведен на рис. 260. Дроссель-трансформатор рассчитан на пропускание номинального значения постоянного тока силой 1000 А в электротяге через каждую секцию основной обмотки. Средний вывод обмотки рассчитан на силу тока 2000 А. Дроссель-трансформатор изготавливается следующих исполнений в соответствии с табл. 236.
Таблица 236 Виды исполнений дроссель-трансформатора ДТ-0,6-1000
|
Тип изделия |
Номер чертежа |
Коэффициент трансформации |
Марка провода дополнительной обмотки |
|
ДТ-0,6-1000 |
ЮКЛЯ 672113.008 |
38 |
ПЭБО Ø 0,69 мм |
|
ДТ-0,6-1000 |
ЮКЛЯ 672113.008-01 |
15 |
ПЭБО Ø 1 мм |
|
ДТ-0,6-1000 |
ЮКЛЯ 672113.008-02 |
3 |
ПЭБО Ø 1,9 мм |
Электрическая схема обмотки дроссель-трансформатора ДТ-0,6-1000 приведена на рис. 259. Основная обмотка состоит из двух секций, соединенных между собой.
Дополнительная обмотка в зависимости от варианта исполнения дроссель-трансформатора имеет:
—при коэффициенте трансформации 38—610 витков (рис. 259,
с);
—при коэффициенте трансформации 15—240 витков (рис. 259,
б);
—при коэффициенте трансформации 3—48 витков (рис. 259, в).

При заказе необходимо указать не только тип дроссель-трансформатора, но и коэффициент трансформации. Если в заявочной спецификации будет отсутствовать указание о коэффициенте трансформации, то завод-изготовитель поставит дроссель-трансформатор с коэффициентом трансформации 15.
По способу защиты человека от поражения электрическим током дроссель-трансформатор относится к классу О ГОСТ 12.2.007.0-75.
Электрические характеристики. Сопротивление основной обмотки постоянному току между выводами А1—А2 должно быть (1,1+0,11) мОм при температуре +20°С.
Полное сопротивление дроссель-трансформатора переменному току частоты 50 Гц при напряжении на его основной обмотке 1 В между выводами А1—А2 и при отсутствии подмагничивания постоянным током должно быть не менее 0,58 Ом и не более 0,64 Ом при зазоре между сердечником и ярмом 1—3 мм.
Полное сопротивление
дроссель-трансформатора при разности токов (асимметрии тока), протекающих в
секциях основной обмотки силой 320 А и при напряжении
1 В переменного тока частоты 50 Гц, на основной обмотке между выводами А1—А2
должно быть не менее 0,52 Ом. Полное сопротивление не должно отклоняться
более чем на ±8% от фактического сопротивления, измеренного при отсутствии
подмагничивания.
Дополнительная обмотка
дроссель-трансформатора с коэффициентом трансформации 38, подключенная
выводами Б1—Б2 к напряжению 110 В переменного
тока частоты 50 Гц, должна обеспечивать в основной обмотке на выводах А1—А2 напряжение
в пределах от 2,6 до 2,9 В.
Дополнительная обмотка
дроссель-трансформатора с коэффициентом трансформации 15, подключенная
выводами Б1—Б2 к напряжению 11О В переменного тока частоты 50 Гц, должна обеспечивать в
основной обмотке на выводах А1—А2 напряжение не менее (6,5±0,65) В.
Дополнительная обмотка
дроссель-трансформатора с коэффициентом трансформации 3, подключенная выводами
Б1—Б2 к напряжению 12 В переменного тока
частоты 50 Гц, должна обеспечивать в основной обмотке на выводах А1—А2 напряжение
не менее (4±0,2) В.
Сила тока холостого хода дополнительной
обмотки дроссель-трансформатора с коэффициентом трансформации 38 должна быть
не более 0,2 А при напряжении 110 В переменного тока
частоты 50 Гц и не более 0,35 А при напряжении 110 В переменного тока частоты
25 Гц.
Сила тока холостого хода дополнительной
обмотки дроссель-трансформатора с коэффициентом трансформации 15 должна быть не
более 0,9 А при напряжении ПО В переменного тока частоты
50 Гц.
Сила тока холостого хода дополнительной
обмотки дроссель-трансформатора с коэффициентом трансформации 3 должна быть не
более 2,7 А при напряжении 12 В переменного тока частоты
50 Гц.
При протекании постоянного тока силой 1000 А в течение 2 ч через каждую секцию основной обмотки с
выходом суммарной силы тока 2000 А через средний вывод температура масла не
должна превышать температуру окружающего воздуха (25±10)°С более чем на 75°С.
Коэффициенты четырехполюсника дроссель-трансформатора ДТ-0,6-1000 по модулю и аргументу
при установке его на релейном конце рельсовой цепи при отсутствии
подмагничивания имеют те же величины, что и у ранее описанного ДТ-0,6-500, и
являются справочными величинами, необходимыми для расчета рельсовой цепи.
Дополнительная обмотка дроссель-трансформатора
выполняется в виде плоской катушки без каркаса. Выводные концы дополнительной
обмотки дроссель-трансформатора с коэффициентами трансформации
15 и 3 выполняются тем же обмоточным проводом и защищены дополнительно
электроизоляционной трубкой. При выпуске дроссель-трансформатора с
коэффициентом трансформации 38 дополнительная обмотка имеет два выходных конца,
выполненных проводом сечением 0,75 мм2.
Комплект поставки, сопротивление изоляции,
условия эксплуатации те
же, что и у ранее описанного дроссель-трансформатора
ДТ-0,2-500 выпуска с 1995 г.
Габаритные размеры приведены на рис. 260.
Масса 235±3 кг.
8. Дроссель-трансформатор типа ДТ-0,2-1500
выпуска с 1995 г.
Назначение. Дроссель-трансформатор типа ДТ-0,2-1500
предназначен для установки на участках железных дорог, оборудованных автоблокировкой
на переменном токе и электротягой на постоянном токе при увеличенных значениях
силы тока асимметрии и тяговых токов в условиях обращения грузовых поездов
повышенного веса и длины, более мощных локомотивов, в том числе на участках с
горным профилем, скоростных и высокоскоростных магистралях.
Некоторые конструктивные особенности. Габаритный чертеж дроссель-трансформатора
ДТ-0,2-1500 приведен на рис. 261. Дроссель-трансформатор рассчитан на
пропускание номинального значения постоянного тока силой 1500 А в электротяге через каждую секцию обмотки. Средний вывод
обмотки рассчитан на силу тока 3000 А. Дроссель-трансформатор
изготавливается следующих исполнений в соответствии с табл. 237.
Таблица
237 Виды исполнений дроссель-трансформаторов ДТ-0,2-1500
|
Тип изделия |
Номер чертежа |
Коэффициент трансформации |
Марка провода дополнительной обмотки |
|
ДТ-0,2-1500 |
ЮКЛЯ 672113.009 |
40 |
ПЭБО Ø 0,69 мм |
|
ДТ-0,2-1500 |
ЮКЛЯ 672113.009-01 |
23 |
ПЭБО Ø 1 мм |
|
ДТ-0,2-1500 |
ЮКЛЯ 672113.009-02 |
17 |
ПЭБО Ø 1 мм |
Электрическая схема обмотки дроссель-трансформатора ДТ-0,2-1500 приведена на рис. 255.
Основная обмотка состоит
из двух секций, соединенных между собой.
|
|
Дополнительная обмотка в зависимости от варианта исполнения дроссель-трансформатора имеет:
—при коэффициенте трансформации 40—560 витков (рис. 255, а);
—при коэффициенте трансформации
23—322 витка (рис. 255, б);
—при коэффициенте трансформации 17—238 витков (рис. 255, в).
При заказе необходимо указать не только тип дроссель-трансформатора, но и коэффициент трансформации. Если в заявочной спецификации будет отсутствовать указание о коэффициенте трансформации, то завод-изготовитель поставит дроссель-трансформатор с коэффициентом трансформации 17.
По способу защиты человека от поражения электрическим током дроссель-трансформатор относится к классу О ГОСТ 12.2.007.0-75.
Электрические характеристики. Сопротивление основной обмотки постоянному току между выводами А1—А2 должно быть (0,5±0,05) мОм при температуре +20°С.
Полное сопротивление дроссель-трансформатора переменному току частоты 50 Гц при напряжении на его основной обмотке 0,5 В между выводами А1—А2 и при отсутствии подмагничивания постоянным током должно быть не менее 0,2 Ом и не более 0,22 Ом при зазоре между сердечником и ярмом от 2 до 4 мм.
Полное сопротивление дроссель-трансформатора при разности токов (асимметрии тока), протекающих в секциях основной обмотки силой 400 А и при напряжении 0,5 В переменного тока частоты 50 Гц, на основной обмотке между выводами А1—А2 должно быть не менее 0,18 Ом. Полное сопротивление не должно отклоняться более чем на ±8% от фактического сопротивления, измеренного при отсутствии подмагничивания.
Дополнительная обмотка дроссель-трансформатора с коэффициентом трансформации 40, подключенная выводами 1—2 (см. рис. 255, а) к напряжению ПО В переменного тока частоты 50 Гц, должна обеспечивать в основной обмотке на выводах А1—А2 напряжение (2,7±0,3) В.
Дополнительная обмотка дроссель-трансформатора с коэффициентом трансформации 23, подключенная выводами 3—5 (см. рис. 255, б) к напряжению ПО В переменного тока частоты 50 Гц, должна обеспечивать в основной обмотке на выводах А1—А2 напряжение (4,8±0,5) В.
Дополнительная обмотка дроссель-трансформатора с коэффициентом трансформации 17, подключенная выводами 2—4 (см. рис. 255, в) к напряжению 110 В переменного тока частоты 50 Гц, должна обеспечивать в основной обмотке на выводах А1—А2 напряжение (6,5±0,5) В.
При протекании постоянного тока силой 1500 А в течение 1,5 ч через каждую секцию основной обмотки с выходом суммарной силы тока 3000 А через средний вывод температура масла не должна превышать температуру окружающего воздуха (25±10)°С более чем на 75°С.
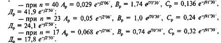
Коэффициенты четырехполюсника дроссель-трансформатора по модулю и аргументу при установке его на релейном конце рельсовой цепи при отсутствии подмагничивания имеют следующие значения и являются справочными величинами, необходимыми для расчета рельсовой цепи :
|
|
Примечание: п — коэффициент трансформации исполнения дроссель-трансформатора.
Дополнительная обмотка дроссель-трансформатора выполняется в виде плоской катушки без каркаса. Выводные концы дополнительной обмотки дроссель-трансформатора с коэффициентами трансформации 23 и 17 выполняются тем же обмоточным проводом и защищены дополнительно электроизоляционной трубкой. При выпуске дроссель-трансформатора с коэффициентом трансформации 40 дополнительная обмотка имеет два выводных конца, выполненных проводом сечением 0,75 мм2.
Комплект поставки, сопротивление изоляции, условия эксплуатации те же, что и у ранее описанного дроссель-трансформатора ДТ-0,2-500 выпуска с 1995 г.
Габаритные размеры приведены на рис. 261. Масса 220 ± 3 кг.
9. Дроссель-трансформатор типа ДТ-0,4-1500 выпуска с 1995 г.
Назначение. Дроссель - трансформатор ДТ-0,4-1500 предназначен для установки на участках железных дорог, оборудованных автоблокировкой на переменном токе и электротягой на постоянном токе при увеличенных значениях силы тока асимметрии и тяговых токов в условиях обращения грузовых поездов повышенного веса и длины, более мощных локомотивов, в том числе на участках с горным профилем, скоростных и высокоскоростных магистралях.
Некоторые конструктивные особенности. Габаритный чертеж дроссель-трансформатора ДТ-0,4-1500 приведен на рис. 262. Дроссель-трансформатор рассчитан на пропускание номинального значения постоянного тока силой 1500 А в электротяге через каждую секцию основной обмотки. Средний вывод обмотки рассчитан на силу тока 3000 А. Дроссель-трансформатор изготавливается следующих исполнений в соответствии с табл. 238.
Таблица 238
Виды
исполнений дроссель-трансформатора ДТ-0,4-1500
|
Тип изделия |
Номер чертежа |
Коэффициент трансформации |
Марка провода дополнительной обмотки |
|
ДТ-0,4-1500 |
ЮКЛЯ 672113.010 |
38 |
ПЭБО Ø 0,69 мм |
|
ДТ-0,4-1500 |
ЮКЛЯ 672113.010-01 |
15 |
ПЭБО Ø 1 мм |
Электрические схемы обмотки дроссель-трансформаторов ДТ-0,4-1500 приведены на рис. 263.
Основная обмотка состоит из двух секций, соединенных между собой.
|
|
Дополнительная обмотка в зависимости от варианта исполнения дроссель-трансформатора имеет:
—при коэффициенте трансформации 38—532 витка (рис. 263, а);
—при коэффициенте трансформации 15—210 витков (рис. 263, б).
При заказе необходимо указать не только тип дроссель-трансформатора, но и коэффициент трансформации. Если в заявочной спецификации будет отсутствовать указание о коэффициенте трансформации, то завод-изготовитель поставит дроссель-трансформатор с коэффициентом трансформации 15.
По способу защиты человека от поражения электрическим током дроссель-трансформатор относится к классу О ГОСТ 12.2.007-0-75.
Электрические характеристики. Сопротивление основной обмотки постоянному току между выводами А1—А2 должно быть (0,8+0,08) мОм при температуре +20°С.
Полное сопротивление дроссель-трансформатора переменному току частоты 50 Гц при напряжении на его основной обмотке 1 В между выводами А1—А2 и при отсутствии подмагничивания постоянным током должно быть не менее 0,38 Ом и не более 0,43 Ом при '. зазоре между сердечником и ярмом от 2 до 4 мм.
Полное сопротивление дроссель-трансформатора при разности токов (асимметрии тока), протекающих в секциях основной обмотки силой 400 А и при напряжении 1 В переменного тока частоты 50 Гц, на основной обмотке между выводами А1—А2 должно быть не менее 0,35 Ом. Полное сопротивление не должно отклоняться более чем на ±8% от фактического сопротивления, измеренного при отсутствии подмагничивания.
Дополнительная обмотка дроссель-трансформатора с коэффициентом трансформации 38, подключенная выводами Б1—Б2 (см. рис. 263, а) к напряжению 110 В переменного тока частоты 50 Гц, должна обеспечивать в основной обмотке на выводах А1—А2 напряжение (2,9±0,3) В.
Дополнительная обмотка дроссель-трансформатора с коэффициентом трансформации 15, подключенная выводами Б1—Б2 (см. рис. 263, 6) к напряжению 110 В переменного тока частоты 50 Гц, должна обеспечивать в основной обмотке на выводах А1—А2 напряжение не менее (7,3±0,5) В.
При протекании постоянного тока силой 1500 А в течение 1,5 ч через каждую секцию основной обмотки с выходом суммарной силы тока 3000 А через средний вывод температура масла не должна превышать температуру окружающего воздуха (25±10)°С более чем на 75°С.
Коэффициенты четырехполюсника дроссель-трансформатора по модулю и аргументу при установке его на релейном конце рельсовой цепи при отсутствии подмагничивания имеют следующие значения и являются справочными величинами, необходимыми для расчета рельсовой цепи:
|
|
Примечание: п — коэффициент трансформации исполнения дроссель-трансформатора.
Дополнительная обмотка дроссель-трансформатора выполняется в виде плоской катушки без каркаса. Выводные концы дополнительной обмотки дроссель-трансформатора с коэффициентами трансформации 15 выполняются тем же обмоточным проводом и защищены дополнительно электроизоляционной трубкой. При выпуске дроссель-трансформатора с коэффициентом трансформации 38 дополнительная обмотка имеет два выводных конца, выполненных проводом сечением 0,75 мм2.
Комплект поставки, сопротивление изоляции, условия эксплуатации те же, что и у ранее описанного дроссель-трансформатора ДТ-0,2-500 выпуска с 1995 г.
Габаритные размеры приведены на рис. 262. Масса 350 ± 3 кг.
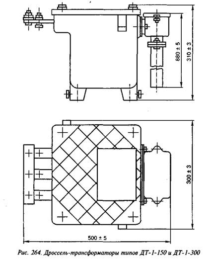
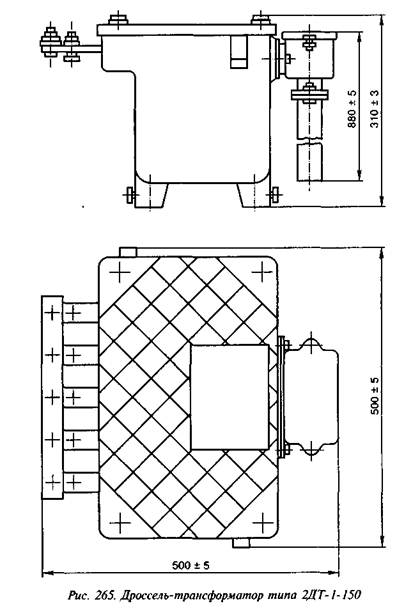
10. Дроссель-трансформаторы типов ДТ-1-150 и 2ДТ-1-150 выпуска с 1995 г.
Назначение. Дроссель-трансформатор ДТ-1-150 (черт. ЮКЛЯ 672.113.003) и сдвоенный дроссель-трансформатор 2 ДТ-1-150 (черт. ЮКЛЯ 672.113.004) предназначены для установки на участках железных дорог, оборудованных автоблокировкой с частотой сигнального тока в рельсовой цепи 25 или 75 Гц и электротягой на переменном токе с частотой 50 Гц.
Некоторые конструктивные особенности. Габаритные чертежи дроссель-трансформаторов ДТ-1-150 и 2 ДТ-1-150 приведены на рис. 264 и 265.
Дроссель-трансформатор типа 2 ДТ-1-150 состоит из двух дроссель-трансформаторов типа ДТ-1-150, заключенных в один корпус. Каждый из двух дроссель-трансформаторов имеет сердечник, основную обмотку, состоящую из двух секций, соединенных между собой, и дополнительную обмотку. Дополнительная обмотка у обоих дроссель-трансформаторов выполняется из провода марки ПЭБО диаметром 1,9 мм.
Коэффициент трансформации у дроссель-трансформаторов равен 3.
Дроссель-трансформаторы рассчитаны на пропускание номинального значения переменного тока силой 150 А в электротяге через каждую секцию основной обмотки. Средний вывод обмотки рассчитан на силу тока 300 А.

Электрические схемы обмоток дроссель-трансформаторов ДТ-1-150 и 2 ДТ-1-150 представлены на рис. 266 и 267.
По способу защиты человека от поражения электрическим током дроссель-трансформатор относится к классу О ГОСТ 12.2.007.0-75.
Электрические характеристики. Сопротивление основной обмотки постоянному току между выводами А1—А2 должно быть не более (0,0035+0,00035) Ом при температуре +20°С.
Полное сопротивление дроссель-трансформатора переменному току частоты 75 Гц при напряжении на его основной обмотке 0,5 В при отсутствии подмагничивания не должно быть менее 1,5 Ом
Полное сопротивление дроссель-трансформатора переменному току частоты 25 Гц при напряжении на его основной обмотке 0,3 В и при отсутствии подмагничивания не должно быть менее 0,5 Ом.
Полное сопротивление дроссель-трансформатора переменному току частоты 50 Гц при напряжении на основной обмотке 0,5 В и при отсутствии подмагничивания не должно быть менее 1 Ом.
Полное сопротивление дроссель-трансформатора переменному току частоты 75 Гц при напряжении на основной обмотке 10 В и наличии подмагничивания переменным током частоты 50 Гц силой тока 3 А (по всей обмотке) не должно быть менее 2 Ом.
Полное сопротивление дроссель-трансформатора переменному току частоты 25 Гц при напряжении на основной обмотке 4 В и наличии подмагничивания переменным током частоты 50 Гц силой тока 4 А (по всей обмотке) не должно быть менее 0,7 Ом.
|
|
|
|
Коэффициенты четырехполюсника дроссель-трансформатора по модулю и аргументу при установке его на релейном конце рельсовой цепи, частоте сигнального тока 75 Гц, напряжении на основной обмотке 0,5 В, при отсутствии подмагничивания имеют следующие значения и являются справочными величинами, необходимыми для расчета рельсовой цепи:
|
|
Коэффициенты четырехполюсника дроссель-трансформатора по модулю и аргументу при установке его на релейном конце рельсовой цепи, частоте сигнального тока 25 Гц, напряжении на основной обмотке 0,3 В при отсутствии подмагничивания имеют следующие значения и являются справочными величинами, необходимыми для расчета рельсовой цепи:
|
|
Напряжение 30 В переменного тока частоты 50 Гц, приложенное к дополнительной обмотке на выводы Б1—Б2, должно обеспечивать в основной обмотке на выводах А1—А2 напряжение (10^) В.
При протекании переменного тока частоты 50 Гц силой 150 А в течение 2 ч через каждую секцию основной обмотки с выходом суммарной силы тока 300 А через средний вывод температура основной обмотки не должна превышать температуру окружающего воздуха (25±10)°С более чем на 75°С, а температура масла не должна превышать температуру окружающего воздуха (25±10)°С более чем на 60°С.
Дополнительная обмотка дроссель-трансформаторов выполняется в виде плоской катушки с каркасом. Выводные концы дополнительной обмотки выполняются тем же обмоточным проводом и защищены дополнительно электроизоляционной трубкой.
Комплект поставки, сопротивление изоляции, условия эксплуатации те же, что и у ранее описанного дроссель-трансформатора ДТ-0,2-500 выпуска с 1995 г.
Габаритные размеры приведены на рис. 264 и 265. Масса ДТ-1-150 - 51±0,3 кг; 2ДТ-1-150 - 88±0,3 кг.
11. Дроссель-трансформаторы типов ДТ-1-300 и 2 ДТ-1-300 выпуска с 1995 г.
Назначение. Дроссель-трансформатор ДТ-1-300 (черт. ЮКЛЯ 672.113.005) и сдвоенный дроссель-трансформатор 2 ДТ-1-300 (черт. ЮКЛЯ 672.113.006) предназначены для установки на участках железных дорог, оборудованных автоблокировкой с частотой сигнального тока в рельсовой цепи 25 или 75 Гц и электротягой на переменном токе с частотой 50 Гц.
Некоторые конструктивные особенности. Габаритные чертежи дроссель-трансформаторов ДТ-1-300 и 2 ДТ-1-300 приведены на рис. 264 и 268.
Дроссель-трансформатор типа 2 ДТ-1-300 состоит из двух дроссель-трансформаторов типа ДТ-1-300, заключенных в один корпус.Каждый из двух дроссель-трансформаторов имеет сердечник, основную обмотку, состоящую из двух секций, соединенных между собой, и дополнительную обмотку. Дополнительная обмотка у обоих дроссель-трансформаторов выполняется из провода марки ПЭБО диаметром 1,9 мм.
Коэффициент трансформации у дроссель-трансформаторов равен 3.
Дроссель-трансформаторы рассчитаны на пропускание номинального значения переменного тока силой 300 А в электротяге через каждую секцию основной обмотки. Средний вывод обмотки рассчитан на силу тока 600 А.
Электрические схемы обмоток дроссель-трансформаторов ДТ-1-300 и 2 ДТ-1-300 представлены на рис. 269 и 270.
По способу защиты человека от поражения электрическим током дроссель-трансформатор относится к классу О ГОСТ 12.2.007-0-75.
Электрические характеристики. Сопротивление основной обмотки постоянному току между выводами А1—А2 должно быть (1,6±0,16) мОм при температуре +20°С.
|
|

Полное сопротивление дроссель-трансформатора переменному току частоты 75 Гц при напряжении на его основной обмотке 0,5 В при отсутствии подмагничивания не должно быть менее 1,5 Ом.
Полное сопротивление дроссель-трансформатора переменному току частоты 25 Гц при напряжении на его основной обмотке 0,3 В и при отсутствии подмагничивания не должно быть менее 0,5 Ом.
Полное сопротивление дроссель-трансформатора переменному току частоты 50 Гц при напряжении на основной обмотке 0,5 В и при отсутствии подмагничивания не должно быть менее 1 Ом.
Полное сопротивление дроссель-трансформатора переменному току частоты 75 Гц при напряжении на основной обмотке 10 В и наличии подмагничивания переменным током частоты 50 Гц силой тока 3 А (по всей обмотке) не должно быть менее 2 Ом.
Полное сопротивление дроссель-трансформатора переменному току частоты 25 Гц при напряжении на основной обмотке 4 В и наличии подмагничивания переменным током частоты 50 Гц силой тока 4 А (по всей обмотке) не должно быть менее 0,7 Ом.
Коэффициенты четырехполюсника дроссель-трансформатора по модулю и аргументу при установке его на релейном конце рельсовой цепи, частоте сигнального тока 75 Гц, напряжении на основной обмотке 0,5 В, при отсутствии подмагничивания имеют следующие значения и являются справочными величинами, необходимыми для расчета рельсовой цепи:

Коэффициенты четырехполюсника дроссель-трансформатора по модулю и аргументу при установке его на релейном конце рельсовой цепи, частоте сигнального тока 25 Гц, напряжении на основной обмотке 0,3 В, при отсутствии подмагничивания имеют следующие значения и являются справочными величинами, необходимыми для расчета рельсовой цепи:

напряжение 30 В переменного тока частоты 30 Гц, приложенное к дополнительной обмотке на выводы Б1—Б2, должно обеспечивать в основной обмотке на выводах А1—А2 напряжение (101^) В.
При протекании переменного тока частоты 50 Гц силой 300 А в течение 2 ч через каждую секцию основной обмотки с выходом суммарной силы тока 600 А через средний вывод температура масла не должна превышать температуру окружающей среды (25±10)°С более чем на 75°С.
Дополнительная обмотка дроссель-трансформаторов выполняется в виде плоской катушки с каркасом. Выводные концы дополнительной обмотки выполняются тем же обмоточным проводом и защищены дополнительно электроизоляционной трубкой.
Комплект поставки, сопротивление изоляции, условия эксплуатации
те же, что и у ранее описанного дроссель-трансформатора ДТ-0,2-500 выпуска с 1995 г.
Габаритные размеры
приведены на рис.
264 и
268. Масса ДТ-1-300 - 51±0,3 кг; 2ДТ-1-300 - 100±0,8 кг
12. Дроссель-трансформатор типа ДТМ-0.17-1000М выпуска с 1995 г.
Назначение. Дроссель-трансформаторы ДТМ-0,17-1000М предназначены для установки на железных дорогах метрополитенов, оборудованных автоблокировкой на переменном токе и электрической тягой на постоянном токе, в условиях тоннелей и открытых выходов.
Некоторые конструктивные особенности. Дроссель-трансформаторы ДТМ-0Д7-1000М изготавливаются в двух исполнениях: ДТМ-0Д7-1000М (черт. ЮКЛЯ 672113.011) - для тоннелей метрополитенов (рис. 271) и ДТМ-0,17-1000М (черт. ЮКЛЯ 672113.011-01) — для открытых выходов метрополитенов (рис. 272) и отличаются между собой узлом подсоединения кабельной муфты к корпусу дроссель-трансформатора.
Схема соединения основной и дополнительной обмоток ДТМ-0,17-1000М приведена на рис. 273.
Дроссель-трансформатор рассчитан на пропускание номинального значения постоянного тока силой 1000 А в электротяге через каждую секцию основной обмотки. Средний вывод основной обмотки рассчитан на силу тока 2000 А. Коэффициент трансформации дроссель-трансформатора равен 40. Дополнительная обмотка дроссель-трансформатора имеет 400 витков из провода марки ПЭБО диаметром 1 мм; основная обмотка имеет 10 витков (вместо 14 витков у ранее выпускавшихся дроссель-трансформаторов ДТМ-0,17-1000).
Сопротивление основной обмотки постоянному току между выводами А1—А2 должно быть (0,45±0,045) мОм при температуре +20°С.
Полное сопротивление дроссель-трансформатора переменному току частоты 50 Гц при напряжении на его основной обмотке 0,5 В между выводами А1—А2 и при отсутствии подмагничивания постоянным током должно быть не менее 0,165 Ом и не более 0,175 Ом при зазоре между сердечником и ярмом (2,7±0,5) мм.
|
|
Полное сопротивление дроссель-трансформатора при разности токов (асимметрии тока), протекающих в секциях основной обмотки силой 600 А и при напряжении 0,5 В переменного тока частоты 50 Гц, на основной обмотке между выводами А1—А2 должно быть не менее 0,1485 Ом.

Полное сопротивление не должно отклоняться более чем на —10% от фактического сопротивления, измеренного при отсутствии подмагничивания.
Дополнительная обмотка дроссель-трансформатора, подключенная выводами Б1—Б2 к напряжению 220 В переменного тока частоты 50 Гц, должна обеспечивать в основной обмотке на выводах А1— А2 напряжение не менее 5 В.
При протекании постоянного тока силой 1000 А в течение 1,5 ч через каждую секцию основной обмотки с выходом суммарной силы тока 2000 А через средний вывод температура масла не должна превышать температуру окружающего воздуха (25±10)°С более чем на 75°С.
Коэффициенты четырехполюсника дроссель-трансформатора по модулю и аргументу при установке его на релейном конце рельсовой цепи при отсутствии подмагничивания имеют следующие значения и являются справочными величинами, необходимыми для расчета рельсовой цепи:
![]()
Дополнительная обмотка дроссель-трансформатора изготавливается в виде плоской катушки без каркаса, обмотанной двойным слоем киперной ленты. Выводные концы выполняются гибким проводом сечением не менее 0,75 мм2 в маслоустойчивой изоляции.
Средний срок службы дроссель-трансформатора не менее 30 лет. Каждый дроссель-трансформатор имеет маркировку, содержащую товарный знак завода-изготовителя, тип изделия, схему обмоток, заводской порядковый номер данного экземпляра изделия, год выпуска.
Изоляция обмоток относительно корпуса и между собой должна выдерживать без повреждений в течение 1 мин испытательное напряжение 2500 В переменного тока частоты 50 Гц.
Сопротивление
изоляции электрических
цепей дроссель-трансформатора в нормальных климатических условиях должно быть не менее: 25 МОм — между основной и
дополнительной обмотками, между
дополнительной обмоткой и корпусом; 5 МОм — между основной обмоткой и корпусом;
10 кОм — между корпусом дроссель-трансформатора и его кабельной муфтой.
Сопротивление изоляции электрических цепей
дроссель-трансформатора в условиях воздействия верхнего значения относительной
влажности 95±3% и температуре +30°С должно быть не
менее: 2 МОм — между основной и дополнительной обмотками, между дополнительной
обмоткой и корпусом; 0,5 МОм — между основной обмоткой и корпусом.
Дроссельные перемычки (соединители
электрические СДТ и СШД) в комплект поставки дроссель-трансформаторов
ДТМ-0Д7-1000М не входят и заказываются отдельно.
Условия эксплуатации. Дроссель-трансформатор ДТМ-0,17-1000М
предназначен для работы при температуре окружающего воздуха от -50 до +45°С.
Габаритные размеры приведены на рис. 271 и 272. Масса 262±3 кг.