![]() |
Раздел IX ДРОССЕЛЬ-ТРАНСФОРМАТОРЫ
1. Дроссель-трансформаторы типов ДТ-0,2-500, ДТ-0,6-500, ДТ-0,2-1000 и ДТ-0,6-1000 выпуска до 1995 г.
Назначение. Дроссель-трансформаторы типов ДТ-0,2 и ДТ-0,6 применяются для
установки на участках железных дорог, оборудованных автоблокировкой на
переменном токе при электрической тяге на постоянном токе.
Дроссель-трансформаторы типов ДТ-0,2-500 (черт. 20806.00.00) и ДТ-0,6-500 (черт.
20811.00.00) рассчитаны на пропускание номинального (длительного) тягового
тока через каждую секцию основной обмотки 500 А. Средний вывод обмотки
рассчитан на 1000 А.
Дроссель-трансформаторы типов ДТ-0,2-1000 (черт. 20807.00.00) и ДТ-0,6-1000 (черт.
20812.00.00) рассчитаны на пропускание номинального (длительного) тягового
тока через каждую секцию основной обмотки 1000 А. Средний вывод обмотки
рассчитан на 2000 А.
Некоторые
конструктивные особенности. Дроссель-трансформатор (рис. 240) состоит из сердечника 5 и
ярма 4, собранных из листовой электротехнической стали, основной 3 и
дополнительной 6 обмоток. Сердечник с обмотками помещен в чугунный
корпус 7 и закрыт крышкой 2, на которой имеется вентиляционная пробка и
уплотнитель из резины.
В задней части
корпуса расположена муфта 7 для разделки кабеля, подводимого к дроссель-трансформатору.
Для охлаждения основной и дополнительной обмоток в корпус дроссель-трансформатора
перед установкой в эксплуатацию заливают трансформаторное масло до уровня
контрольного отверстия на корпусе.
В нижней и
верхней частях стенки корпуса дроссель-трансформатора
имеются отвинчивающиеся снаружи пробки для контроля уровня и спуска
трансформаторного масла.
В комплект
поставки дроссель-трансформатора входит также
предохранительная труба для защиты кабеля. Дроссель-трансформаторы поставляют
заказчику не залитые маслом.
При установке дроссель-трансформаторов ДТ-0,2-500 и ДТ-0,6-500 на перегонах и станциях применяются медные перемычки, типы которых приведены в табл. 229, или их сталемедные и ста-леалюминиевые аналоги.
Для соединения средней точки дросселя при переходе с двухниточной рельсовой цепи на однониточную применяются медные перемычки дроссельные четырехпроводные типов XVI (черт. 20800.27.00) и XVII (черт. 20800.31.00) или их сталемедные и сталеалюминиевые аналоги.
При установке дроссель-трансформаторов ДТ-0,2-1000 и ДТ-0,6-1000 на перегонах и станциях применяются медные перемычки, типы которых приведены в табл. 230, или их сталемедные и сталеалюминиевые аналоги.

Таблица 229
Типы и количество устанавливаемых перемычек на ДТ-0,2-500 и ДТ-0,6-500
|
Типы и номер чертежа медной перемычки |
Количество устанавливаемых перемычек |
|
|
на перегонах |
на станциях |
|
|
Перемычка междудроссельная четырех-проводная типа X (черт. 20800.14.00) |
Одна на два дросселя |
Одна на два дросселя |
|
Перемычка дроссельная двухпроводная типа XI (черт. 20800.14Г.00) |
Одна на 12 дросселей |
Одна на 12 дросселей |
|
Перемычка дроссельная двухпроводная типа XII (черт. 20800.15.00) |
Одна на один дроссель |
— |
|
Перемычка дроссельная двухпроводная типа XIII (черт. 20800.16.00) |
То же |
— |
|
Перемычка дроссельная двухпроводная типа XIV (черт. 20800.25.00) |
— |
Одна на один дроссель |
|
Перемычка дроссельная двухпроводная типа XV (черт. 20800.26.00) |
— |
То же |
Таблица 230
Типы и количество устанавливаемых перемычек на ДТ-0,2-1000 и ДТ-0,6-1000
|
Тип и номер чертежа медной перемычки |
Количество устанавливаемых перемычек |
|
|
на перегонах |
на станциях |
|
|
Перемычка междудроссельная четырех-проводная типа 1 (черт. 952М.14.00А) |
Одна на два дросселя |
Одна на два дросселя |
|
Перемычка дроссельная двухпроводная типа II (черт. 952М.14Г.00) |
Одна на 12 дросселей |
Одна на 12 дросселей |
|
Перемычка дроссельная двухпроводная типа III (черт. 952М. 15.00) |
Одна на один дроссель |
— |
|
Перемычка дроссельная двухпроводная типа IV (черт. 952М. 16.00) |
То же |
— |
|
Перемычка дроссельная двухпроводная типа V (черт. 952М.25.00) |
— |
Одна на один дроссель |
|
Перемычка дроссельная двухпроводная типа VI (черт. 952М.26.00) |
— |
То же |
|
|
Для соединения средней точки дросселя при переходе с двухниточной рельсовой цепи на однониточную применяются перемычки медные дроссельные четырехпроводные типов VII (черт. 952М.27.00) и VIII (черт. 952М.31.00), а также двухпроводные типов по черт. 952М.28.00, 952М.29.00 и 952М.30.00, или их сталемедные и сталеалюминиевые аналоги.
Схемы соединения основной I и дополнительной II обмоток дроссель-трансформаторов типов ДТ-0,2-500, ДТ-0,2-1000 и ДТ-0,6-500, ДТ-0,6-1000, выпускаемых с 1971 г., приведены соответственно на рис. 241, а и б. В этот период завод выпускал дроссель-трансформаторы типов ДТ-0,2-500 и ДТ-0,2-1000 с подключением выводов дополнительной обмотки 2 и 4, т. е. с коэффициентом трансформации, равным 17.
Необходимо отметить, что до 1971 г. дроссель-трансформаторы выпускались с несколько другим количеством витков и сечением медной шины основных обмоток.
Схемы
соединения обмоток с указанием витков дроссель-трансформаторов типов ДТ-0,2-500 (черт.
20800М.00.00) и ДТ-0,2-1000 (черт. 952М.00.00), выпускавшихся до 1971 г., приведены на рис.
242, а. Схемы
соединения обмоток с указанием витков дроссель-трансформаторов ДТ-0,6-500
(черт. 20810.00.00) и ДТ-0,6-1000 (черт. 1000М.00.00), выпускавшихся до 1971 г., приведены на рис. 242, б.
Основные обмотки дроссель-трансформаторов, выпускавшихся до 1971 г., имели следующие сечения медных шин: ДТ-0,2-500 (черт. 20800М.00.00) - 128 мм2; ДТ-0,6-500 (черт. 20810.00.00) - 128 мм2; ДТ-0,2-1000 (черт. 952М.00.00) - 176,8 мм2 и ДТ-0,6-1000 (черт. 1000М.00.00) - 243,1 мм2.
Другие электрические характеристики дроссель-трансформаторов, выпускавшихся до 1971 г. и выпускавшихся с 1971 г., одинаковы (табл. 231).
Таблица 23 1 Электрические характеристики
|
Характеристика |
ДТ-0,2-500 (черт. 20806.00.00) |
ДТ-0,6-500 (черт. 20811.00.00) |
ДТ-0,2-1000 (черт. 20807.00.00) |
ДТ-0,6-1000 (черт. 20812.00.00) |
|
Номинальный (длительный) тяговый ток через каждую секцию основной обмотки (по одному рельсу), А |
500 |
500 |
1000 |
1000 |
|
Полное сопротивление, Ом, основной обмотки (выводы А1—А2) переменному току частотой 50 Гц при отсутствии подмагничивания постоянным током, зазоре между сердечником и ярмом 1—3 мм и напряжении на основной обмотке: 0,5 В 1,0 В |
0,2—0,22 |
0,6-0,66 |
0,2—0,22 |
0,6-0,66 |
|
Полное сопротивление основной обмотки (выводы А1— А2) не менее, Ом, переменному току частотой 50 Гц при разности тяговых токов, протекающих в секциях основной обмотки дроссель-трансформаторов ДТ-0,2-500 и ДТ-0,6-500 — 200 А, ДТ-0,2-1000 и ДТ-0,6-1000— 240 А, и напряжении на основной обмотке: 0,5В 1,0 В |
0,18* |
0,54* |
0,18* |
0,54* |
|
Сопротивление основной обмотки (выводы А1—А2) по постоянному току при температуре +20*С, Ом |
0,0013-0,00143 |
0,0022— 0,00242 |
0,0008— 0,00088 |
0,001 — 0,0011 |
Продолжение табл. 231
Характеристика ДТ-0,2-500 (черт. 20806.00.00) ДТ-0,6-500 (черт. 20811.00.00) ДТ-0,2-1000 (черт. 20807.00.00) ДТ-0,6-1000 (черт. 20812.00.00)
Полное сопротивление дополнительной обмотки (выводы 0—4) переменному току частотой 50 Гц при напряжении 220 В и разомкнутой основной обмотке, Ом 320 320
Число витков основной обмотки 14 16 14 16
Расчетное сечение медной шины основной обмотки, мм2 100** 100** 221** 243**
Число витков дополнительной обмотки 560 240 560 240
Диаметр провода дополнительной обмотки марки ПЭЛБО или ПЭЛР, мм 1,0 1,0 1,0 1,0
* Допускается отклонение у дроссель-трансформаторов ДТ-0,2-1000 и ДТ-0,6-1000 на 15%; ДТ-0,2-500 и ДТ-0,6-500 — на 10% от фактического сопротивления, измеренного при отсутствии подмагничивания.
** Основная обмотка дроссель-трансформатора ДТ-0,2-500 (черт. 20806.00.00) и ДТ-0,6-500 (черт. 20811.00.00) выполняется из медной шины сечением 12,5x8 мм. Основная обмотка дроссель-трансформатора ДТ-0,2-1000 (черт. 20807.00.00) выполняется из медной шины сечением 2,83x8 мм в 10 слоев каждый виток, а дроссель-трансформатора ДТ-0,6-1000 (черт. 20812.00.00) — из медной шины сечением 2,83x8 мм в 11 слоев каждый виток.
Полное сопротивление дополнительной обмотки переменному току напряжением 220 В частотой 50 Гц при разомкнутой основной обмотке (отсутствии подмагничивания постоянным током) дроссель-трансформаторов типов ДТ-0,2-500 и ДТ-0,2-1000 следующее:
Выводы 0-1 0-2 0-3 0-4 1-2 1-4 2-4 3-4
Сопротивление, Ом 20 106 218 320 34 180 58 10
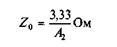
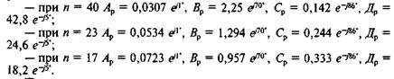
Коэффициенты четырехполюсника дроссель-трансформаторов ДТ-0,2-500 и ДТ-0,2-1000 при установке их на релейном конце рельсовой цепи и подключении дополнительной обмотки выводами 2 – 4 следующие : Ар=0,723 е^j1°28’ ; Вр=0,957 е^j70°15’; Ср=0,333 е^j86°28’; Др=18,2е^-j5°23’
Коэффициенты четырехполюсника дроссель-трансформаторов ДТ-0,6-500 и ДТ-0,6-1000 при установке их на релейном конце рельсовой цепи следующие: Ар=0,076 е ^-j0°23’ ; Вр=1,78 е^j80°09’; Ср=0,123 е^-j87°27’; Др=15,9е^-j0°54’
Дополнительная обмотка дроссель-трансформатора ДТ-0,6-500 и ДТ-0,6-1000, подключенная выводами Б1—Б2 к напряжению ПО В переменного тока частотой 50 Гц, должна индуктировать в основной обмотке на выводах А1—А2 напряжение 6,5 В±10%.
Ток холостого хода дополнительной обмотки дроссель-трансформаторов ДТ-0,6-500 и ДТ-0,6-1000 должен быть не более 0,9 А при напряжении переменного тока 110 В частотой 50 Гц.
Температура трансформаторного масла и шины не должна превышать +75°С сверх температуры окружающей среды при протекании в течение 2 ч постоянного тока:
— 1000 А — через каждую секцию основной обмотки с выходом суммарного тока 2000 А дроссель-трансформаторов ДТ-0,2-1000 и ДТ-0,6-1000;
— 500 А — через каждую секцию основной обмотки с выходом суммарного тока 1000 А дроссель-трансформаторов ДТ-0,2-500 и ДТ-0,6-500.
Дополнительная обмотка дроссель-трансформаторов ДТ-0,2-500 и ДТ-0,2-1000, подключенная выводами 0—4 к напряжению 220 В переменного тока частотой 50 Гц, должна индуктировать в основной обмотке на выводах А1—А2 напряжение 5 В+10%. При подключении дополнительной обмотки выводами 2—4 в основной обмотке должно индуктироваться напряжение (12±1) В.
Выводные концы дополнительной обмотки выполняют тем же проводом, что и обмотку, и защищают дополнительно электроизоляционной трубкой. Длина выводных концов должна быть 300 мм. Дополнительную обмотку обматывают одним слоем киперной ленты с последующей пропиткой лаком МЛ-92.
Полное сопротивление дроссель-трансформаторов при отсутствии подмагничивания постоянным током измеряется при установленном воздушном зазоре между сердечником и ярмом по схеме, приведенной на рис. 243. В схеме использованы: Б — батарея из аккумуляторов типа ТЖН-250 в количестве 24 шт.; AM — зарядный агрегат; L — дроссель-трансформатор типа ДТ-0,6-1000; ИЬ — испытуемый дроссель-трансформатор; Тп — термопара типа ТВБ-4, 10 мА, 10 мВ; G — гальванометр типа М195/2; А1 — амперметр типа 330, 300 А; А2 — амперметр типа Д570/1; 0,1—0,5 А; VI — ампервольтметр типа Ц438; A3 — амперметр типа Э-377, 5 А; А4 — амперметр типа Э-377, 2 A; mV — милливольтметр типа Ml 109; V2 — вольтметр типа Э-377, 15 В; V3 — вольтметр типа Э-377, 250 В; TV1 — автотрансформатор типа РНО-250-2; TV— трансформатор 220/30 В; С — конденсаторная батарея типа МБГО-80 мкФ; R1 — резистор 0,05 Ом, 200 A; R2 — резистор 0,03 Ом, 200 A; R3 — резистор 400 Ом, 0,2 A; R4 — резистор 65 Ом, 5 A; R5 — резистор 2 Ом, 10 А; Кн2, Кн9 — тумблеры типа 112; Кн4, Кн7 — кнопки типа 5К; SB1, SB2, SB4— переключатели; SB3 — рубильник двухполюсный на 200 A; SB5 — переключатель типа 2ПП-45; Шн — шунт 75 мВ, 300 А, типа 75ШС-0,2.

Переменный ток подрегулировывается потенциометром R4 так, чтобы напряжение на зажимах (выводах) А1—А2, устанавливаемое по вольтметру VI, было равно 0,5 В для дроссель-трансформаторов ДТ-0,2-500 и ДТ-0,2-1000 и 1 В для дроссель-трансформаторов ДТ-0,6-500 и ДТ-0,6-1000.
Значение переменного тока определяется по амперметру А2. Дополнительная обмотка при этом должна быть разомкнута.
Полное сопротивление дроссель-трансформаторов при асимметрии тягового тока, протекающего в секциях основной обмотки, проверяют по схеме, приведенной на рис. 243 при том же воздушном зазоре. Проверка производится так:
—основная обмотка дроссель-трансформатора получает
питание одновременно
переменным и постоянным током от двух источников. Ток пропускается через основную обмотку к
зажимам А1—А2;
значение постоянного тока, проходящего по всем виткам основной обмотки А1—А2, устанавливают по амперметру А1. Этот ток должен быть 100 А для дроссель-трансформаторов ДТ-0,2-500 и ДТ-0,6-500 и 120 А для дроссель-трансформаторов ДТ-0,2-1000 и ДТ-0,6-1000;
— переменный ток определяется по показанию
гальванометра G,
включенного в
схему. Тумблер Кн2 должен зашунтировать ампер
метр А2. При
таком режиме дроссель-трансформатора полное сопротивление, устанавливаемое по
данным вольтметра V, должно быть не
менее 0,18 Ом для
ДТ-0,2 и не менее 0,54 Ом для ДТ-0,6.
Сопротивление основной обмотки дроссель-трансформатора постоянному току измеряют методом вольтметра — амперметра при токе не ниже 100 А в пересчете к температуре +20°С.
Напряжение, индуктируемое в основной обмотке, проверяют следующим образом:
—к зажимам 2—4 дополнительной обмотки
дроссель-трансформаторов
ДТ-0,2 подключают напряжение переменного тока 220 В частотой 50 Гц, а на
зажимах А1—А2 основной обмотки измеряют напряжение астатическим
вольтметром, не реагирующим на форму кривой напряжения, которое должно быть
(12+1) В;
—к зажимам Б1—Б2 дополнительной обмотки
дроссель-трансформаторов ДТ-0,6
подключают напряжение переменного тока 110 В
частотой 50 Гц, а на зажимах А1—А2 основной обмотки измеряют напряжение астатическим вольтметром, не
реагирующим на форму кривой
напряжения, которое должно быть (6,5+0,65) В.
Проверку полного сопротивления дополнительной обмотки дроссель-трансформаторов ДТ-0,2 производят следующим образом: к дополнительной обмотке на соответствующие зажимы подводится напряжение переменного тока 220 В частотой 50 Гц при помощи автотрансформатора TV1; по амперметру определяют ток. Основная обмотка при этом должна быть разомкнута.
Ток холостого хода дополнительной обмотки дроссель-трансформатора ДТ-0,6 проверяют так же по схеме, изображенной на рис. 243. К дополнительной обмотке на зажимы Б1—Б2 подводят напряжение переменного тока 110 В частотой 50 Гц при помощи автотрансформатора: по амперметру A3 определяют ток. Основная обмотка при этом должна быть разомкнута.
Таким образом, вышеизложенное соответствует дроссель-трансформаторам ДТ-0,2-500, ДТ-0,2-1000, ДТ-0,6-500 и ДТ-0,6-1000, выпускавшимся с 1971 г. и позднее. Далее излагаются изменения, которые были внесены в дроссель-трансформаторы в более поздний период вплоть до 1995 г.
С июня 1986 г. в целях экономии меди дроссель-трансформаторы ДТ-0,2-500 начали выпускаться в трех вариантах исполнения: с коэффициентом трансформации 17, 23 и 40 в зависимости от заказа.
Схемы соединения основной и дополнительной обмоток дроссель-трансформаторов ДТ-0,2-500 (черт. 20806.00.00) и ДТ-0,2-1000 (черт. 20807.00.00), выпускавшихся с 1986 по 1995 г., приведены на рис. 244.
|
|
Необходимо отметить, что такая же схема соединения обмоток сохранилась у дроссель-трансформаторов ДТ-0,2-500, производство которых освоено другими заводами в 1995 г. и в более поздние годы.
У дроссель-трансформаторов ДТ-0,2-500, выпускавшихся с июня 1986 до 1995 г., характеристики стали:
—дополнительная обмотка дроссель-трансформатора с коэффициентом трансформации п =
17, подключенная выводами 2—4 к напряжению 220 В переменного тока частотой 50 Гц, должна
индуктировать в основной обмотке (на
выводах А1—А2) напряжение (12±0,5) В;
—дополнительная обмотка дроссель-трансформатора с коэффициентом
трансформации п = 40, подключенная выводами 1—2 к напряжению 220 В частотой 50 Гц,
должна индуктировать в основной обмотке (на выводах А1—А2) напряжение (5±0,5) В;
—дополнительная обмотка дроссель-трансформатора с коэффициентом трансформации п = 23,
подключенная выводами 3—5 к напряжению 220 В переменного тока частотой
50 Гц, должна индуктировать
в основной обмотке (на выводах А1—А2) напряжение не менее (9,5±0,5) В.
С июня 1984 г. сопротивление основной обмотки постоянному току у дроссель-трансформатора ДТ-0,2-1000 было изменено с 0,0008 ...0,00088 Ом на не более 0,0008 Ом.
С июня 1986 г. дроссель-трансформаторы ДТ-0,2-1000 (черт. 20807.00.00) стали выпускаться в трех вариантах исполнения:
— с коэффициентом трансформации 17
(основная обмотка — 14 витков,
дополнительная обмотка выполнена из провода марки ПЭБО диаметром 1 мм, количество витков — 238);
— с коэффициентом трансформации 40
(основная обмотка — 14 витков,
дополнительная обмотка выполнена из провода марки ПЭБО диаметром 0,69 мм, количество витков — 560);
— с коэффициентом трансформации 23 (основная обмотка — 14 витков, дополнительная обмотка выполнена из
провода марки ПЭБО диаметром 1 мм,
количество витков — 322).
Схемы основной и дополнительной обмоток дроссель-трансформаторов ДТ-0,2-1000, выпускавшихся с 1986 по 1995 г. приведены на рис. 244, а, б, в.
Дополнительная обмотка дроссель-трансформатора с коэффициентом трансформации п — 17, подключенная выводами 2—4 к напряжению ПО В переменного тока частотой 50 Гц, должна индуктировать в основной обмотке (на выводах А1—А2) напряжение (6±0,5) В.
Дополнительная обмотка дроссель-трансформатора с коэффициентом трансформации п = 40, подключенная выводами 1—2 к напряжению ПО В частотой 50 Гц, должна индуктировать в основной обмотке (на выводах А1—А2) напряжение (2+0,5) В.
Дополнительная обмотка дроссель-трансформатора с коэффициентом трансформации п = 23, подключенная выводами 3— 5 к напряжению ПО В переменного тока частотой 50 Гц, должна индуктировать в основной обмотке (на выводах А1—А2) напряжение не менее (4,8+0,5) В.
Коэффициенты четырехполюсника
дроссель-трансформатора ДТ-0,2-1000 и ДТ-0,2-500 по модулю и аргументу при установке его на релейном конце рельсовой цепи
при отсутствии подмагничивания, являющиеся справочными величинами, стали иметь следующие значения:
|
|
С 1977 по 1995 г. дроссель-трансформаторы ДТ-0,6-500 (черт. 208ПМ.00.00) выпускались в двух исполнениях:
—с
коэффициентом трансформации 15 (основная обмотка — 16 витков, дополнительная обмотка выполнена из провода ПЭБО диаметром
1 мм, количество витков — 240);
—с
коэффициентом трансформации 15 и 38 (основная обмотка — 16 витков,
дополнительная обмотка выполнена из провода ПЭЛБО
диаметром 0,69 мм, состоит из двух автономных обмоток, из которых первая имеет 240 витков, а вторая — 370
витков. Вторая автономная обмотка
секционирована и имеет отвод от 240-го витка.
|
|
Схемы соединения основной и дополнительной обмоток дроссель-трансформаторов ДТ-0,6-500, выпускавшихся с 1977 по 1995 г., приведены на рис. 245.
У дроссель-трансформаторов ДТ-0,6-500, выпускавшихся с 1977 по 1995 г., характеристиками стали:
—дополнительная обмотка такого дроссель-трансформатора ДТ-0,6-500 с коэффициентом
трансформации п = 15, подключенная выводами Б1—Б2 к напряжению ПО В переменного тока
частотой 50 Гц, должна индуктировать в основной обмотке (на выводах А1—А2) напряжение не менее (6,5+0,65) В;
—дополнительная обмотка дроссель-трансформатора по второму
варианту исполнения
с коэффициентом трансформации л=15, подключенная выводами 1—3 и 2—4 к напряжению
110 В переменного тока частотой 50 Гц, должна индуктировать в основной обмотке
(на выводах А1—А2) напряжение не менее (6,5+0,65) В;
—дополнительная обмотка такого дроссель-трансформатора с
коэффициентом трансформации п = 38, подключенная выводами 1 и 5 к напряжению НО В частотой 50
Гц, должна индуктировать в основной обмотке (на выводах А1—А2) напряжение в пределах от 2,6 до 2,9 В. При этом выводные
концы 2 и 3 должны быть соединены между собой;
—ток холостого хода дополнительной обмотки при выпуске дроссель-трансформаторов с
коэффициентом трансформации и = 15 не должен быть более 0,9 А при напряжении переменного
тока ПО В частотой 50 Гц;
—ток холостого хода дополнительной обмотки при выпуске дроссель-трансформаторов с
коэффициентом трансформации л = 38 не должен быть более 0,2 А при напряжении переменного
тока 110 В частотой 50 Гц и 0,35 А, при напряжении переменного тока 110 В частотой 25 Гц.
|
|
С 1976 по 1983 г. дроссель-трансформаторы ДТ-0,6-1000 выпускались по черт. 20812М.00.00 двух вариантов исполнения: 1) с коэффициентом трансформации п = 15 (основная обмотка — 16 витков, дополнительная обмотка — 240); 2) с коэффициентом трансформации л=15ил = 38 (основная обмотка — 16 витков и две автономные дополнительные обмотки 240 и 370 витков).
Схемы соединения обмоток дроссель-трансформаторов ДТ-0,6-1000, выпускавшихся с 1976 по 1983 г., приведены на рис. 246.
Основные параметры дроссель-трансформаторов ДТ-0,6-1000, выпускавшихся с 1976 по 1983 г.:
—сопротивление основной обмотки постоянному току между выводами А1—А2 не должно
быть более (0,001+0,0001) Ом при температуре
+20°С;
—полное сопротивление дроссель-трансформатора переменному току частотой 50 Гц при
напряжении 1 В на его основной обмотке (между выводами А1—А2) и при отсутствии
подмагничивания постоянным
током, не должно быть менее 0,6 Ом и не должно быть более 0,66 Ом при зазоре между
сердечником и ярмом от 1 до 3 мм;
—полное сопротивление дроссель-трансформатора при
разности тяговых
токов, протекающих в секциях основной обмотки в 240 А, и при напряжении 1 В переменного
тока частотой 50 Гц на основной обмотке (между выводами А1-А2) не должно
быть менее 0,54 Ом. Полное сопротивление не должно отклоняться более чем на 15%
от фактического сопротивления, полученного при отсутствии подмагничивания;
—дополнительная обмотка дроссель-трансформатора с коэффициентом трансформации п =
15, подключенная выводами Б1—Б2 к напряжению НОВ переменного тока
частотой 50 Гц, должна индуктировать в
основной обмотке (на выводах А1—А2) напряжение (6,5+0,65) В;
—дополнительная обмотка дроссель-трансформатора с коэффициентом
трансформации п = 38, подключенная выводами / и 5 к напряжению ПО В, должна
индуктировать в основной обмотке (на выводах А1—А2) напряжение от 2,6 до 2,9 В. При этом
выводные концы 2 и J должны
быть соединены между собой;
—ток холостого хода дополнительной обмотки при выпуске дроссель-трансформаторов с
коэффициентом трансформации п = 15 должен быть не более 0,9 А при напряжении переменного
тока ПО В частотой 50 Гц;
—ток холостого хода дополнительной обмотки при выпуске дроссель-трансформаторов с
коэффициентом трансформации п = 38 должен быть не более 0,2 А при напряжении переменного
тока 110 В частотой 50 Гц и 0,35 А, при напряжении переменного тока ПО В частотой 25 Гц.
С 1983 г. дроссель-трансформаторы ДТ-0,6-1000 выпускались по черт. 20812М.00.00, но с измененной схемой обмоток, двух вариантов исполнения: а) с коэффициентом трансформации п = 15 (основная обмотка — 16 витков, дополнительная обмотка — 240 витков); б) с коэффициентом трансформации и = 38 (основная обмотка — 16 витков, дополнительная обмотка — 610 витков).
Схемы соединения обмоток дроссель-трансформаторов ДТ-0,6-1000, выпускавшихся с 1983 по 1986 г. приведены на рис. 247.
Основные параметры дроссель-трансформаторов ДТ-0,6-1000, выпускавшихся с 1983 по 1986 г. аналогичны параметрам вышеописанных дроссель-трансформаторов ДТ-0,6-1000, выпускавшихся с 1976 по 1983 г. При этом следует иметь в виду, что при коэффициенте трансформации п — 38 дополнительная обмотка дроссель-трансформаторов ДТ-0,6-1000, выпускавшихся с 1976 по 1983 г. имела нумерацию выводов 1—5 при установленной перемычке между выводами 2—3, а у дроссель-трансформаторов ДТ-0,6-1000, выпускавшихся с 1983 по 1986 г., имела нумерацию выводов 1—2 (Б1—Б2).
В 1986 г. были внесены два изменения в полное сопротивление дроссель-трансформаторов ДТ-0,6-1000:
—полное сопротивление дроссель-трансформатора переменному току частотой 50 Гц при
напряжении 1 В на его основной обмотке (между выводами А1—А2) и при отсутствии
подмагничивания постоянным
током, не должно быть менее 0,58 Ом и не должно быть более 0,64 Ом при зазоре
между сердечником и ярмом от 1 до 3 мм;
—полное сопротивление дроссель-трансформатора при
разности тяговых
токов, протекающих в секциях основной обмотки в 240 А, и при напряжении 1 В
переменного тока частотой 50 Гц на основной обмотке (между выводами А1—А2) не должно быть
менее 0,52 Ом.
Полное сопротивление не должно
отклоняться более чем на 15% от фактического сопротивления, полученного при отсутствии
подмагничивания.
|
|
Были внесены также изменения в параметры сопротивления изоляции: сопротивление изоляции в нормальных климатических уcловиях должно быть не менее 25 МОм между основной и дополнитель ной обмотками и между дополнительной обмоткой и корпусом 5 МОм — между основной обмоткой и корпусом. Сопротивления изоляции электрических цепей дроссель-трансформатора в условия: воздействия верхнего значения относительной влажности 95+3% i температуре +30°С должно быть не менее 2 МОм между основной i дополнительной обмотками; 0,5 МОм — между основной обмоткой и корпусом.
Все остальные параметры и схема обмоток остались без изменений (рис. 247).
Известно, что магнитопроводы дроссель-трансформаторов изготавливались из горячекатаной стали. С октября 1987 г. наряду с горячекатаной стали применять и холоднокатаную сталь. В связи i этим дроссель-трансформаторы с магнитопроводом из горячекатаной стали начали маркировать ДТ-0,6-1000, а с магнитопроводом и холоднокатаной стали начали маркировать ДТ-0,6-1000Х. Это по влекло за собой внесение следующего изменения. Полное сопротивление дроссель-трансформатора при разности тяговых токов (асимметрии тока), протекающих в секциях основной обмотки: 240 А -для дроссель-трансформатора типа ДТ-0,6-1000; 300 А — для дроссель-трансформатора типа ДТ-0,6-1000Х
и при напряжении 1 В переменного тока частотой 50 Гц на основ ной обмотке (между выводами А1—А2) должно быть не мене 0,52 Ом. Полное сопротивление не должно отклоняться более чем н 15% от фактического сопротивления, измеренного при отсутствия подмагничивания.
Все другие параметры и схема обмоток остались без изменений (рис. 247).
С июня 1989 г. дроссель-трансформаторы с магнитопроводом из холоднокатаной стали начали выпускаться в трех исполнениях:
-
ДТ-0,6-1000Х (черт. 20812М.00.00-01) с коэффициентом трансформации п = 3;
-
ДТ-0,6-1000Х (черт. 20812М.00.00-02) с коэффициентом трансформации п = 15;
-ДТ-0,6-1000Х (черт. 20812М.00.00-03) с коэффициентом трансформации п = 38.
Схемы соединения основной и дополнительной обмоток дроссель-трансформаторов ДТ-0,6-1000Х приведены на рис. 248.
Таким образом, стал выпускаться дроссель-трансформатор ДТ-0,6-1000Х еще и с коэффициентом трансформации п = 3, электрические параметры которого стали: напряжение 12 В переменного тока частотой 50 Гц, приложенное к дополнительной обмотке дроссель-трансформатора (выводы Б1—Б2), должно индуктировать в основной обмотке (выводы А1—А2) напряжение (4±0,2) В; ток холостого хода дополнительной обмотки не должен быть более 2,7 А при напряжении переменного тока 12 В частотой 50 Гц.
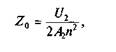
Параметры дроссель-трансформаторов ДТ-0,6-1000Х с коэффициентами трансформации п = 15 и п — 38 остались теми же, что и ранее описаны для дроссель-трансформатора ДТ-0,6-1000Х, производство которых было начато с октября 1987 г.
С апреля 1990 г. в связи с увеличением тока асимметрии до 320 А стали выпускать дроссель-трансформаторы еще в трех исполнениях:
-ДТ-0,6-1000ХМ (черт. 20812М.00.00-04) с коэффициентом трансформации и = 3;
-ДТ-0,6-1000ХМ (черт. 20812М.00.00-05) с коэффициентом трансформации п = 15;
-ДТ-0,6-1000ХМ (черт. 20812М.00.00-06) с коэффициентом трансформации п = 38.
Таким образом, с апреля 1990 г. дроссель-трансформаторы выпускались в шести исполнениях с магнитопроводами из холоднокатаной стали: ДТ-0,6-1000Х (три исполнения) и ДТ-0,6-1000ХМ (три исполнения), а производство дроссель-трансформаторов с магнитопроводами из горячекатаной стали, имевших маркировку ДТ-0,6-1000, было прекращено.
Освоение производства дроссель-трансформаторов ДТ-0,6-1000ХМ повлекло за собой внесение следующего изменения. Полное сопротивление дроссель-трансформатора при разности тяговых токов (асимметрии тока), протекающих в секциях основной обмотки: 300 А — для дроссель-трансформаторов типа ДТ-0,6-1000Х; 320 А — для дроссель-трансформаторов типа ДТ-0,6-1000ХМ и при напряжении 1 В переменного тока частотой 50 Гц на основной обмотке (между выводами А1—А2) не должно быть менее 0,52 Ом. Полное сопротивление не должно отклоняться более чем на 15% от фактического сопротивления, измеренного при отсутствии подмагничивания.
Все другие параметры и схема соединения дроссель-трансформаторов ДТ-0,6-1000ХМ (рис. 248) остались теми же, что и у ранее описанных ДТ-0,6-1000Х.
С октября 1991 г. у дроссель-трансформаторов ДТ-0,6-1000Х и ДТ-0,6-1000ХМ изменено сопротивление основной обмотки в связи с увеличением периметра основной обмотки в модернизированном дроссель-трансформаторе; уточнены напряжения, индуктированные в основной обмотке с коэффициентами трансформации п = 3, л = 15 и п = 38; уточнены токи холостого хода дополнительной обмотки при коэффициентах трансформации п = 3 и п = 15. Таким образом, с октября 1991 до 1995 г. выпускались дроссель-трансформаторы ДТ-0,6-1000Х и ДТ-0,6-1000ХМ со следующими уточненными параметрами:
—сопротивление основной обмотки постоянному току между выводами А1—А2 не должно
быть более 0,0013 Ом при температуре +20°С;
—напряжение 12 В переменного тока частотой 50 Гц, приложенное к дополнительной обмотке
дроссель-трансформатора с коэффициентом трансформации п = 3 (выводы Б1—Б2),
должно индуктировать
в основной обмотке (выводы А1—А2) напряжение (4±0,4) В;
—напряжение ПО В переменного тока частотой 50 Гц, приложенное к дополнительной обмотке
дроссель-трансформатора с коэффициентом трансформации п = 15 (выводы Б1—Б2), должно индуктировать в основной обмотке (выводы А1—А2) напряжение
(7,3+0,5) В;
|
|
—напряжение ПО В переменного тока частотой 50 Гц, приложенное к дополнительной обмотке
дроссель-трансформатора с коэффициентом
трансформации п - 38 (выводы Б1—Б2), должно ин-
дуктировать в основной обмотке (выводы А1—А2) напряжение (2,9+0,3) В;
—ток холостого хода дополнительной обмотки при выпуске дроссель-трансформаторов с
коэффициентом трансформации п = 3 не должен быть более 2,8 А при напряжении переменного
тока 12 В частотой 50 Гц;
—ток холостого хода дополнительной обмотки при выпуске дроссель-трансформаторов с
коэффициентом трансформации п = 38 должен быть не более 0,35 А при
напряжении 110 В частотой 25 Гц;
—ток холостого хода дополнительной обмотки при выпуске дроссель-трансформаторов с
коэффициентом трансформации п = 38 должен быть не более 0,35 А при
напряжении НО В частотой 25 Гц.
Параметры полного сопротивления дроссель-трансформаторов ДТ-0,6-1000Х и ДТ-0,6-1000ХМ остались без изменения:
—полное сопротивление дроссель-трансформатора переменному току частотой 50 Гц при
напряжении на его основной обмотке 1 В (между выводами А1—А2) и при отсутствии
подмагничивания постоянным
током не должно быть менее 0,58 Ом и не должно быть более 0,64 Ом при зазоре между
сердечником и ярмом 1—3 мм;
—полное сопротивление дроссель-трансформатора при
разности тяговых токов (асимметрии тока), протекающих в секциях основной обмотки: 300 А — для
дроссель-трансформатора типа ДТ-0,6-1000Х; 320 А — для дроссель-трансформатора
типа ДТ-0,6-1000ХМ и при напряжении 1 В переменного тока частотой 50 Гц на основной обмотке (между выводами А1—А2) не
должно быть менее 0,52 Ом. Полное сопротивление не должно отклоняться более чем на 15% от фактического сопротивления,
измеренного при отсутствии подмагничивания.
Схемы соединения обмоток дроссель-трансформаторов ДТ-0,6-1000Х и ДТ-0,6-1000ХМ остались прежними (рис. 248).
Электрическая прочность и сопротивление изоляции. Изоляция обмоток относительно корпуса и между собой должна выдерживать без повреждений в течение 1 мин испытательное напряжение 2500 В частотой 50 Гц при мощности испытательной установки не менее 1,25 кВА. Испытание необходимо начинать с напряжения не более 800 В. Время для полного подъема испытательного напряжения до полного значения (2500 В) должно быть не менее 10 с. Полное испытательное напряжение выдерживается в течение 1 мин, после чего плавно снижается до 800 В и отключается.
Сопротивление изоляции обмоток дроссель-трансформаторов относительно корпуса и между собой при температуре окружающего воздуха от 15 до +25°С и относительной влажности 75% должно быть не менее 25 МОм, а при относительной влажности 95+3% — не менее 2 МОм. Сопротивление изоляции измеряют мегаомметром на напряжение 500 В.
Габаритные размеры и масса дроссель-трансформаторов, а также объем заливаемого трансформаторного масла следующие:
|
|
Габаритные размеры, мм |
Масса
без масла,
кг |
Объем заливаемого масла,
л |
||
|
ДТ-0,2-500 |
600x400x380 |
|
115 |
|
18 |
|
ДТ-0,6-500 |
800x450x380 |
|
199 |
|
26 |
|
ДТ-0,2-1000 |
670x450x380 |
|
157 |
|
27 |
|
ДТ-0,6-1000 |
800x500x380 |
|
157 |
|
28 |
2. Дроссель-трансформатор типа ДТМ-0,17-1000
Назначение. Дроссель-трансформатор ДТМ-0,17-1000 (черт. 953М.00.00) предназначен для использования на линиях метрополитена, оборудованных автоблокировкой на переменном токе и электрической тягой на постоянном токе при токе асимметрии до 400 А. Рассчитан на пропускание номинального (длительного) тягового тока через каждую секцию основной обмотки 1000 А. Средний вывод обмотки рассчитан на 2000 А.
В настоящее время их производство прекращено, выпускается дроссель-трансформатор типа ДТМ-0,17-1000М.
Техническая характеристика. Схема соединения основной и дополнительной обмоток дроссель-трансформатора ДТМ-0,17-1000 приведена на рис. 249. Сопротивление основной обмотки / постоянному току между выводами А1—А2 при температуре +20°С составляет 0,00045 Ом+10%. Разница в сопротивлении полуобмоток основной обмотки дроссель-трансформатора постоянному току не должна превышать 7% при температуре +20°С. Полное сопротивление дополнительной II обмотки переменному току напряжением 220 В частотой 50 Гц при разомкнутой основной обмотке должно быть не менее 255 Ом±10%.
Полное сопротивление дроссель-трансформатора переменному току частотой 50 Гц при напряжении 0,5 В
на его основной обмотке (между выводами А1—А2) и отсутствии подмагничивания постоянным током должно быть 0,165—0,175 Ом при зазоре между сердечником и ярмом (3,7±0,5) мм.
|
|
При разности тяговых токов (асимметрии тягового тока), протекающих в секциях основной обмотки, в 400 А и напряжении переменного тока 0,5 В частотой 50 Гц на основной обмотке (между выводами А1—А2) полное сопротивление дроссель-трансформатора не менее 0,1485 Ом с отклонением не более 10% от фактического сопротивления, измеренного при отсутствии подмагничивания.
В 1976 г. были уточнены две характеристики дроссель-трансформаторов ДТМ-0,17-1000 и стали: сопротивление основной обмотки 1 постоянному току между выводами А1—А2 при температуре +20°С не должно быть более 0,000495 Ом; при разности тяговых токов (асимметрии тока), протекающих в секциях основной обмотки, в 400 А и при напряжении переменного тока 0,5 В частотой 50 Гц на основной обмотке (между выводами А1—А2) полное сопротивление дроссель-трансформатора не менее 0,1485 Ом с отклонением не более 12% от фактического сопротивления, измеренного при отсутствии подмагничивания.
Дополнительная обмотка, подключенная выводами Б1—Б2 к источнику переменного тока напряжением 220 В частотой 50 Гц, должна индуктировать в основной обмотке (на выводах А1—А2) напряжение не менее 5 В.
При протекании постоянного тока 1000 А в течение 1,5 ч через каждую секцию основной обмотки с выходом суммарного тока 2000 А через средний вывод температура масла и шины не должна быть выше +75°С температуры окружающей среды.
Основная обмотка дроссель-трансформатора состоит из двух секций по 7 витков в каждой секции, соединенных между собой, и выполняется из медной шины сечением 2,83x8 мм в 18 слоев каждый виток, т. е. общим расчетным сечением 398 мм2.
Дополнительная обмотка содержит 560 витков и выполняется из провода марки ПЭЛБО или ПЭЛР диаметром 1 мм. Дополнительную обмотку изготовляют в виде плоской катушки без каркаса, выводные концы выполняют обмоточным проводом и защищают дополнительно электроизоляционной трубкой. Дополнительную обмотку обматывают одним слоем киперной ленты с последующей пропиткой лаком МЛ-92.
Для охлаждения основной и дополнительной обмоток в корпус перед установкой в эксплуатацию должно быть залито трансформаторное масло до уровня контрольного отверстия на корпусе. Объем заливаемого масла 28 л. Завод поставляет дроссель-трансформаторы, не залитые маслом.
Для наземных линий метрополитена по отдельному требованию заказчика дроссель-трансформатор поставляют с кабельной муфтой (черт. ДТ. 1000.03.00) и предохранительной трубой (черт. ДТ. 1000.17.00), при этом кабельная муфта должна быть изолирована от корпуса.
Комплект перемычек в поставку дроссель-трансформатора не входит. Перемычки изготовляют по отдельному заказу по чертежам заказчика.
Электрическая прочность и сопротивление изоляции дроссель-трансформатора типа ДТМ-0,17-1000 те же, что и дроссель-трансформаторов типов ДТ-0,2 и ДТ-0,6.
Габаритные размеры 800x530x400 мм; масса без масла 196 кг.
3. Дроссель-трансформаторы типов ДТ-1-150 и 2ДТ-1-150 выпуска до 1995 г.
Назначение. Дроссель-трансформаторы ДТ-1 и 2ДТ-1 устанавливают на участках железных дорог, оборудованных автоблокировкой с частотой сигнального тока в рельсовой цепи 75 и 25 Гц при электрической тяге на переменном токе частотой 50 Гц. Дроссель-трансформаторы ДТ-1-150 (черт. 20816М.00.00) и 2ДТ-1-150 (черт. 20817.00.00) рассчитаны на пропускание номинального (длительного) тягового тока через каждую секцию основной обмотки 150 А. Средний вывод обмотки рассчитан на 300 А.
Некоторые конструктивные особенности. Дроссель-трансформатор типа ДТ-1-150 (рис. 250) состоит из сердечника 4, собранного из листовой электротехнической стали, основной 3 и дополнительной 5 обмоток и кабельной муфты 6. Сердечник с обмотками помещен в чугунный корпус / и закрыт крышкой 2. Схема соединения основной и дополнительной обмоток дроссель-трансформатора ДТ-1-150 приведена на рис. 251.
Дроссель-трансформатор 2ДТ-1-150 представляет собой сдвоенный дроссель-трансформатор ДТ-1-150, т. е. две основные и две дополнительные обмотки размещены в одном корпусе, средние выводы основных обмоток соединены и одной клеммой выведены наружу (рис. 252).
Магнитная система дроссель-трансформаторов ДТ-1-150 и 2ДТ-1-150 без воздушного зазора.
На крышке корпусов дроссель-трансформаторов ДТ-1-150 и 2ДТ-1-150 имеется вентиляционная пробка и уплотнитель из резины.
Для охлаждения основной и дополнительной обмоток в корпус дроссель-трансформатора перед установкой в эксплуатацию заливают трансформаторное масло до уровня контрольного отверстия в корпусе. Завод поставляет дроссель-трансформаторы, не залитые маслом.
В комплект поставки дроссель-трансформаторов входит также предохранительная труба для защиты подводимого кабеля. Комплект перемычек в поставку дроссель-трансформаторов не входит. Перемычки поставляются заказчику по отдельному заказу.
При установке дроссель-трансформаторов ДТ-1-150 на перегонах и станциях применяются медные перемычки, типы которых приведены в табл. 232 или их сталемедные и сталеалюминиевые аналоги
|
|
В случае применения дроссель-трансформатора ДТ-1-150 для сдвоенной установки вместо дроссель-трансформатора типа 2ДТ-1-150 используется междудроссельная медная перемычка типа XX по черт. 20816.14.00 (одна на два дросселя) или ее аналог. Для соединения средней точки дросселя при переходе с двухниточной рельсовой цепи на однониточную применяются медные перемычки дроссельные трехпроводные типов XXVI (черт. 20816.27.00) и XXVII (черт. 2816.31.00) или их аналоги.
При установке дроссель-трансформаторов 2ДТ-1-150 на перегонах и станциях применяются перемычки те же, что и для дроссель-трансформаторов ДТ-1-150. Медная перемычка типа XXI при установке 2ДТ-1-150 используется одна на 6 дросселей или используется ее сталемедный и сталеалюминиевый аналог.

Таблица 232 Типы и количество устанавливаемых медных перемычек
|
Тип и номер чертежа перемычки |
Количество устанавливаемых перемычек |
|
|
на перегонах |
на станциях |
|
|
Перемычка дроссельная двухпроводная типа XXI (черт. 20816.14Г.00) |
Одна на 12 дросселей |
Одна на 12 дросселей |
|
Перемычка дроссельная двухпроводная типа XXII (черт. 20816.15.00) |
Одна на один дроссель |
— |
|
Перемычка дроссельная двухпроводная типа XXIII (черт. 20816.16.00) |
То же |
— |
|
Перемычка дроссельная двухпроводная типа XXIV (черт. 20816.25.00) |
— |
Одна на один дроссель |
|
Перемычка дроссельная двухпроводная типа XXV (черт. 20816.26.00) |
— |
То же |
Электрические характеристики. Каждая из основных и дополнительных обмоток сдвоенного дроссель-трансформатора типа 2ДТ-1-150 имеет те же электрические характеристики и обмоточные данные, что и основная и дополнительная обмотки дроссель-трансформатора типа ДТ-1-150.
Разность тяговых токов (асимметрия тока), проте
кающих в секциях
основной обмотки, А 15
Полное
сопротивление основной обмотки А1—А2
переменному току частотой 75 Гц при
напря
жении 0,5 В и отсутствии подмагничивания,
не менее, Ом
1,5
Полное сопротивление основной
обмотки перемен
ному току частотой 25 Гц при напряжении 0,3 В
и отсутствии подмагничивания, не
менее, Ом 0,5
Полное сопротивление основной обмотки переменному току частотой 50 Гц при напряжении 0,5 В, не менее, Ом 1,0
Полное
сопротивление основной обмотки переменному току частотой 75 Гц при напряжении
10 В и наличии подмагничивания переменным током частотой 50 Гц при напряжении 5
В,
не менее, Ом 2
Полное
сопротивление основной обмотки переменному току частотой 25 Гц при напряжении
4 В и наличии подмагничивания переменным током частотой 50 Гц при напряжении 5
В,
не менее, Ом 0,7
Сопротивление основной обмотки постоянному току между выводами А1—А2 при температуре +20°С, не более, Ом 0,003±10%
Дополнительная обмотка дроссель-трансформатора, подключенная выводами Б1—Б2 к напряжению переменного тока 30 В частотой 50 Гц, должна индуктировать в основной обмотке на выводах А1—А2 напряжение, В 10±0,5
Основная обмотка состоит из двух секций по 8 витков в каждой, соединенных между собой. Сечение медной шины основной обмотки 4,1x8 мм, расчетное сечение — 31,92 мм2.
Дополнительная обмотка содержит 48 витков и выполняется из провода марки ПЭЛБО диаметром 1,95 мм в виде плоской катушки без каркаса. Выводные концы выполняются обмоточным проводом и защищаются электроизоляционной трубкой. Длина выводных концов 300 мм. Дополнительная обмотка обматывается одним слоем киперной ленты с последующей пропиткой лаком МЛ-92.
Следует отметить, что основная обмотка дроссель-трансформаторов ДТ-1-150 (черт. 20816), выпускавшихся до 1970 г., имела 12 витков, дополнительная — 36 витков.
При длительном протекании переменного тягового тока 150 А частотой 50 Гц через каждую секцию основной обмотки с выходом суммарного тока 300 А через средний вывод и температуре окружающей среды +35°С установившаяся температура в верхних слоях трансформаторного масла дроссель-трансформатора не должна превышать +60°С сверх температуры окружающей среды (измеряется термометром), а температура обмотки не должна превышать +75°С сверх температуры окружающей среды (измеряется методом сопротивления).
Температура считается установившейся, если за последние 3 ч испытания ее повышение не превосходит 6°С практически неизмененной температуры окружающего воздуха.
Коэффициенты
четырехполюсника дроссель-трансформаторов ДТ-1-150 и 2ДТ-1-150 при установке их
на релейном конце рельсовой цепи, частоте сигнального тока 75 Гц, напряжении
на основной обмотке 0,5 В и отсутствии подмагничивания следующие:
Ар=0,334 е ^-j1°37’ ; Др=3,1 е^-j1°17’; Вр=0,177 е^j64°11’; Ср=0,185е^-j76°47’
Коэффициенты четырехполюсника дроссель-трансформаторов ДТ-1-150 и 2ДТ-1-150 при установке их на релейном конце рельсовой цепи, частоте сигнального тока 25 Гц, напряжении на основной обмотке 0,3 В и отсутствии подмагничивания следующие: Ар=0,338 е ^j0°37’ ; Вр=0,078 е^j48°; Ср=0,433 е^-j72°13’; Др=3,07е^-j1°13’В августе 1985 г. были внесены изменения и уточнения в некоторые параметры дроссель-трансформаторов типа ДТ-1-150 и 2ДТ-1-150, которые стали следующими:
— сопротивление основной обмотки постоянному току между выводами А1—А2 не должно быть более 0,0035+10% Ом при температуре +20°С;
— дополнительная обмотка дроссель-трансформатора, подключенная выводами Б1—Б2 к напряжению 30 В переменного тока частотой 50 Гц, должна индуктировать в основной обмотке (на выводах А1—А2) напряжение (10^f0) В;
— уточнены коэффициенты четырехполюсников: исключены минуты. Например, было Ар=0,334 е ^-j1°37’ ', стало Ар=0,334 е ^j1°
— сопротивление изоляции дроссель-трансформаторов в нормальных климатических условиях должно быть не менее: 25 МОм — между основной и дополнительной обмотками; между дополнительной обмоткой и корпусом и 5 МОм — между основной обмоткой и корпусом, а в условиях воздействия верхнего значения относительной влажности 95+3% и температуре +30°С должно быть не менее: 2 МОм — между основной и дополнительной обмотками, между дополнительной обмоткой и корпусом и 0,5 МОм — между основной обмоткой и корпусом.
С ноября 1987 г. наряду с горячекатаной сталью для магнитопроводов начали применять и холоднокатаную сталь. В связи с этим дроссель-трансформаторы с магнитопроводом из горячекатаной стали начали маркировать ДТ-1-150 и 2ДТ-1-150, а с магнитопроводом из холоднокатаной стали начали маркировать ДТ-1-150Х и 2ДТ-1-150Х. Это повлекло за собой внесение следующих изменений. Разность тяговых токов (асимметрия тока), протекающих в секциях основных обмоток, принимается равной:
— 15 А — для дроссель-трансформатора типа ДТ-1-150 и 2ДТ-1-150;
— 16,5 А — для дроссель-трансформатора типа ДТ-1-150Х и 2ДТ-1-150Х;
— полное
сопротивление дроссель-трансформатора переменному току частотой 75 Гц при
напряжении на основной обмотке 10 В и наличии подмагничивания переменным током
частотой 50 Гц напряжением 5 В для дроссель-трансформаторов типа ДТ-1-150 и
2ДТ-1-150 и 6,5 В для дроссель-трансформаторов типа ДТ-1-150Х и 2ДТ-1-150Х не
должно быть менее 2 Ом;
— полное
сопротивление дроссель-трансформатора переменному току частотой 25 Гц при
напряжении на основной обмотке 4 В и наличии подмагничивания переменным током
частотой 50 Гц напряжением 5 В для дроссель-трансформаторов типа ДТ-1-150 и
2ДТ-1-150 и 6,5 В для дроссель-трансформаторов типа ДТ-1-150Х и 2ДТ-1-150Х не
должно быть менее 0,7 Ом.
Все другие
параметры и схема соединения обмоток дроссель-трансформаторов типа ДТ-1-150
(ДТ-1-150Х) и 2 ДТ-1-150 (2ДТ-1-150Х) остались прежними (рис. 251 и 252).
Сопротивление
основной обмотки постоянному току измеряется методом вольтметра — амперметра
при величине тока не ниже 100 А в пересчете к температуре +20°С.
Полное
сопротивление основных обмоток дроссель-трансформаторов при отсутствии
подмагничивания проверяется по схеме, приведенной на рис. 253, а, в которой
использованы: Б — аккумуляторная батарея; L1 — дроссель ДТ-0,6-1000 в схеме; А1
— амперметр на 150 А;
А2 — амперметр – ((~0,5
– 1 A)/(=2,5 – 5a)) VI — ампервольтметр типа Ц-438;
V2 — вольтметр
-15 В; V3 — вольтметр -50 В; TV1 — трансформатор ПОБС-220/3 В, 100 ВА; R1 -
резистор 0,05 Ом, 200 A; R2 — резистор 0,03 Ом, 200 A; R4 — резистор 80 Ом; 4
A; L2 — испытуемый дроссель-трансформатор; SB — выключатель; TV2 —
автотрансформатор ЛАТР-1; SB1 — выключатель двухполюсный на 200 A; SB3, SB6,
SB8 — выключатели двухполюсные на 25 A; SB5 — выключатель четырехполюсный на 25
А; Кн2, Кн4 — кнопки с разомкнутыми контактами; SB9 — выключатель; т V —
милливольтметр на 150 мВ.
Величина
переменного тока регулируется потенциометром R4 так, чтобы напряжение на
выводах А1—А2, устанавливаемое по вольтметру VI, было равно 0,5 В при частотах
тока 50 и 75 Гц и 0,3 В при частоте тока 25 Гц. Дополнительная обмотка при этом
должна быть разомкнута.
Величина полного
сопротивления основной обмотки дроссель-трансформатора при наличии подмагничивания
определяется по схеме, приведенной на рис. 253, б, в которой использованы: TV1
— автотрансформатор типа ЛАТР-1; TV2 — трансформатор типа ПОБС-2; А1, А2 —
амперметры ACT на 5—10 А класса точности 0,5; VI, V2 — вольтметры Ф534; Ы —
испытуемый дроссель-трансформатор; L2 — дроссель-трансформатор в схеме
ДТ-1-150; SB1, SB2 — выключатели двухполюсные на 25 А.
Подмагничивающее
напряжение переменного тока 5 В частотой 50 Гц, приложенное ко всей основной
обмотке А1—А2, контролируется вольтметром VI.
Напряжение на
дополнительной обмотке дроссель-трансформатора устанавливается по вольтметру
V2.
|
|
Показание
вольтметра V2 с учетом коэффициента трансформации и = 3 и наличия в схеме
испытаний двух последовательно соединенных дополнительных обмоток должно быть установлено
при частоте переменного тока 75 Гц — 60 В, при частоте 25 Гц — 24 В. Полное
сопротивление испытуемого дроссель-трансформатора:
где А2 — показание амперметра А2, А; U2 — показание вольтметра V2, В; n²
— квадрат коэффициента трансформации. Для переменного тока частотой 75
Гц:
|
|
Для
переменного тока частотой 25 Гц:
|
|
Проверка
напряжения, индуктируемого в основной обмотке, производится по схеме на рис.
253, а. К дополнительной обмотке на зажимы Б1—Б2 подключают напряжение
переменного тока 30 В (по вольтметру V3) частотой 50 Гц, а на зажимах А1—А2
основной обмотки измеряют напряжение астатическим вольтметром V2, не
реагирующим на форму кривой напряжения, которое должно быть (10+0,5) В-
Электрическая
прочность и сопротивление изоляции. Изоляция обмоток относительно корпуса
(магнитопровода) и между собой должна выдерживать без повреждений в течение 1
мин испытательное напряжение 2500 В частотой 50 Гц при мощности испытательной
установки не менее 1,25 кВА.
Испытание
необходимо начинать с напряжения не более 800 В. Время для полного подъема
испытательного напряжения до полного значения 2500 В должно быть не менее 10 с.
Полное испытательное напряжение выдерживают в течение 1 мин, после чего плавно
снижают до 800 В и отключают.
Сопротивление
изоляции дроссель-трансформаторов ДТ-1-150 и 2ДТ-1-150 между основной и
дополнительной обмотками, между дополнительной обмоткой и корпусом при
температуре окружающего воздуха от 15 до +25°С и относительной влажности 75%
должно быть не менее 25 МОм и 5 МОм — между основной обмоткой и корпусом, а в
условиях воздействия верхнего значения относительной влажности 95±3% и
температуре +30°С должно быть не менее: 2 МОм — между основной и дополнительной
обмотками; между дополнительной обмоткой и корпусом и 0,5 МОм — между основной
обмоткой и корпусом.
Сопротивление
изоляции проверяют мегаомметром на напряжение 500 В.
Габаритные
размеры и масса дроссель-трансформаторов ДТ-1-150 и 2ДТ-1-150, а также объем
заливаемого трансформаторного масла следующие:
|
|
Габаритные размеры, мм |
Масса без масла, кг |
Объем заливаемого трансформаторного масла, л |
|
ДТ-1-150 |
500x300x320 |
51 |
6,5 |
|
2ДТ-1-150 |
480x480x315 |
88 |
10,0 |
4. Дроссель-трансформатор типа
ДТ-0,2-500 выпуска с 1995 г.
Назначение. Дроссель-трансформатор типа ДТ-0,2-500 предназначен
для установки на участках железных дорог, оборудованных автоблокировкой на
переменном токе и электротягой на постоянном токе.
Некоторые
конструктивные особенности. Габаритный чертеж дроссель-трансформатора
ДТ-0,2-500 приведен на рис. 254. Дроссель-трансформатор рассчитан на
пропускание номинального значения постоянного тока силой 500 А в электротяге
через каждую секцию основной обмотки. Средний вывод обмотки рассчитан на силу
тока 1000 А.
Дроссель-трансформатор
изготавливается следующих исполнений в соответствии с табл. 233.
Таблица 233 Виды
исполнений дроссель-трансформаторов ДТ-0,2-500
|
Тип изделия |
Номер чертежа |
Коэффициент трансформации |
Марка провода дополнительной обмотки |
|
ДТ-0,2-300 |
ЮКЛЯ 672113.002 |
40 |
ПЭБО 0 0,69 мм |
|
ДТ-0,2-500 |
ЮКЛЯ 672113.002-01 |
23 |
ПЭБО 0 1 мм |
|
ДТ-0,2-500 |
ЮКЛЯ 672113.002-02 |
17 |
ПЭБО 0 1 мм |
Основная
обмотка состоит из двух секций, соединенных между собой.
Дополнительная
обмотка в зависимости от варианта исполнения дроссель-трансформатора имеет:
—
при коэффициенте трансформации 40—560 витков (рис. 255, а);
—
при коэффициенте трансформации 23—322 витка (рис. 255, б);
—
при коэффициенте трансформации 17—238 витков (рис. 255, в).
При
заказе необходимо указать не только тип дроссель-трансформатора, но и
коэффициент трансформации. Если в заявочной спецификации будет отсутствовать
указание о коэффициенте трансформации, то завод-изготовитель поставит
дроссель-трансформатор с коэффициентом трансформации 17.
По
способу защиты человека от поражения электрическим током дроссель-трансформатор
относится к классу О ГОСТ 12.2.007.0-75.
Электрические
характеристики. Сопротивление основной обмотки постоянному току между выводами
А1—А2 должно быть (1,4+0,14) мОм при температуре +20°С.
Полное
сопротивление дроссель-трансформатора переменному току частоты 50 Гц при
напряжении на его основной обмотке 0,5 В между выводами А1—А2 и при отсутствии
подмагничивания постоянным током должно быть не менее 0,2 Ом и не более 0,22 Ом
при зазоре между сердечником и ярмом 1—3 мм.
Полное
сопротивление дроссель-трансформатора при разности токов (асимметрии тока),
протекающих в секциях основной обмотки силой 320 А и при напряжении 0,5 В
переменного тока частоты 50 Гц, на основной обмотке (между выводами А1—А2)
должно быть
|
|
не менее 0,18 Ом. Полное сопротивление не должно отклоняться более чем на ±8% от фактического сопротивления, измеренного при отсутствии подмагничивания.
Дополнительная обмотка дроссель-трансформатора с коэффициентом трансформации 40, подключенная выводами 1—2 (см. рис. 255, а) к напряжению 220 В переменного тока частоты 50 Гц, должна обеспечивать в основной обмотке на выводах А1—А2 напряжение (5±0,5) В.
Дополнительная обмотка дроссель-трансформатора с коэффициентом трансформации 23, подключенная выводами 3—5 (см. рис. 255, б), к напряжению 220 В переменного тока частоты 50 Гц, должна обеспечивать в основной обмотке на выводах А1—А2 напряжение (9,5+0,5) В.
Дополнительная обмотка дроссель-трансформатора с коэффициентом трансформации 17, подключенная выводами 2—4 (см. рис. 255, в) к напряжению 220 В переменного тока частоты 50 Гц, должна обеспечивать в основной обмотке на выводах А1—А2 напряжение (12+0,5) В.
При протекании постоянного тока силой 500 А в течение 2 ч через каждую секцию основной обмотки с выходом суммарной силы тока 1000 А через средний вывод температура масла не должна превышать температуру окружающего воздуха 25±10°С более чем на 75°С.
Коэффициенты четырехполюсника
дроссель-трансформатора по модулю и аргументу при установке его на релейном конце рельсовой цепи при отсутствии подмагничивания
имеют следующие значения и являются справочными величинами, необходимыми для расчета оельсовой цепи:
|
|
Примечание: n — коэффициент трансформации исполнения дроссель-трансформатора.
Дополнительная обмотка дроссель-трансформатора выполняется в виде плоской катушки без каркаса. Выводные концы дополнительной обмотки дроссель-трансформатора с коэффициентами трансформации 23 и 17 выполняются тем же обмоточным проводом и защищены дополнительно электроизоляционной трубкой. При выпуске дроссель-трансформатора с коэффициентом трансформации 40 дополнительная обмотка имеет два выводных конца, выполненных проводом сечением 0,75 мм2.
В комплект поставки дроссель-трансформатора входят труба предохранительная (для защиты кабеля), паспорт, техническое описание и инструкция по эксплуатации (одно на каждые 20 дроссель-трансформаторов). Дроссельные перемычки в комплект поставки не входят и заказываются отдельно.
Заводы-изготовители поставляют дроссель-трансформаторы не залитые маслом.
Каждый дроссель-трансформатор имеет маркировку, содержащую товарный знак завода-изготовителя, тип изделия, схему обмоток, заводской порядковый номер данного экземпляра изделия и год выпуска.
Отправка заказчикам дроссель-трансформаторов в зависимости от их количества производится в следующих типах тары, изготавливаемой по чертежам завода-изготовителя:
— при индивидуальной отправке багажом, а также при отправке небольших партий каждый дроссель-трансформатор упаковывается в деревянный ящик решетчатого типа;
— при отправке больших партий на платформах дроссель-трансформаторы без упаковки устанавливаются на щиты и расшиваются брусками, исключающими их взаимное перемещение;
— при отправке больших партий в вагонах производится расшивка дроссель-трансформаторов.
Сопротивление изоляции электрических цепей дроссель-трансформатора в нормальных климатических условиях по ГОСТ 15150-69 должно быть не менее 25 МОм между основной и дополнительной обмотками, между дополнительной обмоткой и корпусом и не менее 5 мОм — между основной обмоткой и корпусом.
Сопротивление изоляции электрических цепей дроссель-трансформатора в условиях воздействия верхнего значения относительной влажности 95±3% и температуре +30°С должно быть не менее 2 МОм между основной и дополнительной обмотками, между дополнительной обмоткой и корпусом и не менее 0,5 МОм — между основной обмоткой и корпусом.
Изоляция обмоток относительно корпуса и между собой должна выдерживать без повреждений в течение 1 мин испытательное напряжение 2500 В переменного тока частоты 50 Гц.
Условия эксплуатации. Дроссель-трансформатор работает в интервале температур от —50°С до +45 °С. Перед эксплуатацией для охлаждения основной и дополнительной обмоток в корпус дроссель-трансформатора заливается трансформаторное масло Т-750 ГОСТ 982-80. Уровень масла должен быть на 50 мм ниже верхней кромки корпуса.
Запрещается отключать от рельса хотя бы одну перемычку дроссель-трансформатора без предварительного соединения обоих рельсов со средней точкой дроссель-трансформатора соседней рельсовой цепи.
Запрещается отключать среднюю точку дроссель-трансформатора
или нарушать иным способом цепь протекания по рельсам тягового тока.
Если при выполнении путевых работ невозможно осуществить соединение обоих рельсов со средней точкой дроссель-трансформатора, то отключение перемычек дроссель-трансформатора на электрифицированных участках разрешается производить только после снятия напряжения с контактной сети.
По окончании работ перемычки дроссель-трансформаторов должны быть немедленно присоединены к рельсам.
Гарантийный срок эксплуатации — 12 месяцев с момента ввода в эксплуатацию, гарантийный срок хранения — 9 месяцев с момента изготовления.
Средний срок службы дроссель-трансформатора не менее 30 лет.
Габаритные размеры приведены на рис. 254. Масса 120±3 кг.
5. Дроссель-трансформатор типа ДТ-0,2-1000 выпуска с 1995 г.
Назначение. Дроссель-трансформатор типа ДТ-0,2-1000 предназначен для установки на участках железных дорог, оборудованных автоблокировкой на переменном токе и электротягой на постоянном токе.
Некоторые конструктивные особенности. Габаритный чертеж дроссель-трансформатора ДТ-0,2-1000 приведен на рис. 256. Дроссель-трансформатор рассчитан на пропускание номинального значения постоянного тока силой 1000 А в электротяге через каждую секцию основной обмотки. Средний вывод обмотки рассчитан на силу тока 2000 А.
Дроссель-трансформатор изготавливается следующих исполнений в соответствии с табл. 234.
Таблица 234 Виды исполнений дроссель-трансформаторов ДТ-0,2-1000
|
Тип изделия |
Номер чертежа |
Коэффициент трансформации |
Марка провода дополнительной обмотки |
|
ДТ-0,2-1000 |
ЮКЛЯ 672113.007 |
40 |
ПЭБ0 0 0,69 мм |
|
ДТ-0,2-1000 |
ЮКЛЯ 672113.007-01 |
23 |
ПЭБО 0 1 мм |
|
ДТ-0,2-1000 |
ЮКЛЯ 672113.007-02 |
17 |
ПЭБО 0 1 мм |
Электрическая схема обмотки дроссель-трансформатора ДТ-0,2-1000
приведена на рис. 257.
|
|
Основная обмотка состоит из двух секций, соединенных между собой. Дополнительная обмотка в зависимости от варианта исполнения дроссель-трансформатора имеет:
—при коэффициенте трансформации 40—560 витков (рис. 257, а);
—при коэффициенте трансформации
23—322 витка (рис. 257, б);
—при коэффициенте трансформации 17—238 витков (рис. 257, в).
При заказе необходимо указать не только тип дроссель-трансформатора, но и коэффициент трансформации. Если в заявочной спецификации будет отсутствовать указание о коэффициенте трансформации, то завод-изготовитель поставит дроссель-трансформатор с коэффициентом трансформации 17.
По способу защиты человека от поражения электрическим током дроссель-трансформатор относится к классу О ГОСТ 12.2.007.0-75.
Электрические характеристики. Сопротивление основной обмотки постоянному току между выводами А1—А2 должно быть (0,8±0,08) мОм при температуре +20°С.
Полное сопротивление дроссель-трансформатора переменному току частоты 50 Гц при напряжении на его основной обмотке 0,5 В между выводами А1—А2 и при отсутствии подмагничивания постоянным током должно быть не менее 0,2 Ом и не более 0,22 Ом при зазоре между сердечником и ярмом 1—3 мм.
Полное сопротивление дроссель-трансформатора при разности токов (асимметрии тока), протекающих в секциях основной обмотки силой 320 А и при напряжении 0,5 В переменного тока частоты 50 Гц, на основной обмотке между выводами А1—А2 должно быть не менее 0,18 Ом. Полное сопротивление не должно отклоняться более чем на ±8% от фактического сопротивления, измеренного при отсутствии подмагничивания.
Дополнительная обмотка дроссель-трансформатора с коэффициентом трансформации 40, подключенная выводами 1—2 (см. рис. 257, а) к напряжению ПО В переменного тока частоты 50 Гц, должна обеспечивать в основной обмотке на выводах А1—А2 напряжение (2±0,5) В.
Дополнительная обмотка дроссель-трансформатора с коэффициентом трансформации 23, подключенная выводами 3—5 (см. рис. 257, б) к напряжению НО В переменного тока частоты 50 Гц, должна обеспечивать в основной обмотке на выводах А1—А2 напряжение (4,8±0,5) В.
Дополнительная обмотка дроссель-трансформатора с коэффициентом трансформации 17, подключенная выводами 2—4 (см. рис. 257, в) к напряжению ПО В переменного тока частоты 50 Гц, должна обеспечивать в основной обмотке на выводах А1-А2 напряжение (6±0,5) В.
При протекании постоянного тока силой 1000 А в течение 2 ч через каждую секцию основной обмотки с выходом суммарной силы тока 2000 А через средний вывод температура масла не должна превышать температуру окружающего воздуха (25+(-)10)° С более чем на 75° С.