![]() |
Таблица 18
Наименование и тип элементов, примененных в линейном шифраторе ЛШ1
|
Условное обозначение на схеме |
Наименование элемента |
Тип элемента |
|
R1, R2, R6, R11, R14, R19, R64, R84, R89, R92, R97, R100, R105, R107 |
Резистор |
МЛТ-0,5 Вт-3 кОм ±10% |
|
R3, R8, R12, R16, R20, R29, R31, R33, R35, R38—R60, R63, R65, R67, R69, R71, R73, R75, R77, R79, R81, R86, R90, R94, R98, R102, R106, R132, R133 |
Резистор |
МЛТ-0,5Вт-1 кОм±10% |
|
R4, R5, R7, R9, R10, R13, R15, R17, R18, R21— R28, R37, R61, R66, R68, R82, R85, R88, R93, R96, R101, R104, R108—R115 |
Резистор |
МЛТ-1 Вт-470Ом±10% |
|
R30, R32, R34, R36,
R70, R72, R74, R76, R78, R80 |
Резистор |
МЛТ-0,5 Вт-1,5 кОм ±10% |
|
R62 |
Резистор |
МЛТ-0,5 Вт-8,2 кОм ±10% |
|
R83, R87, R91, R95, R99, R103 |
Резистор |
МЛТ-2Вт-330Ом±10% |
|
R134—R143 |
Резистор |
МЛТ-0,5 Вт-30 кОм ±10% |
|
С1 |
Конденсатор |
МБМ-160В-1 мкф±10% |
|
С2—С12 |
Резистор |
МБМ-160 В-0,25 мкФ ±10% |
|
VD1—VD94 |
Диод |
Д226Б |
|
VT1—VT24 |
Транзистор |
МП40А |
Нумерация контактов колодки аналогична нумерации колодки линейного шифратора (см. рис. 29).
Габаритные размеры приведены на рис. 29; масса не более 9,0 кг.
17. Шифратор центрального поста типа ЦШР
Назначение. Шифратор центрального поста ЦШР (черт 601.33.15) осуществляет формирование и передачу управляющих приказов, производит счет импульсов, обеспечивает поочередное возникновение на каждом выходе диодной матрицы отрицательного импульса, обеспечивает блокировку реле Г, осуществляет управление частотами генератора ЦГ-2.
Таблица 19
Наименование и тип элементов, примененных в блоке ЦС
|
Условное обозначение на схеме |
Наименование элемента |
Тип элемента |
|
R1, R5, R6, R16, R17, R19, R24, R28, R32, R35, R40, R43, R48, R51, R55, R59, R60, R65, R70, R71, R78, R83, R86, R91, R95, R99, R104 |
Резистор |
МЛТ-0,5 Вт-3 кОм ±10% |
|
R2, R7, R12, R15, R21, R25, R30, R33, R37, R41, R45, R49, R53, R57, R62, R67, R72, R80, R84, R88, R92, R97, R100 |
Резистор |
МЛТ-0,5 Вт-6,2 кОм + 10 % |
|
R3, R8, R9, R11, R14, R18, R20, R22, R23, R26, R27, R29, R31, R34, R36, R38, R39, R42, R44, R46, R47, R50, R52, R54, R55, R6I, R63, R68, R73, R77, R79, R81, R82, R85, R87, R89, R90, R93, R94, R96, R98, R103 |
Резистор |
МЛТ-0,5 Вт-1 кОм ±10% |
|
R4, R10, R13, R6*, R66, R69, R75 |
Резистор |
МЛТ-0,5 Вт-1,5 кОм +10% |
|
R58, R101 |
Резистор |
МЛТ-0,5 Вт-8,2 кОм ±10% |
|
R102 |
Резистор |
МЛТ-0,5 Вт-470 Ом ±10% |
|
С1—С21 |
Конденсатор |
МБМ-160 В-0,25 мкФ ±10% |
|
С22 (5 мкФ) |
Конденсатор |
МБМ-160 В-1 мкФ±10% (5 шт. включаются параллельно) |
|
VD1—VD23 |
Диод |
Д226Б |
|
VD25—VD51 |
Диод |
Д226Б |
|
VT1—VT24 |
Транзистор |
МП40А |
Некоторые конструктивные особенности. Шифратор ЦШР включается в схему с помощью 22-штырной штепсельной колодки (черт. 710.09.90).
Наименование и тип элементов, примененных в шифраторе ЦШР, приведены в табл. 20.
Монтаж шифратора выполняется проводом ПМВГ-0,2 мм2.
Контактная система. Монтаж шифратора ЦШР выведен на 22-ножевую штепсельную колодку. Нумерация контактов колодки аналогична нумерации колодки линейного шифратора (см. рис. 29).
Габаритные размеры приведены на рис. 29; масса не более 9 кг.
Таблица 20 Наименование и тип элементов, примененных в шифраторе ЦШР
|
Условное обозначение на схеме |
Наименование элемента |
Тип элемента |
|
R1, R3, R5, R10, R11, R15, R18, R21, R23, R25, R26, R29, R31, R33, R34, R37—R44, R53, R68, R69, R81, R86, R88, R90, R91, R94, R96, R98, R99, R103—R110, R113, R114, R119 |
Резистор |
МЛТ-1 Вт-470 Ом ±10% |
|
R2, R4, R7, R9, R12, R16, R20, R24, R28, R32, R36, R45, R47, R49, R51, R66, R73, R75, R77, R79, R84, R89, R93, R97, R101 |
Резистор |
МЛТ-0,5 Вт-6,2 кОм ±10% |
|
R6, R8, R13, R17, R54, R55, R65, R67, R83 |
Резистор |
МЛТ-0,5 Вт-1 кОм±10% |
|
R14, R19, R22, R27,
R30, R35, R87, R92, R95, R100, R111, R112 |
Резистор |
МЛТ-0,5 Вт-3 кОм ±10% |
|
R46, R48, R50, R52,
R74, R76, R78, R80, R82, R85 |
Резистор |
МЛТ-0,5 Вт-1,5 кОм ±10% |
|
R56— R64 |
Резистор |
МЛТ-0,5 Вт-750 Ом ±10% |
|
R70 |
Резистор |
МЛТ-0,5 Вт-2 кОм±10% |
|
R71.R72 |
Резистор |
МЛТ-1 Вт-120Ом±10% |
|
R102 |
Резистор |
МЛТ-0,5 Вт-10 кОм ±10% |
|
С1— СЮ, С12 |
Конденсатор |
МБМ-160 В-0,25 мкФ ±10% |
|
VD1— VD60 |
Диод |
Д226Б |
|
VT1— VT25 |
Транзистор |
МП40А |
|
VT26 |
Транзистор |
П214В |
18. Дешифратор центрального поста типа ЦДШ-3
Назначение. Дешифратор центрального поста типа ЦЦШ-3 (черт. 601.33.16) производит отсчет тактовых импульсов известительного приказа, его расшифровку и контролирует окончание известительного приказа.
Некоторые конструктивные особенности. Дешифратор ЦДШ-3 включается в схему с помощью 22-штырной штепсельной колодки (черт. 710.09.90).
Наименование и тип элементов, примененных в дешифраторе ЦЦШ-3, приведены в табл. 21.
Таблица 21
Наименование и
тип элементов, примененных в дешифраторе ЦДШ-3
|
Условное обозначение на схеме |
Наименование элемента |
Тип элемента |
|
R1, R30, R34, R38, R42, R45, R48, R58, R62, R67, R72, R76, R81, R131, R135 |
Резистор |
МЛТ-0,5 Вт-1,5 кОм ±10% |
|
R2, R4, R9, R12, R17, R87, R92, R95, R100, R103, R108, R128, R132, R136 |
Резистор |
МЛТ-0,5 Вт-3 кОм ±10% |
|
R3, R7, R11, R15,
R86, R90, R94, R98, R102, R106 |
Резистор |
МЛТ-1 Вт-360Ом±Ю% |
|
R5, R8, R13, R16, R44, R51, R53, R66, R80, R88, R91, R96, R99, R104, R107 |
Резистор |
МЛТ-1 Вт-470 Ом ±10% |
|
R6, R10, R14, R18, R31, R35, R39, R46, R49, R52, R55, R61, R65, R70, R75, R79, R84, R89, R93, R97, R101, R105, R109,4R129, R133, R138 |
Резистор |
МЛТ-0,5 Вт-6,2 кОм ±10% |
|
R19—R28 |
Резистор |
МЛТ-0,5 Вт-270 Ом ±10% |
|
R29, R33, R37, R41,
R59, R63, R68, R73, R77, R82 |
Резистор |
МЛТ-0,5 Вт-2 кОм ±10% |
|
R32, R36, R40, R54,
R60, R64, R69, R74, R78, R83 |
Резистор |
МЛТ-0,5 Вт-360 Ом ±10 |
|
R43, R71, R85, R47,
R50, R56, R57, R130, R134, R137 |
Резистор |
МЛТ-0,5 Вт-120 Ом ±10% |
|
R139—R145 |
Резистор |
МЛТ-0,5 Вт-1 кОм ±10% |
|
R146—R155 |
Резистор |
МЛТ-0,5 Вт-30 кОм ±10%-А |
|
С1—СЮ |
Конденсатор |
МБМ-160 В-0,25 мкФ ±10% |
|
VD1, VD2, VD4—VD6, VD8—VD16, VD18—VD27, VD29— VD31, VD33, VD34, VD36— VD66 |
Диод |
Д226Б |
|
VT1— VT5.VT7, VT9, VT11, VT13, VT16, VT18, VT20, VT22, VT24, VT26, VT28-VT38 |
Транзистор |
МП40А |
|
VT6, VT8, VT10, VT12, VT17, VT19, VT21, VT23, VT25, VT27 |
Транзистор |
МП20Б |
|
VT15 |
Транзистор |
П21 |
Монтаж дешифратора ЦЦШ-3 выполняется проводом ПМВГ-0,2 мм2.
Контактная система. Монтаж дешифратора ЦЦШ-3 выведен на 22-ножевую штепсельную колодку. Нумерация контактов колодки аналогична нумерации колодки линейного шифратора ЛШ1 (см. рис. 29).
Габаритные размеры приведены на рис. 29; масса не более 9,0 кг.
19. Блок усилительный типа ГУ
Назначение. Блок ГУ (черт. 601.32.04) предназначен для обеспечения надежного включения групповых реле на центральном посту.
Некоторые конструктивные особенности. Габаритные и установочные размеры блоков ГУ приведены на рис. 30. Электрическая принципиальная схема блока ГУ показана на рис. 31.
Наименование и тип элементов, примененных в блоке ГУ, приведены в табл. 22.
Таблица 22 Наименование и тип элементов, примененных в блоке ГУ
|
Условное обозначение на рис. 31 |
Наименование элемента |
Тип элемента |
|
R1, R7 |
Резистор |
МЛТ-0,5 Вт-6,2 кОм ±10% |
|
R2, R8 |
Резистор |
МЛТ-0,5 Вт-2 кОм ±10% |
|
R3—R5, R9—R11 |
Резистор |
МЛТ-1 Вт-470Ом±10% |
|
R6, R12 |
Резистор |
МЛТ-0,5 Вт-1 кОм ±10% |
|
R25, R26 |
Резистор |
МЛТ-0,5 Вт-1,5 кОм ±10% |
|
VD1—VD8 |
Диод |
Д226Б |
|
VT1 |
Транзистор |
МП40А |
|
VT2 |
Транзистор |
П214В |
|
VT3 |
Транзистор |
МП40А |
|
VT4 |
Транзистор |
П214В |
Монтаж блоков ГУ выполняется проводом ПМОВ-0,2 мм2. Габаритные размеры приведены на рис. 30; масса 0,6 кг
20. Блок регистрации типа ЦТР
Назначение.
Блок ЦТР (черт. 601,32.08) предназначен для регистрации активных импульсов
известительных приказов, а также для сохранения принятой информации до окончания ее
реализации.
|
|
Некоторые конструктивные особенности. Электрическая принципиальная схема блока ЦТР показана на рис. 32.
Наименование и тип элементов, примененных в блоке ЦТР приведены в табл. 23.
Монтаж блоков ЦТР выполняется проводом ПМОВ-0,2 мм2. Габаритные размеры приведены на рис. 30; масса 0,5 кг.
|
|
Таблица 23
Наименование и тип элементов, примененных в блоке ЦТР
|
Условное обозначение на рис. 32 |
Наименование элемента |
Тип элемента |
|
R1, R2, R11 |
Резистор |
МЛТ-0,5 Вт-6,2 кОм ±10% |
|
R3—R7, R13, R15, R33, R34 |
Резистор |
МЛТ-0,5 Вт-1 кОм ±10% |
|
R8 |
Резистор |
МЛТ-0,5 Вт-2 кОм ±10% |
|
R9 |
Резистор |
МЛТ-0,5 Вт-620 Ом ±10% |
|
R10 |
Резистор |
МЛТ-0,5 Вт-8,2 кОм ±10% |
|
R12 |
Резистор |
МЛТ-0,5 Вт-2 кОм ±10% |
|
R14 |
Резистор |
МЛТ-0,5 Вт-120 Ом ±10% |
|
R16 |
Резистор |
МЛТ-1 Вт-390 Ом ±10% |
|
С1 |
Конденсатор |
МБМ-160 В-0,25 мкФ ±10% |
|
VD2 |
Диод |
Д226Б |
|
VD4—VD10 |
Диод |
Д226Б |
|
VT1—VT3 |
Транзистор |
МП40А |
|
VT4 |
Транзистор |
П214В |
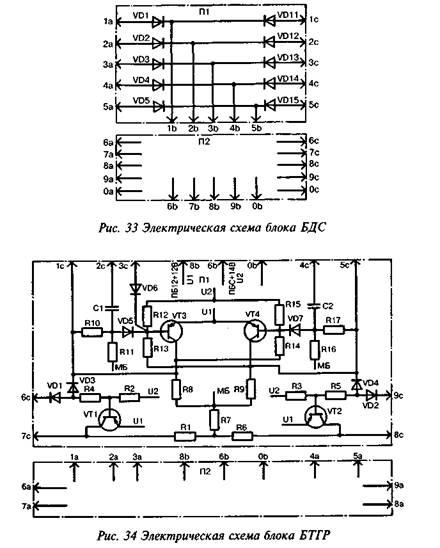
21. Блок диодный соединительный типа БДС
Назначение. Блок БДС (черт. 601.33.17) предназначен для разделения цепей контролируемых объектов на линейных пунктах, а также цепей наборных реле на центральном посту.
Некоторые конструктивные особенности. Электрическая принципиальная схема блока БДС показана на рис. 33. В схеме применены диоды Д226Б в количестве 20 шт.
Монтаж блоков БДС выполняется проводом ПМОВ-0,2 мм2.
Габаритные размеры приведены на рис. 30; масса 0,4 кг.
22. Блок групповой триггерный типа БТГР
Назначение. Блок БТГР (черт. 601.33.18), являющийся элементом группового распределителя, осуществляет поочередное подключение групп контролируемых объектов.
|
|
Некоторые конструктивные особенности. Электрическая принципиальная схема блока БТГР показана на рис. 34.
Наименование и тип элементов, примененных в блоке БТГР, приведены в табл. 24.
Монтаж блоков БТГР выполняется проводом ПМОВ-0,2 мм2.
Габаритные размеры приведены на рис. 30; масса 0,5 кг.
Таблица 2 4
Наименование и тип элементов, примененных в блоке БТГР
|
Условное обозначение на рис. 34 |
Наименование элемента |
Тип элемента |
|
R1, R4—R9, R13, R14 |
Резистор |
МЛТ-0,5 Вт-470 Ом ±10% |
|
R2, R3, R12, R15 |
Резистор |
МЛТ-0,5 Вт-1 кОм ±10% |
|
R10, R17 |
Резистор |
МЛТ-0,5 Вт-4,7 кОм ±10% |
|
R11, R16 |
Резистор |
МЛТ-0,5 Вт-51 кОм +10% |
|
С1.С2 |
Конденсатор |
МБМ-160 В-0,25 мкФ ±10% |
|
VD1—VD7 |
Диод |
Д226Б |
|
VT1 — VT4 |
Транзистор |
МП40А |
23. Блок групповой избирательный типа ГИ
Назначение. Блок типа ГИ (черт. 601.33.19) предназначен для подключения групп контролируемых объектов и линейного генератора к каналу ТС.
Некоторые конструктивные особенности. Электрическая принципиальная схема блока ГИ показана на рис. 35.

Наименование и тип элементов, примененных в блоке ГИ, приведены в табл. 25.
Таблица 25
Наименование и тип элементов, примененных в блоке ГИ
|
Условное обозначение на рис. 35 |
Наименование элемента |
Тип элемента |
|
R1, R2, R4, R6, R7, R10—R12 |
Резистор |
МЛТ-0,5 Вт-1 кОм ± 10% |
|
R3, R9, R21 |
Резистор |
МЛТ-0,5 Вт-1,5 кОм ±10% |
|
R5 |
Резистор |
МЛТ-0,5 Вт-470 Ом ±10% |
|
VD1—VD4, VD6—VD10 |
Диод |
Д226Б |
|
VT1— VT3 |
Транзистор |
МП40А |
Монтаж блоков ГИ выполняется проводом ПМОВ-0,2 мм2. Габаритные размеры приведены на рис. 30; масса 0,5 кг.
24. Устройство выпрямительное типа ВУ-14/1,5
Назначение. Выпрямительное устройство ВУ-14/1,5 (черт. 532.00.04) предназначено для питания стабилизированным выпрямленным током бесконтактных кодовых устройств и каналообразующей аппаратуры диспетчерской централизации.
Некоторые конструктивные особенности. Общий вид и нумерация выводов выпрямительного устройства ВУ-14/1,5 приведены на рис. 36. Электрическая принципиальная схема ВУ-14/1,5 показана на рис. 37.
Наименование и тип приборов, примененных в выпрямительном устройстве ВУ-14/1,5, приведены в табл. 26.
Электрические характеристики. Выпрямительное устройство получает питание от сети переменного тока частотой 50 Гц, номинальным напряжением 220, 127 или 11О В. Допустимые колебания напряжения сети 187-242, 108—140 и 90-120 В.
Выпрямительное устройство обеспечивает на выходе напряжение от 13,4 до 14,8 В при токе нагрузки от 0,5 до 1,5 А и колебаниях напряжения сети в указанных выше пределах.
Переменная составляющая выпрямленного напряжения на выходе выпрямительного устройства не должна превышать 0,25 В при наибольшем токе нагрузки.
Температура нагрева стали и обмоток трансформатора и дросселей, а также температура нагрева диодов не должна превышать 65°С
|
|
при температуре окружающего воздуха (+20±5)°С и токе нагрузки выпрямительного устройства 1,5 А.
Электрическая прочность и сопротивление изоляции. Изоляция между всеми токоведущими частями и корпусом выпрямительного устройства должна выдерживать в течение 1 мин без пробоя и явлений разрядного характера напряжение 1000 В частотой 50 Гц.
Сопротивление изоляции между всеми соединенными между собой токоведущими частями и корпусом выпрямительного устройства при температуре окружающего воздуха (+20±5)°С, относительной влажности (65±15)% и испытательном напряжении 500 В постоянного тока должно быть не менее 25 МОм.
Схема испытательного стенда для проверки ВУ-14/1,5 показана на рис. 38.
Наименование и тип приборов, примененных в испытательном стенде, приведены в табл. 27.
|
|
|
|
Таблица 26
Наименование и тип приборов, примененных в ВУ-14/1,5
|
Условное обозначение на рис. 37 |
Наименование прибора |
Тип прибора |
|
СЛ |
Лампа сигнальная |
КМ 12-90 |
|
FU |
Предохранитель |
ВП-1-1-1А |
|
VD1— VD4 |
Диод |
Д242А |
|
С2 |
Конденсатор |
К50-3-25-2000 мкФ |
|
С1 |
Конденсатор |
КБГ-МН-1000-4 мкФ ±10% |
|
R4 |
Резистор |
МЛТ-1 Вт-51 Ом±10% |
|
R3 |
Резистор |
МЛТ-0,5Вт-39Ом±10% (2 шт. параллельно) |
|
R2 |
Резистор |
МЛТ-2 Вт-130 0м±Ю% (2 шт. параллельно) |
|
Р1 |
Реле |
КДР-1, черт. У612.01.35 Контактный набор 197-197 |
|
L2 |
Дроссель |
Черт. 644.22.87 |
|
L1 |
Дроссель |
Черт. 644.22.88 |
|
TV1 |
Трансформатор |
Черт. 641.19.37 |
Таблица 27
Наименование и тип приборов, примененных в испытательном стенде
|
Условное обозначение на рис. 38 |
Наименование прибора |
Тип прибора |
|
TV1 |
Автотрансформатор |
ЛАТР |
|
V1 |
Вольтметр |
Э59; класс 0,5; шкала 0—300 В |
|
V2 |
Вольтметр |
Э59; класс 0,5; шкала 0—30 В |
|
V3 |
Вольтметр ламповый |
ВЗ-13 |
|
А |
Амперметр |
Э59; класс 0,5; шкала 0—2 А |
|
R |
Реостат |
150 Ом± 10%; 1,7 А |
Условия эксплуатации. Выпрямительное устройство ВУ-14/1,5 устойчиво работает при температуре окружающего воздуха от —20 до 40°С и относительной влажности воздуха (65±15)% при температуре +20°С.
Габаритные размеры приведены на рис. 36; масса не более 14 кг.
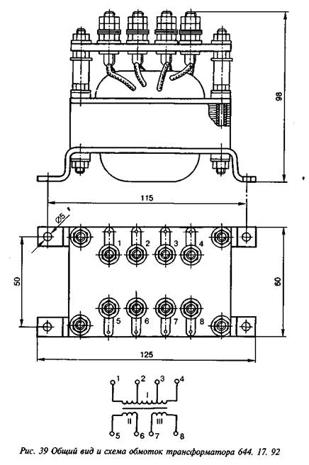
25. Трансформатор 644.17.92
Трансформатор (черт. 644.17.92) применяется в диспетчерской централизации «Нева».
Обмоточные данные трансформатора (рис. 39) приведены в табл. 28.
Таблица 28
Обмоточные данные трансформатора
|
Номера выводов |
Количество витков |
Марка и диаметр провода |
Полное сопротивление при частоте 800 Гц (не менее), Ом |
|
1-2 |
1050 |
ПЭЛШКО; 0,12 мм |
Т.5-10* |
|
2-3 |
1750 |
4,0-104 |
|
|
3-4 |
700 |
7,0-103 |
|
|
5-6 |
500 |
ПЭЛШКО; 0,29 мм |
3,0-103 |
|
7-8 |
500 |
3,0-Ю3 |
26. Стативы диспетчерской централизации «Нева»
Назначение. Стативы диспетчерской централизации «Нева» предназначены для размещения кодовой аппаратуры.
Некоторые конструктивные особенности. Стативы диспетчерской централизации «Нева» являются закрытыми унифицированными стативами с типовым монтажом и изготовляются шести типов: статив центрального поста типа Щ «Нева» (черт. 527.11.27), статив центрального поста 2Ц «Нева» (черт. 527.11.28), статив линейного пункта типа Л «Нева» (черт. 527.11.29), статив трансляционного пункта типа ТП «Нева» (черт. 527.11.37), статив испытательного пункта типа ИЦ «Нева» (черт. 527.11.38), статив усилительного пункта типа УП «Нева». (черт. 527.11.39).
Электрическая прочность и сопротивление изоляции. Изоляция всех токоведущих частей статива по отношению к корпусу должна выдерживать без пробоя и явлений разрядного характера в течение 1 мин напряжение 1000 В переменного тока частотой 50 Гц при мощности испытательной установки 0,5 кВА.
Сопротивление изоляции между всеми соединенными между собой токоведущими частями и корпусом при температуре окружающего воздуха (+20±5)°С, относительной влажности (65±15)% и испытательном напряжении 500 В. постоянного тока должно быть не менее 25 МОм.
|
|
|
|
Контактная система. Нумерация контактов колодок, расположенных на стативах, и 22-штепсельных разъемов при виде на статив с лицевой стороны приведена на рис. 40.
Условия эксплуатации. Стативы могут эксплуатироваться при температуре окружающего воздуха от +1 до +40°С, относительной влажности воздуха (65+15)% и атмосферном давлении 630—800 мм рт. ст.
Габаритные размеры стативов приведены на рис. 41; масса каждого статива не более 300 кг.
27. Статив центрального поста типа 1Ц «НЕВА»
Схема расположения приборов в стативе типа 1Ц и их обозначение по принципиальной схеме (вид с лицевой стороны статива) показаны на рис. 42.
Статив 1Ц выполняет ответственные функции, поэтому в нем устанавливаются два комплекта (А и Б) аппаратуры, т. е. предусматривается резервирование. Переход с комплекта А на комплект Б осуществляется с помощью реле ОРУ.
Наименование и тип приборов, размещенных в стативах 1Ц, приведены в табл. 29.
Для монтажа статива 1Ц используется монтажный провод ПМВГ-0,75 мм2 (200 м), ПМВГ-0,35 мм2 (700 м), МГШВЭ2хО,35 мм2 (100 м), МГШВЭ-0,35 мм2 (50 м).

Таблица 29
Наименование и тип приборов, размещенных в стативах 1Ц
|
Условное обозначение |
Наименование прибора |
Тип прибора |
|
АЦШР, БЦШР |
Шифратор |
ЦШР, черт. 601.33.15 |
|
АЦС, БЦС |
Блок синхронизации |
ЦС, черт. 601.33.14 |
|
АГУ, Б ГУ |
Усилитель групповой |
ГУ, черт. 601.32.04 |
|
БДС, АБДС, ББДС |
Блок диодный соединительный |
БДС, черт. 601.33.17 |
|
А1—ЗБТГР, Б1—ЗБТГР |
Блок триггерный групповой |
БТГР, черт. 601.33.18 |
|
Ф |
Фильтр |
ФА, черт. 601.33.41 |
|
АЛГ, БЛГ |
Генератор линейный |
ЛПИ, черт. 601.33.50 |
|
АЦГ, БЦГ |
Генератор центрального поста |
ЦГ, черт. 601.32.56 |
|
АГ, БГ |
Реле |
КДРШ1, черт. 617.00.04 |
|
АПГ, БПГ |
Реле |
КДРШ1, черт. 617.00.15 |
|
ОРУ |
Реле |
КДРШ1, черт. 617.00.17 |
|
АСП, БСП |
Реле |
КДРШ1, черт. 617.11.26 |
|
АЗРУ, БЗРУ |
Реле |
КДРШ1, черт. 617.00.23 |
|
А1РУ, А2РУ, Б1РУ, Б2РУ |
Реле |
КДРШ1, черт. 617.11.26 |
|
АКП, БКП |
Реле |
КДРШ1, черт. 617.00.25 |
|
R1.R2 |
Резистор |
ПП2-11-470 0м±Ю% |
|
R3—R6, R20—R23 |
Резистор |
МЛТ-2 Вт-510 Ом ±10% |
|
R7, R8 |
Резистор |
МЛТ-1 Вт-300 Ом ±10% |
|
R9—R14 |
Резистор |
МЛТ-0,5 Вт-620 Ом ±10% |
|
R15, R16 |
Резистор |
МЛТ-0,5 Вт-51 кОм ±10% |
|
R17, R18 |
Резистор |
МЛТ-0,5 Вт-10 кОм ±10% |
|
R19 |
Резистор |
МЛТ-1 Вт-1 кОм±10% |
|
R24 |
Резистор |
ПП2-11-10кОм±10% |
|
R25 |
Резистор |
ПП2-12-10кОм±10% |
|
R26 |
Резистор |
МЛТ-0,5 Вт-22 кОм ±10% |
|
С1-С6 |
Конденсатор |
МБМ-160 В-1 мкФ ±10% |
Продолжение табл. 29
|
Условное обозначение |
Наименование прибора |
Тип прибора |
|
VD1—VD4 |
Диод |
Д226Б |
|
FU1—FU8 |
Предохранитель |
5А |
|
FU9—FU14 |
Разрядник |
РВНШ-250, черт. 414.00.00 |
|
КРП, КРУ, КСП |
Тумблер |
ТП1-2 |
|
SB1, SB2 |
Переключатель |
15ПЗН1 |
|
Кн1— Кн4 |
Кнопка |
ПКТ-1-1-1 |
|
V |
Вольтметр |
М4200, черт. 619.90.68 |
|
Np / кΩ |
Миллиамперметр |
М4200 |
|
Гн1— Гн16 |
Гнездо |
Черт. 735.70.50 |
|
АКГ, БКГ |
Реле |
КДРШ1, черт. 617.00.40 |
|
R27, R29 |
Резистор |
МЛТ-2Вт-270Ом±10% |
|
R28, R30 |
Резистор |
МЛТ-1 Вт-4,3 кОм ±10% |
|
R31, R32 |
Резистор |
МЛТ-1 Вт-620 Ом ±10% |
|
R33, R34 |
Резистор |
ПП2-14(20кОм±10% / 20кОм±10%) |
|
С7, С8 |
Конденсатор |
К50-12-25 В-1000 мкФ |
Кодовые реле КДРШ, щиток линейно-вводный (черт. 601.03.89), разрядники, предохранители, резисторы, конденсаторы и диоды поставляются вместе со стативами.
28. Статив центрального поста типа 2Ц «Нева»
Схема расположения приборов в стативе типа 2Ц и их обозначение по принципиальной схеме (вид с лицевой стороны статива) показаны на рис. 43.
Наименование и тип приборов, размещенных в стативах 2Ц, приведены в табл. 30. В статив устанавливается один из четырех типов блоков, обозначенных звездочкой (*) в табл. 30.
Для монтажа статива 2Ц «Нева» используется монтажный провод ПМВГ-0,75 мм2 (200 м), ПМВГ-0,35 мм2 (1000 м), ПМВГ-0,2 мм2 (800 м), МГШВЭ2х0,35 (10 м).
Приборы НУ. ИЛШ. ИГР. НПМ. ГУ. ГИ. БТГР.
|
|
Таблица 30
Наименование и тип приборов, размещенных в стативах
2Ц
|
Условное обозначение на рис. 43 |
Наименование прибора |
Тип прибора |
|
ЦУ* |
Усилитель центрального поста |
ЦУ*-1—ЦУ-IV, черт. 601.33.52-55 |
|
1ЦТР—12ЦТР |
Блок регистрации |
ЦТР, черт. 601.32.08 |
|
ЦДШ |
Дешифратор центрального поста |
ЦЦШ, черт. 601.33.16 |
|
ЦДМ* |
Демодулятор центрального поста |
ЦДМ*-1—ЦДМ-IV, черт. 601.33.56—59 |
|
1ГУ—15ГУ |
Блок усилительный |
ГУ, черт. 601.32.04 |
|
1ГИ—12ГИ |
Блок групповой избирательный |
ГИ, черт. 601.33.19 |
Продолжение табл. 30
|
Условное обозначение на рис. 43 |
Наименование прибора |
Тип прибора |
|
1БТГР—5БТГР |
Блок триггерный группового распределителя |
БТГР, черт. 601.33.18 |
|
1БДС |
Блок диодный соединительный |
БДС, черт. 601.33.17 |
|
П1 |
Реле |
КДРШ1, черт. 617.00.18 |
|
П2 |
Реле |
КДРШ1, черт. 617.00.25 |
|
КЦ |
Реле |
КДРШ1, черт. 617.00.27 |
|
1И—20И |
Реле |
КДРШ1, черт. 615.00.02 |
|
1В1—23В1, 1В2—23В2 |
Реле |
КДРШ1, черт. 617.11.13 |
|
TV |
Трансформатор |
Черт. 644.17.92 |
|
FU1, FU2 |
Разрядник |
РВНШ-250 |
|
FU3 ------ » |
Предохранитель |
Черт. 20876.00.00; ЗА |
|
FU4—FU6 |
Предохранитель |
Черт. 20876.00.00; 10А |
|
R1-R20 |
Резистор |
МЛТ-2Вт-27 0м±Ю% |
|
R21—R60 |
Резистор |
МЛТ-2 Вт-51 Ом ±10% |
|
R61—R80 |
Резистор |
МЛТ-2 Вт-200 Ом ±10% |
|
R81—R85 |
Резистор |
МЛТ-0,5 Вт-620 Ом ±10% |
|
R86, R87 |
Резистор |
МЛТ-0,5Вт-1 кОм±10% |
|
R88, R89 |
Резистор |
МЛТ-0,5 Вт-10 кОм ±10% |
|
R90, R91 |
Резистор |
МЛТ-0,5 Вт-51 кОм ±10% |
|
R92—R97 |
Резистор |
МЛТ-2 Вт-51 Ом ±10% |
|
С1 |
Конденсатор |
МБМ-160В-0,25мкФ± 10% (3 шт. включены параллельно) |
|
С2 |
Конденсатор |
МБМ-160В-1 мкФ+10% |
|
VD1 — VD47 |
Диод |
Д226Б |
|
SB |
Тумблер |
ТП1-2 |
|
Зв |
Звонок |
Черт. 32616.00.00; 24 В |
|
Л1, Л2 |
Лампа |
КМ24В-90 мА |
|
SB1 |
Переключатель щеточный |
24П1И1 |

БЛС поставляются заводом согласно заказу отдельно от статива. Кодовые реле КДРШ, линейный трансформатор, резисторы, конденсаторы, диоды, разрядники, тумблер, переключатель, звонок поставляются вместе со стативом.
29. Статив линейного пункта типа Л «Нева»
Схема расположения приборов в стативе типа Л и их обозначение по принципиальной схеме (вид с лицевой стороны статива) показаны на рис. 44.
Наименование и тип приборов, размещенных в стативах Л, приведены в табл. 31.
Для монтажа статива Л «Нева» используется монтажный провод ПМВГ-0,75 мм2 (200 м), ПМВГ-0,35 мм2 (780 м), ПМВГ-0,2 мм2 (415 м), ПМОВ-0,35 мм2 (2 м), МГШВЭ2х0,35 (10 м). В статив устанавливается линейный генератор ЛГ одного из четырех типов.
Приборы ЛУУ, ЛДМ, ЛГ, ЛШ, БТГР, ГИ, БДС, НМШ2, ЗБ2, ИР5, ВУ-14/1,5 поставляются по отдельному заказу. Все остальные комплектующие изделия поставляются вместе со стативом
Таблица 31
Наименование и тип приборов, размещенных в стативах Л
|
Условное обозначение на рис. 44 |
Наименование прибора |
Тип прибора |
|
1ГИ—ЗГИ |
Блок групповой избирательный |
ГИ, черт. 601.33.19 |
|
ЛШ |
Шифратор линейный |
ЛШ1, черт. 601.33.13 |
|
ЛДМ |
Демодулятор линейный |
ЛДМ2, черт. 601.32.68 |
|
ЛГ |
Генератор линейный |
ЛГ-1—ЛГ-IV, черт. 601.33.48—51 |
|
ЛУ |
Усилитель линейный |
ЛУУ, черт. 601.33.77 |
|
ЗБ2 |
Блок защитный |
ЗБ2, черт. 145.00.00 |
|
ВУ |
Устройство выпрямительное |
ВУ-14/1,5, черт. 532.00.04 |
|
1БДС—6БДС |
Блок диодный соединительный |
БДС, черт. 601.33.17 |
|
1БТГР—ЗБТГР % |
Блок групповой триггеррный |
БТГР, черт. 601.33.18 |
|
TV1,TV2 |
Трансформатор |
Черт. 644.17.92 |
|
R1, R4—R9 |
Резистор |
МЛТ-1 Вт-510Ом±10% |
|
R2, R11, R18 |
Резистор |
МЛТ-1 Вт-51 Ом ±10% |
|
R3, R27, R28 |
Резистор |
МЛТ-2ВТ-1 кОм±10% |
|
R13 |
Резистор |
МЛТ-1 Вт-10кОм±10% |
|
R14 |
Резистор |
МЛТ-1 Вт-20 кОм ±10% |
|
R15 |
Резистор |
МЛТ-1 Вт-39 кОм±10% |
|
R16 |
Резистор |
МЛТ-1 Вт-82кОм±10% |
|
R17 |
Резистор |
МЛТ-1 Вт-160 кОм ±10% |
|
R19—R22 |
Резистор |
Черт. 7157.00; 14 0м, 1 А |
|
R23, R26, R30, R34—R36 |
Резистор |
МЛТ-2Вт-100Ом±10% |
|
R25 |
Резистор |
ПЭВ-10 Вт-100Ом±10% |
|
R29 |
Резистор |
МЛТ-1 Вт-200Ом±10% |
|
С1 |
Конденсатор |
МБМ-160 В-1 мкФ ±10% |
|
С2 |
Конденсатор |
К50-12-25В-500мкФ |
|
СЗ |
Конденсатор |
К50-12-25В-1000мкФ |
|
С4—С9 |
Конденсатор |
МБМ-160 В-1 мкФ ±10% |
Продолжение табл.
31
|
Условное обозначение на рис. 44 |
Наименование прибора |
Тип прибора |
|
СЮ, С11 |
Конденсатор |
КБГ-МН-600 В-1 мкФ ±10% |
|
VD1—VD6 |
Диод |
Д226Б |
|
Л |
Лампа |
КМ-24 В-90 мА |
|
FU1—FU4, FU7, FU8 |
Предохранитель |
Черт. 20876.00.00; 5А |
|
FU5, FU6 |
Предохранитель |
20876.00.00; 1А |
|
УФ |
Реле |
КДРШЗ-М, черт. 615.44.01 |
|
1-10 |
Реле |
КДРШ1,черт. 617.00.06 |
|
П—Г5, ПА |
Реле |
КДРШ1, черт. 617.00.14 |
|
ОС, ПАИ |
Реле |
КДРШ1, черт. 617.00.18 |
|
А, Ц |
Реле |
КДРШ1, черт. 617.00.25 |
|
Р1— Р8 |
Реле |
КДРШ1, черт. 617.00.42 |
|
РП |
Реле |
КДРШ1, черт. 617.11.16 |
|
ГУ—7ГУ |
Реле |
КДРШ1, черт. 617.11.36 |
|
У1—У4, ВТ, ВАЧ, ВАН, ВАЦ, ВРН, ВРЧ, ОК, ОРН, ОРЧ |
Реле |
КДРШ1, черт. 617.12.02 |
|
ПОИ, П1И, П2И |
Реле |
ИР5-1800 с нейтральной регулировкой |
|
ОЛ, ОП, СБ |
Реле |
НМШ2-4000 |
|
R10* |
Резистор |
ПП2-11-470 0м±10% |
|
R31* |
Резистор |
МЛТ-1 Вт-1 кОм±10% |
|
R32* |
Резистор |
ПП2-11-10кОм±10% |
|
R37* |
Резистор |
МЛТ-0,5 Вт-1 кОм+10% |
|
V* |
Вольтметр |
М4200 |
|
SB1.SB2* |
Тумблер |
ТВ2-1 |
|
SB3* |
Переключатель |
15П2Н1 |
|
SB4* |
Ключ телефонный |
КТ2— 3-5 |
|
ИП* |
Прибор измерительный |
Черт. 619.91.00 |
|
Кн, Кн1* |
Переключатель кнопочный |
ПКТ-1-1 |
* Установлены в линейно-вводном щитке (черт. 601. 03. 90).
30. Статив трансляционного пункта типа ТП «Нева»
Схема расположения приборов в стативе типа ТП и их обозначение по принципиальной схеме (вид с лицевой стороны статива) показаны на рис. 45.
Наименование и тип приборов, размещенных в стативах ТП, приведены в табл. 32.
Для монтажа статива ТП «Нева» используется монтажный провод ПМВГ-0,75 мм2 (400 м), ПМВГ-0,35 мм2 (500 м), ПМОВ-0,35 мм2 (3 м), МГШВЭ2х0,35 (100 м).
Приборы ЦЦМ-4, ЦУ, ЦУУ, ЛУУ, ТПЧ, ФА поставляются заводом согласно заказу отдельно от статива. Все остальные комплектующие изделия поставляются вместе со стативом.
31. Статив испытательный типа ИЦ «Нева»
Схема расположения приборов в стативе типа ИЦ и их обозначение по принципиальной схеме (вид с лицевой стороны статива) показаны на рис. 46.
Наименование и тип приборов, размещенных в стативах ИЦ, приведены в табл. 33.
Приборы ТПЧ, БДС, БТГР, ГИ, ВУ, ЛШ, ЛУУ, ЛГ, ЛДМ поставляются заводом согласно заказу отдельно от статива. Все остальные комплектующие изделия поставляются вместе со стативом.
32. Статив усилительного пункта типа УП «НЕВА»
Схема расположения приборов в стативе типа УП и их обозначение по принципиальной схеме (вид с лицевой стороны статива) показаны на рис. 47.
Наименование и тип приборов, размещенных в стативах УП, приведены в табл. 34.
Для монтажа статива УП «Нева» используется провод ПМВГ-0,75 мм2 (400 м), ПМВГ-0,35 мм2 (500 м), МГШВЭ-0,35 мм2 (50 м), МГШВЭ2хО,35 мм2 (50 м).
Приборы ФА, ЦУ,
ЛУУ, БСК, ВУ, ЗБ поставляются заводом согласно заказу отдельно от статива. Все
остальные комплектующие изделия поставляются вместе со стативом.
|
|
Таблица 32
Наименование и тип приборов, размещенных в стативах ТП
|
Условное обозначение на рис. 45 |
Наименование прибора |
Тип прибора |
|
ЦДМ-4 |
Демодулятор центрального поста |
ЦДМ-4, черт. 601.33.27 |
|
1ЦУ |
Усилитель |
ЦУ-И, черт. 601.33.53 |
|
2ЦУ |
Усилитель |
ЦУ-III, черт. 601.33.54 |
|
ЗЦУ |
Усилитель |
ЦУУ, черт. 601.33.76 |
|
ЛУ |
Усилитель |
ЛУУ, черт. 601.33.71 |
|
ТПЧ |
Преобразователь частоты |
ТПЧ, черт. 601.33.78 |
|
1ФА—ЗФА |
Фильтр |
ФА, черт. 601.33.41 |
|
TV1,TV2 |
Трансформатор |
Черт. 644.17.92 |
|
ЗБ |
Блок защитный |
ЗБ-2, черт. 145.00.00 |
|
ВУ |
Устройство выпрямительное |
ВУ-14/1,5, черт. 532.00.04 |
|
ЦГ-2 |
Генератор центрального поста |
ЦГ-2; черт. 601.32.56 |
|
R2* |
Резистор |
7157; 14 0м |
|
R3* |
Резистор |
ПП2-11-470Ом± 10%; |
|
R4* |
Резистор |
1-СП-М-2-А-10кОм±10% |
|
R5* |
Резистор |
1-СП-2-А-10кОм±10% |
|
R6* |
Резистор |
МЛТ-0,5 Вт-22 кОм ±10% |
|
R7—R10 |
Резистор |
МЛТ-0,5 Вт-160 Ом ± 10% |
|
R11 |
Резистор |
МЛТ-0,5 Вт-39 Ом ±10% (2 шт. включаются параллельно) |
|
R12 |
Резистор |
МЛТ-0,5 Вт-68 Ом ±10% |
|
V* |
Вольтметр |
М4200 |
|
SB1—SB3* |
Выключатель |
ПВ-2-10; I исполнение |
|
SB4* |
Переключатель |
23П4Н1 |
|
SB5, SB6* |
Тумблер |
ТП1-2 |
|
Гн1—Гн16 |
Гнездо |
Черт. 735.70.50 |
|
VD* |
Диод |
Д226Б |
|
ИП |
Прибор измерительный |
М4200, черт. 619.91.00 |
|
FU1, FU2 |
Предохранитель |
№ 20876; 1А |
|
U3—FU7 |
Предохранитель |
№ 20876; 0,5А |
|
FU8—FU23 |
Разрядник |
РВНШ-250 |
* Установлены в линейно-вводном щитке (черт. 601.03.91).
Таблица 33
Наименование и тип приборов, размещенных в стативах ИЦ
|
Условное обозначение на рис. 46 |
Наименование прибора |
Тип прибора |
|
ТПЧ |
Преобразователь частоты |
ТПЧ, черт. 601.33.78 |
|
1БДС, 2БДС |
Блок диодный соединительный |
БДС, черт. 601.33.17 |
|
1БТГР—ЗБТГР |
Блок триггерный групповой |
БТГР, черт. 601.33.18 |
|
ГИ |
Блок групповой избирательный |
ГИ, черт. 601.33.19 |
|
ВУ |
Устройство выпрямительное |
ВУ-14/1,5, черт. 532.00.04 |
|
ЛШ |
Шифратор линейный |
ЛШ1,черт. 601.33.13 |
|
ЛУУ |
Усилитель линейный |
ЛУУ, черт. 601.33.77 |
|
ЛГИ, ЛПИ |
Генератор линейный II и III каналов |
ЛГИ (черт. 601.33.49); ЛГШ (черт. 601.33.50) |
|
ЛДМ |
Демодулятор линейный |
ЛДМ2, черт. 601.33.68 |
|
TV1.TV2 |
Трансформатор |
Черт. 644.17.92 |
|
FU3, FU4 |
Предохранитель |
1А, черт. 20876.00.00 |
|
FU1, FU2 |
Предохранитель |
5А, черт. 20876.00.00 |
|
VD1, VD2, VD4.VD5, VD6 |
Диод |
Д226Б |
|
С1.С2, СЗ |
Конденсатор |
МБМ-160В-1 мкФ±10% |
|
R31—R48, R4, R57 |
Резистор |
МЛТ-1 Вт-1 кОм +10% |
|
R29, R30 |
Резистор |
14 0м, 1А, черт. 7157.00 |
|
R11—R28, R58 |
Резистор |
МЛТ-1 Вт-360Ом±10% |
|
R7, R8 |
Резистор |
МЛТ-2Вт-100Ом±10% |
|
R5, R6 |
Резистор |
МЛТ-1 Вт-51 Ом ±10% |
|
R1, R2, R3 |
Резистор |
МЛТ-1 Вт-510Ом±10% |
|
ПОИ; П1И, П2И |
Реле |
ИР5-1800 с нейтральной регулировкой |
|
1-10 |
Реле |
КДРШ1, черт. 617.00.06 |
|
1Р—18Р |
Реле |
КДРШ1, черт. 617.00.15 |
|
ПА |
Реле |
КДРШ1, черт. 617.00.14 |
|
А, Ц, ОК |
Реле |
КДРШ1, черт. 617.00.25 |
Продолжение табл. 33
|
Условное обозначение на рис. 46 |
Наименование прибора |
Тип прибора |
|
АПИ, КР |
Реле |
КДРШ1, черт. 617.00.18 |
|
РП |
Реле |
КДРШ1,черт. 617.11.16 |
|
ЩЛВ |
Щиток линейно-вводный |
Черт. 601.03.92 |
|
Гн1—Гн7 |
Гнездо измерительное |
Черт. 735.70.50 |
|
Л1—Л20 |
Лампа коммутаторная |
КМ24-90 |
|
SB1—SB24 |
Тумблер |
ТП1-2 |
|
SB25, SB26 |
Переключатель щеточный |
ПР15-3-24 |
|
SB27, SB28 |
Выключатель пакетный |
ПВ2-10 |
|
R55 |
Резистор |
МЛТ-1 Вт-160 кОм ±10% |
|
R54 |
Резистор |
МЛТ-1 Вт-82 кОм ±10% |
|
R53 |
Резистор |
МЛТ-1 Вт-39кОм±10% |
|
R52 |
Резистор |
МЛТ-1 Вт-20 кОм ±10% |
|
R51 |
Резистор |
МЛТ-1 Вт-10кОм±10% |
|
R49, R50, R59, R60 |
Резистор |
ПП2-14-20кОм ±10% |
|
R9, R10 |
Резистор |
ПП2-11-470Ом±10% |
Таблица 34
Наименование и тип приборов, размещенных в стативах УП
|
Условное обозначение на рис. 47 |
Наименование прибора |
Тип прибора |
|
1ФА—ЗФА |
фильтр |
ФА, черт. 601.33.41 |
|
1ЦУ |
Усилитель II канала |
ЦУ-П, черт. 601.33.53 |
|
2ЦУ |
Усилитель III канала |
ЦУ-Ш, черт. 601.33.54 |
|
ЗЦУ |
Усилитель IV канала |
ЦУ-IV, черт. 601.33.55 |
|
ЛУУ |
Усилитель линейный |
ЛУУ, черт. 601.33.77 |
|
1БСК, 2БСК |
Блок согласования каналов |
БСК, черт. 601.33.94 |
|
ВУ |
Устройство выпрямительное |
ВУ-14/1,5, черт. 532.00.04 |
|
ЗБ |
Защитный блок |
ЗБ-2, черт. 145.00.00 |
Продолжение
табл. 34
|
Условное обозначение на рис. 47 |
Наименование прибора |
Тип прибора |
|
R42* |
Резистор |
ПП2-12-10кОм ±10% |
|
R43* |
Резистор |
ПП2-11-10 кОм±10% |
|
R1, R20-R23, R39 |
Резистор |
МЛТ-0,5 Вт-1 кОм±10% |
|
R2, R15, R77, R19, R36-R38* |
Резистор |
МЛТ-0,5 Вт-620 Ом ±10% |
|
R3, R5, R24, R26* |
Резистор |
МЛТ-0,5 Вт-120 Ом ±5% (2 шт. включены параллельно) |
|
R6, R8, R27, R29* |
Резистор |
МЛТ-0,5 Вт-120 Ом ±5% |
|
R4, R25* |
Резистор |
МЛТ-0,5 Вт-3 кОм ±5% |
|
R7, R16, R28* |
Резистор |
МЛТ-0,5 Вт-1,5 кОм ± 5% |
|
R9, R11.R30, R32* |
Резистор |
МЛТ-0,5 Вт-240 Ом ± 5% |
|
R10, R31* |
Резистор |
МЛТ-0,5 Вт-750 Ом ±5% |
|
R12, R14, R33, R35* |
Резистор |
МЛТ-0,5 Вт-390 Ом ±5% |
|
R13, R34* |
Резистор |
МЛТ-0,5 Вт-270 Ом ±5% |
|
R18 |
Резистор |
МЛТ-0,5 Вт-160 Ом ±10% |
|
R40* |
Резистор |
МЛТ-0,5 Вт-22 кОм ±10% |
|
R41 |
Резистор |
14 0м, черт. 7157.00 |
|
Np |
Прибор измерительный |
Черт. 619.90.68 |
|
V* |
Вольтметр |
М4200; 0-30 В |
|
SB1* |
Выключатель |
ПВ-2-10 |
|
SB2, SB3* |
Переключатель |
ТП1-2 |
|
SB4* |
Переключатель |
23ПЧН1 |
|
VD1* |
Диод |
Д226Б |
|
FU1—FU8 |
Предохранитель |
0,5 А, черт. 20876.00.00 |
|
FU9, FU10 |
Предохранитель |
1 А, черт. 20876.00.00 |
|
FU11—FU34 |
Разрядник |
РВНШ-250 |
|
TV1— TV7 |
Трансформатор |
Черт. 644.17.92 |
* Установлены в линейно-вводном щитке (черт. 601.03.96).
.33. Статив типа О «НЕВА»
Схема расположения приборов в стативе типа О и их обозначение по принципиальной схеме (вид с лицевой стороны статива) показаны на рис. 48.
Наименование, номер чертежа и количество приборов статива О приведены в табл. 35.
|
|
Таблица 35
Приборы статива О
|
Наименование прибора |
Номер чертежа |
Количество (шт.) |
|
Блок диодный БДС |
601.33.17 |
10 |
|
Приставка замедляющая полупроводниковая: |
|
|
|
ЗПР-Ш |
651.31.37 |
1 |
|
ЗПР-2 |
651.31.42 |
1 |
|
Реле: |
|
|
|
КДРШЗМ |
615.44.14(615.44.11—20) |
8 |
|
КДРШЗМБ |
615.47.01(615.47.01 — 10) |
5 |
|
КДРШ1 |
617.00.23(617.00.21—30) |
15 |
|
КДРШ1 |
617.11.14(617.11.11—20) |
4 |
|
КДРШ1 |
617.11.23(617.11.21—30) |
38 |
|
КДРШ1 |
617.14.01(617.14.01—10) |
72 |
Резисторы, предохранители, панели (черт. 767.27.32) и т. п. поставляются в соответствии со спецификацией.
Для монтажа статива О «Нева» используется монтажный провод ПМВГ-0,75 мм2 (230 м), ПМВГ-0,35 мм2 (1700 м), ПМВГ-0,2 мм2 (1300 м), ПРГ2.5-380 (5 м).