11.2. Новые разработки для повышения безопасности, производительности и качества ремонта тормозной техники
В последние годы, как отмечалось выше, в отрасли стали широко внедряться новые технологии по эксплуатации и ремонту тормозных приборов. Значительное количество таких разработок выполнено на ряде предприятий Екатеринбурга, часть которых выделилась из состава Уральского государственного университета путей сообщения (УрГУПС). Особенностью этих предприятий является обязательное применение микропроцессорной техники, компьютеров и других современных элементов. Некоторые из разработок, получившие наибольшее распространение, были рассмотрены ранее (КМДУ, САУТ, УЗОТ). Функциональное назначение других, наиболее перспективных и известных на сети дорог, приведено ниже.
АО «НПП ТОРМО» выпускает пневмоэлектронные стенды для испытания и приемки главных и магистральных частей ВР грузового типа № 483, 270 после их ремонта (УКВР). Время испытания составляет 130 с при автоматическом выявлении неисправностей без обращения к эталонным частям и увеличенной программе проверки.
Аналогичными параметрами с высокой степенью автоматизации процессов обладают и устройства У КАР и УКРП, которые предназначены соответственно для проверки характеристик грузовых
АР № 265А-1 по 24 параметрам за 4 мин и авторегуляторов рычажных передач № 574Б, 536М и РТРП-675 по пяти параметрам. Система испытания тормозного оборудования вагонов (СИТОВ), разработанная на этом же предприятии, позволяет за 25 мин полностью проконтролировать 14 основных тормозных показателей вагона после его ремонта в автоматическом режиме с записью параметров в ПЭВМ.
Другое предприятие, ФГУП ИЦ «Спектр», выпускает под руководством В.Е. Попова тренажерные комплексы для машинистов, позволяющие приобрести навыки оптимального вождения поездов с учетом средней участковой скорости, продольно-динамических усилий, расхода электроэнергии и ряда других важных показателей. В перспективе на таких тренажерах локомотивная бригада перед рейсом в ускоренном режиме будет имитировать проведение по участку сформированного в парке отправления поезда и получит рекомендации относительно правильности своих действий. Кроме этого в ИЦ «Спектр» разработан ряд программных комплексов по автоматической расшифровке скоростемерных лент, анализу нештатных поездных ситуаций, ремонту, обслуживанию и эксплуатации подвижного состава, а также широкий спектр обучающих программ.
Перспективным в плане совершенствования тормозных систем грузовых вагонов нового поколения для скоростей движения 120—140 км/ч и нагрузок на колесную пару более 160 кН является раздельное торможение каждой тележки от отдельного ТЦ, а при их неравномерной загрузке применение отдельных АР. Это упрощает и облегчает рычажную передачу, повышает ее эффективность. Высокие температурные режимы при этом требуют перехода на двухстороннее нажатие композиционных тормозных колодок или применения секционных колодок при одностороннем нажатии [27].
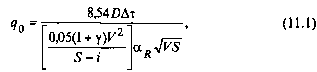
Предельная статическая нагрузка на колесную пару при этом определяется тепловыми характеристиками тормоза по формуле

где Ат — предельно допустимое повышение температуры на поверхности
катания колеса (450 °С);
V— максимальная скорость, м/с;
5 — тормозной путь, м;
аЛ — коэффициент распределения тепловых потоков; Б — диаметр колеса, м.
Тепловая мощность выделяемая на одной тормозной колодке, не должна превышать 70 кВт, она определяется следующим образом

Расчеты по приведенным формулам подтверждают необходимость указанной выше модернизации тормозных систем создаваемых грузовых вагонов.
Для перспективных АР требуется применение специального рычажного привода, позволяющего регулировать давление в ТЦ порожнего вагона в зависимости от его тары, а также с целью увеличения диапазона изменения этого давления до 90—95 % от полной загрузки. При этом на каждый ТЦ должно приходиться не менее одного авторегулятора рычажной передачи, а при многоцилиндровых схемах целесообразно, чтобы они были встроенными в ТЦ.










