9.3.2. Расчет тормозного пути по интервалам времени
В связи с заменой реальной диаграммы наполнения ТЦ на скачкообразную рассмотренный выше метод дает удовлетворительную точность расчетов при скоростях до 40 км/ч и на спусках до 20 %о. Если остановка поезда происходит до наполнения ТЦ, то указанная замена диаграмм приводит к ошибке, заключающейся в увеличении тормозного пути.
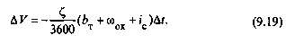
Более точным и универсальным способом расчета длины тормозного пути является метод интегрирования уравнения движения поезда (2.4) по интервалам времени. В нем изменение скорости АУв интервале А* определяется по формуле
Если принять Д*=3 с, £=120 кмкН/ч2 • Н, а (*т+шох+/с)=С, получится Л К=-0,1 С, км/ч. Зная предыдущую расчетному шагу скорость движения Уп и получив среднюю, находят приращение длины тормозного пути Д5Т в интервале А/
(9.20)
Расчет шох для средней скорости ведут по формулам (9.12) — (9.18), как показано выше, а 6Т — по (3.13), в которой изменение расчетного тормозного коэффициента во времени для различных видов подвижного состава и способов торможения приведено в таблицах [24].
Полученные таким образом отрезки Д5Т последовательно суммируют для определения полного тормозного пути. Результаты расчетов целесообразно заносить в таблицу, аналогичную представленной ниже, где приведены данные для пассажирского поезда [24].
Таблица 9.3
Результаты расчета длины тормозного пути поезда по интервалам времени
|
А*, с |
«К |
Фч> |
Ьг, Н/кН |
и'ох, Н/кН |
к %о |
С Н/кН |
км/ч |
У, км/ч |
Ус км/ч |
А5т,м |
5т, м |
|
0—3 |
0 |
0,09 |
0 |
4,5 |
-5 |
0,5 |
+0,05 |
100,0 |
100 |
83 |
83 |
|
3—6 |
0,21 |
0,09 |
19 |
4,5 |
-5 |
8,5 |
-1,85 |
98Д |
99 |
82 |
165 |
|
6—9 |
036 |
0,09 |
33 |
4,3 |
-5 |
2,5 |
-3,30 |
94,3 |
% |
80 |
245 |
|
42-45 |
0,60 |
0,16 |
% |
1,6 |
-5 |
2,6 |
-9,3 |
15,1 |
20 |
17 |
833 |
|
45-^9 |
0,60 |
ОД) |
120 |
1,3 |
-5 |
1163 |
-15,1 |
0 |
10 |
11- |
844 |
Известны еще три отечественных метода расчета тормозного пути: аналитический, использующий интегрирование уравнения движения поезда при установившемся торможении, графический и метод расчета по номограммам. Первый из перечисленных сложнее рассмотренных выше и требует дополнительных вычислений подготовительного пути 5П. Второй применяется для построения графиков движения поездов.










