4.6.4. Расчет элементов тормозных приборов

Рис. 4.47. Уплотнительная диафрагма: а — без приемных конусов; б — с приемными конусами
ром на рабочие органы, связанные с диафрагмой (остальная часть этого пояса передает силу давления на корпус). При известных диаметрах наружного /) и внутреннего й зажимов рабочая площадь ^ определяется по формуле [14]
(4.39)
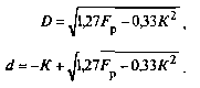
Часто бывает необходимо определить геометрические размеры диафрагмы /) по заданной рабочей площади ¥р. Для этого, задавшись диаметром центральной шайбы </, можно использовать выражение
(4.40)
Если же заданы ширина гибкого пояса К=0,5(£)-аг) и рабочая площадь, то большой и малый диаметры находятся так:

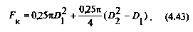
Для устойчивой работы клапаны обычно нагружаются пружинами. При расчетах усилий, действующих на клапан, его рабочая площадь определяется как сумма площадей закрываемого отверстия и 0,25 части поверхности, закрытой в месте контакта клапана с седлом (рис. 4.48).

Рис. 4.48. Схема к расчету рабочей площади клапана
Для надежного уплотнения клапана, особенно при действии под ним повышенного давления, необходимо использовать поджимающие пружины с усилием на 50—70 % выше расчетного, чтобы обеспечить достаточную плотность при максимальных перепадах давлений. Расчет пружин, применяемых в тормозных приборах, рекомендуется выполнять по формулам
(4.44)

(4.45)
(4.46)
(4.47)
где /— прогиб пружины, м;
£) — средний диаметр витка, м;
Р, Ртах — соответственно рабочее и максимальное усилие, Н;
ир— число рабочих витков;
б— модуль сдвига (для стали 8 1010 Н/м2);
а"—диаметр проволоки, м;
т — напряжение на кручение, Н/м2.
Для тормозных приборов не рекомендуется превышать напряжение на кручение 6-Ю8 Н/м2 при сжатии пружин до соприкосновения витков. Пружину следует проектировать с минимальной жесткостью за счет максимально возможного по конструктивным условиям числа витков.
В автотормозной технике для определения уровней или темпов изменения давлений в рабочих объемах и камерах возникает потреб-
ность в расчетах калиброванных отверстий. Для этого можно использовать известную в термодинамике формулу расхода воздуха [15]

где ц — коэффициент расхода воздуха (для отверстий диаметром 0,0005— 0,0012 м принимается 0,90—0,95);
/ — площадь сечения калиброванного отверстия, м2;
у — отношение теплоемкости воздуха при постоянном давлении к теплоемкости при постоянном объеме (у = 1,41);
Рь— абсолютное давление среды, откуда происходит истечение, МПа;
Ри — абсолютное давление среды, куда происходит истечение, МПа;
ув — удельный объем воздуха, м3/Н.
Массовый расход воздуха определяется по приведенной форму-
Р
ле при — > 0,53. При меньших значениях этого отношения вели-
н
чина весового расхода остается постоянной и равной тому, кото-
р
рый имеет место при —5- = 0,53.
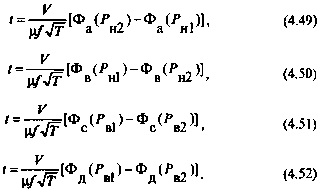
Из уравнения расхода воздуха получены формулы для расчета времени истечения при зарядке резервуара из источника постоянного давления или разрядке в среду с постоянным давлением [15]

Формулы (4.12) и (4.13) используют в расчетах при зарядке, а (4.14) и (4.15) при разрядке резервуаров; (4.12) и (4.14) в области сверхкритического истечения при Рн < 0,53 Рв, а (4.13) и (4.15) для докритического истечения при Рн > 0,53 Рв. Функции Фа, Фв, Фс и Фд имеют следующий вид

При расчете сечений отверстий в зоне докритического или сверхкритического истечения можно сразу определить их площадь, используя приведенные выражения при заданном времени /. Когда процесс истечения переходит из одной зоны в другую, приходится определять искомую площадь калиброванного отверстия подбором. Необходимо трижды задаться размерами отверстия, подсчитать для них значение и построить зависимости / = Ф(/), по которым графической интерполяцией отыскать / по заданному /.
Приведенные выражения позволяют решать и обратные задачи: по известной площади сечения отверстия находить время истечения или при заданных площади и времени — объем резервуара, в который или из которого происходит истечение среды.










