4.5.5. Влажность сжатого воздуха и пути ее снижения
Относительная влажность сжатого воздуха, поступающего в тормозную магистраль, не должна превышать 85 %. Значит, в воздухе допускается содержание 85 % насыщенного пара при данной тем-
пературе (1 м3 воздуха весит 13 Н). Атмосферный воздух в сухую погоду находится в ненасыщенном состоянии, при котором в данном объеме содержится меньше пара, чем он может иметь при данной температуре. В полностью насыщенном влагой воздухе возникает туман и выпадает роса.
Так как вода, в отличие от воздуха, практически несжимаема, то при уменьшении объема последнего даже в два раза возникает перегретый пар, который переходит через так называемую точку росы, которой можно достичь и при снижении температуры. Влажность поступающего в ТМ воздуха пропорциональна разнице давлений и температур в ГР и ТМ.
Если нецелесообразно снижать эту разность давлений по условиям эффективного отпуска тормозов менее чем на 0,2 МПа, то охладить воздух в ГР до температуры на 2—3 °С выше по сравнению с окружающей средой необходимо и возможно. Наиболее приемлемым способом для этого является создание так называемого охлаждающего контура между компрессором и ГР, выполненного в виде длинной трубы, проложенной с небольшим наклоном для сбора конденсата.
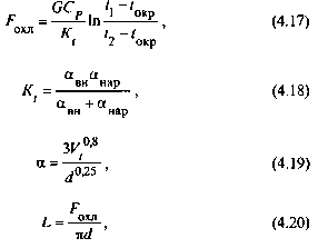
Площадь охлаждения этой трубы Гохл (м2) определяется по формуле, полученной из уравнения теплового баланса [4],

где (7 — массовый расход воздуха, подаваемого от компрессора, Н/с; Ср — удельная теплоемкость воздуха, Дж/НК;
К( — коэффициент теплоотдачи охлаждающей трубы, Вт/м2К, К — абсолютная температура;
/2> 'окр — температура воздуха соответственно на выходе компрессора, поступающего в ГР, окружающей среды;
авн — коэффициент теплоотдачи между воздухом и внутренней стенкой охлаждающей трубы, Вт/м2К;
анар — коэффициент теплоотдачи между наружной стенкой охлаждающей трубы в окружающую среду, Вт/м2К;
К, — скорость движения воздуха в трубе или снаружи ее;
с1—диаметр трубы, м;
Ь — длина охладительной трубы, м.
В большинстве случаев длина трубы охладительного контура при ее диаметре, равном диаметру ТМ, для реальных локомотивов составляет 12—15 м.
Кроме рассмотренного метода осушения воздуха существуют еще два, применяемые на железнодорожном транспорте: с помощью силикагеля и спиртоосушителей. Однако первый требует периодической регенерации (восстановления), а второй — тщательного контроля за расходованием спирта.










