![]() |
|
12.1.
Аэродинамические устройства
Аэродинамические
устройства предназначены для улучшения аэродинамических свойств
токоприемников, зависящих от воздействий воздушного потока, скорость которого
определяется как сумма скорости движения поезда vT и скорости встречного vBX
и бокового v
ветра. В результате воздействия воздушного потока возникают дополнительная
аэродинамическая составляющая контактного нажатия РВТ и лобовое
сопротивление токоприемника РВТХ.
Это ухудшает качество токосъема и увеличивает сопротивление движению поезда.
Аэродинамические
устройства можно подразделить на три группы: уменьшающие лобовое сопротивление
токоприемника, что достигается применением более обтекаемых форм его элементов
и узлов; экранирующие — отводящие потоки воздуха из рабочей зоны токоприемника
(экраны, устанавливаемые на крыше ЭПС) и компенсирующие аэродинамическую
подъемную силу (управляемые или неуправляемые крылья или экраны,
устанавливаемые непосредственно на токоприемнике).
Аэродинамическими
устройствами оборудованы все скоростные токоприемники за рубежом. В России такое
нерегулируемое устройство для токоприемника Сп-6М, установленного на электровозе
ЧС200, выполнено в виде двух экранов, закрепленных на верхней части системы
подвижных рам. Экраны работают поочередно, в зависимости от направления
движения ЭПС.
Аэродинамическая
характеристика (подъемная сила) представляет собой зависимость аэродинамической
составляющей контактного нажатия от скорости и угла атаки воздушного потока и
от высоты подъема токоприемника.
В соответствии с
требованиями стандарта аэродинамическое воздействие на
рабочий (для электровоза задний по ходу) токоприемник
ЭПС не должно вызывать увеличения нажатия по сравнению со средним статическим
более чем в 1,8 раза при скорости обдува 44,5 м/с для токоприемников типа Л и
33,3 м/с типа Т.
Неработающий
токоприемник должен надежно удерживаться в опущенном положении при движении
ЭПС со скоростью 160 км/ч (скорость обдува 44,5 м/с); кроме этого должна быть
обеспечена возможность подъема и опускания токоприемника при движении ЭПС со
скоростью 120 км/ч и встречном или боковом ветре до 10 м/с.
Аэродинамическую
характеристику определяют при продувках в аэродинамической трубе, располагая
полоз на высоте, соответствующей середине рабочего диапазона токоприемника,
при углах атаки 1° и 3° в диапазоне скоростей обдува от 11,1 до 44,5 м/с
(40—160 км/ч) через каждые 5,5 м/с. Построение характеристики для больших
расчетных скоростей воздушного потока осуществляют графическим методом.
Допускается замена
испытаний в аэродинамической трубе линейными испытаниями, для чего токоприемник
устанавливают на вагон-лабораторию, приводимую в
движение автономным локомотивом (например, тепловозом). При линейных испытаниях
проверяют подъем и опускание токоприемника во всем диапазоне скоростей до 120
км/ч (через каждые 5,5 м/с), встречном ветре до 10 м/с
и высоте контактного провода 6250—6500 мм.
Провести точный расчет
аэродинамических характеристик токоприемника как плохообтекаемой конструкции
достаточно сложно из-за турбулентности потоков воздуха, их неоднородности и
срывов вихрей. Приближенные расчеты основаны на определении сил Pj, действующих
на отдельные элементы токоприемника:
Pi = ci si v 2ВТ /16; PBTxi
= Pt cos α;
PВТi
= Pi sin a, (12.6)
где сi,
sj — коэффициенты сопротивлений и миделевые сечения i-x
элементов токоприемника, а α — угол атаки. Тогда лобовое сопротивление и аэродинамическая подъемная токоприемника, состоящего из к
элементов:
(12.7)
12.2. Коэффициенты вязкого трения систем подвижных
рам токоприемников
Демпфирующие
устройства применяют для отбора энергии от колеблющейся системы «токоприемник —
контактная подвеска», снижения амплитуд перемещений и уменьшения колебаний
контактных нажатий до допустимых пределов.
Преимущества
демпфирования колебаний токоприемника, а не контактной подвески следующие: 1) требуется
значительно меньшее количество амортизаторов, причем нужны они только на
скоростном ЭПС; 2) текущее содержание становится элементом обычных
периодических работ, выполняемых в депо; 3) влияние температуры
окружающего воздуха на характеристики амортизаторов уменьшается, поскольку в
системе токоприемника они работают, нагреваясь при этом почти непрерывно (на
контактной сети они работают только время от времени).
Демпфирующие
устройства устанавливают либо в верхнем узле токоприемника, либо в системе
подвижных рам (рис. 12.8).
Гидравлическими
амортизаторами, демпфирующими колебания системы подвижных рам, оборудованы все
скоростные токоприемники во Франции, Германии, Италии и Японии. В России демпфирующие устройства также применяются на токоприемниках
скоростного ЭПС (ЭР200, ЧС200).
Экспериментальное
определение сил и коэффициентов вязкого трения систем подвижных рам токоприемника
необходимо для улучшения токосъема и может быть достигнуто только при
конкретных оптимальных значениях коэффициента вязкого трения рам г и
приведенной к верхнему шарниру демпфирующей силы рам Р
Универсальный метод расчета характеристики демпфирующего устройства
(независимо от типа демпфера) включает в себя методику академика А. Н. Крылова,
несколько усовершенствованную для учета несимметричности демпфирования.
Допустим, что известна
виброграмма колебаний массы на пружине с известной жесткостью. Затухание
размахов колебаний Аг массы т на измерительной пружине с жесткостью ж
происходит одновременно от действия сил сухого трения W
и вязкого сопротивления г,
пропорциональных любым степеням скорости перемещения. Тогда уменьшение амплитуды
за полупериод (для учета несимметричности демпфирования) будет равно
(12.8)
где 2 W/ж —
уменьшение амплитуды за счет действия силы сухого трения;
Δzs — уменьшение амплитуды за счет силы вязкого
сопротивления, пропорциональной скорости перемещения в степени s.
В общем виде для любой
степени скорости перемещения
(12.9)
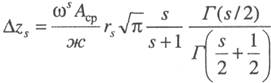
где ω= (ж/т)0,5 — круговая частота собственных колебаний;
Аср =
(z1
+ z2)/2
— средняя амплитуда половины периода;
rs — параметр демпфирования;
Г (s/2)
— Эйлеров интеграл второго рода;
s — показатель степени скорости перемещения.
Уменьшение амплитуды Az необходимо записывать
как систему уравнений относительно набора неизвестных параметров rs и W, которая
решается обычными методами.
Так, например, по
виброграммам колебаний токоприемника TJ1-14M, оборудованного в ОмГУПСе демпферами типа ВАЗ,
при движении вверх получено W = 1,4H; Рдр
= -1,64Hр
+1,06H2р.
Стандарт не
регламентирует характеристики демпфирующих устройств, поэтому их расчет
необходимо проводить для каждого вновь разрабатываемого токоприемника с учетом
его параметров и эксплуатационных скоростей.

Рис. 12.8. Классификация
демпфирующих узлов токоприемников