![]() |
|
11.3. Ветровые отклонения проводов и допустимые длины
пролетов
простых контактных подвесок и ЛЭП
Величина
горизонтального отклонения провода при простой подвеске легко может быть
определена на основании ранее выведенных соотношений.
При действии на провод
вертикальной g
и горизонтальной рк нагрузок, провод расположится в наклонной
плоскости, как показано на рис. 11.3, где дан поперечный разрез провода в
пролете.
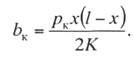
Обозначив через Ьк
величину горизонтального отклонения провода в данной точке и через у провес
провода в этой точке в направлении результирующей силы q, из
подобия треугольников получим
(11.1)
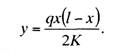
Величина провеса
провода в любой точке пролета согласно (3,24) может быть определена выражением

Подставив это значение y выражение (11.1),
получим:
(11.2)
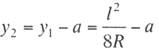
Для средней точки
пролета, где стреле провеса провода f будет
соответствовать наибольшее горизонтальное отклонение провода bк
max
из выражения (11.2) получим
(11.3)
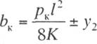
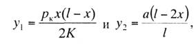
При зигзагообразном
расположении контактного провода отклонение его от оси пути будет определяться
суммой отклонений у1 и у2 (рис. 11.4),
величины которых могут быть найдены из выражений
где а — величина зигзага провода.

Рис. 11.3. Схема расположения
провода при отклонении его ветром

Рис. 11.4. Схема
расположения отклоненного ветром провода на прямой при главных зигзагах: 1 —
ось пути и токоприемника; 2,3 — неотклоненное и отклоненное
положение контактного провода; 4 — опора
Отсюда получим значение
отклонения провода bк
от оси пути в любой точке пролета, расположенной на
расстоянии x
от опоры:
(11.4)
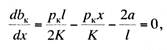
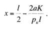
Приравнивая к нулю
первую производную Ьк и определяя из полученного уравнения
значение л; находим расстояние от опоры, при котором отклонение контактного
провода от оси пути будет наибольшим:

откуда

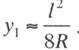
После подстановки этого
значения х в выражение
(11.3) получим
(11.5)
В том случае, если
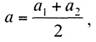
провод имеет различные зигзаги а1 и а2,
величина наибольшего его отклонения определится следующим образом. Обозначим
через а среднюю величину зигзага контактного провода:
тогда согласно рис. 11.5 получим:
(11.6)
Величина наибольшего
отклонения провода в пролете может быть определена при этом согласно (11.5) и
(11.6) из выражения
(11.7)
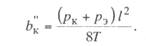
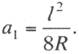
Если в выражении (11.5)
положить bк
max = bк доп
и решить это уравнение относительно l, то получим выражение
для определения наибольшего пролета провода на прямых участках при данных рк,
а, К и bк
доп
(11.8)

Рис. 11.5. Схема расположения отклоненного ветром
провода на прямой при неравных зигзагах: 1 — ось пути и токоприемника; 2
— неотклоненный провод; 3 — отклоненный ветром провод; 4 — опора
На кривых
участках вынос контактного провода выполняется в одну и ту же сторону от оси
пути на обеих опорах, ограничивающих участок кривой. При отклонении провода
ветром на кривой он занимает положение, показанное на рис. 11.6.
Величина стрелки кривой
оси пути ух может быть определена из схемы, представленной на
рис. 11.7.
Из прямоугольного
треугольника ABC имеем:

откуда получим:

Величина отклонения
провода от оси пути у2 при отсутствии ветра определится как
(см. рис. 11.6)
(11.9)

Рис. 11.6. Схема расположения отклоненного ветром
провода на кривой: 1 — ось пути и токоприемника; 2 — неотклоненный провод;
3 — отклоненный ветром провод; 4 — опора; 5— хорда кривой пути
При действии
ветра на провод величину наибольшего отклонения провода от оси пути можем
определить согласно рис. 11.6 из выражения

где знак плюс соответствует
направлению ветра внутрь кривой, а знак минус — на внешнюю сторону кривой.
Наибольшее отклонение провода от оси токоприемника получается в этом случае при
ветре, направленном внутрь кривой, и оно равно

откуда после подстановки значения y2
из выражения (11.9) получим
(11.10)
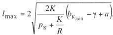
Значения наибольших
допускаемых пролетов на кривых участках пути получим, приняв в выражении
(11.10) bк
max
= bк
доп и решив его относительно lmax.
После
несложных преобразований получим:
(11.11)
На кривых больших
радиусов значения lmax
по формуле (11.11) при нормальных выносах провода у опор получаются больше пролета
lmax,
определенного по формуле (11.8) для прямых участков. Однако в практике
проектирования ограничивают длину пролетов на таких кривых наибольшей длиной
пролета, установленной для прямых участков, исходя из которой определены
габаритные размеры опор и размещение на них поддерживающих устройств. Величину
выносов провода a1
у опор в таких случаях определяют из условия, чтобы провод в середине пролета
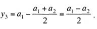
располагался по оси токоприемника. Как видно из рис. 11.6, это будет тогда,
когда

Решая это уравнение относительно a1, получим
(11.12)

Рис. 11.7. Схема для
определения стрелки кривой пути
Все приведенные выше
выражения были выведены без учета смещений точек крепления провода на опорах
при ветре (вследствие прогиба опор и пр.). Но если обозначить величину этих
смещений через у, приведенные выше формулы примут вид:
– для прямых участков
при расположении контактного провода с зигзагом а
(11.13)
(11.14)
– для кривых участков
(11.15)
(11.16)
11.4. Ветровые
отклонения проводов и допустимые длины пролетов
цепных
контактных подвесок
В цепной подвеске отклонение контактных проводов
определяется с учетом влияния несущего троса, на который действует нагрузка рт
. При различных отклонениях несущего троса и контактного провода струны
принимают наклонное положение в перпендикулярной оси пути плоскости и передают
часть ветровой нагрузки с троса на контактный провод или обратно (в зависимости
от того, какой из этих проводов имеет большее горизонтальное отклонение).
Точный учет
взаимодействия несущего троса и контактного провода при ветровом отклонении
представляет значительные трудности. Ниже приводится вывод приближенных формул
для ветрового расчета цепной подвески, основанных на сравнительно простых
допущениях и дающих в то же время вполне достаточную для практических целей
степень точности.
В качестве основного
допущения принимается, что контактный провод и несущий трос
взаимодействуют между собой (в отношении перераспределения между ними ветровой
нагрузки) лишь в средней части пролета, равной половине общей его длины.
Нагрузка, передающаяся с контактного провода на несущий трос (или обратно),
принимается на этом участке пролета равномерно распределенной.
Если принять длину
струн в этой части пролета постоянной и равной среднему ее значению, то
принятое допущение является равносильным тому, что все струны в средней части
пролета имеют при ветре одинаковый угол наклона (в направлении поперек пути) и
разность ветровых отклонений контактного провода и несущего троса остается в
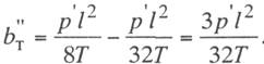
этой части пролета неизменной. Тогда для какого-либо поперечного сечения
подвески в средней части пролета (рис. 11.8) можно написать:

где е — разность отклонений
контактного провода и несущего троса в средней части пролета;
р'— равномерно распределенная нагрузка в средней части пролета,
передающаяся с контактного провода на несущий трос (или обратно);
gK — нагрузка от веса контактного провода;
с' — расстояние по вертикали от контактного провода до несущего
троса.
В дальнейшем ввиду
относительно малых значений угла наклона струн к вертикали принимаем с' равным
средней длине струны С, т.е. полагаем, что
(11.17)
Среднюю длину
струны в средней части пролета, равной половине общей его длины, определим из
выражения
(11.18)
где Ст — длина струны в
середине выбранного пролета;
F0
— стрела провеса несущего троса при беспровесном положении
контактного провода.

Рис. 11.8. Схема приложения
нагрузок к проводам цепной подвески, отклоненной ветром
В зависимости от
конструктивной высоты цепной подвески h величина С определяется выражением
(11.19)
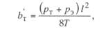
Величину
горизонтального отклонения несущего троса b’T под действием равномерно
распределенной нагрузки р', приложенной на среднем участке пролета длиной
l/2
(рис. 11.9), определим из выражения
(11.20)
Обозначим через рэ
величину эквивалентной удельной нагрузки, передающейся с контактного
провода на несущий трос, распределенной равномерно по длине всего пролета l и вызывающей ту же
стрелу провеса b”T.
Тогда

откуда
(11.21)
Значения полного
горизонтального отклонения несущего троса b’T и контактного провода bк
в середине пролета могут быть определены при этом по формулам

Рис. 11.9. Расчетная
схема расположения нагрузок при ветровом расчете цепной подвески
(11.22)
(11.23)
Направление нагрузки рэ принято
здесь таким же, как это показано рис. 11.8 для р'. В тех случаях, когда
несущий трос получает большие смещения, чем контактный провод, нагрузка рэ
будет иметь отрицательное значение.
Величина полного ветрового отклонения несущего
троса в середине пролета (рис. 11.10) исчисляется как сумма горизонтальной
стрелы провеса bТ, полученной тросом под действием ветра,
ветрового отклонения подвесных гирлянд β и прогиба опор γт
(на уровне крепления гирлянд) под действием ветровой нагрузки на провода и
тросы.
Величина полного ветрового отклонения контактного
провода рассчитывается как сумма горизонтальной стрелы провеса контактного
провода bк и прогиба опоры γк на уровне
контактного провода под действием ветровой нагрузки на провода и тросы.
Для схемы, представленной на рис. 11.10, можно
написать
b/к
+ γк – b/т – β – γт =е. (11.24)
Подставим в полученное уравнение вместо величин b/к,
b/т и e их значения из выражений
(11.23), (11.22), (11.17) и заменим величину β ее значением по формуле
,
(11.25)
где λ — длина подвесной гирлянды; qт — результирующая нагрузка
несущего троса, определяемая по формуле
,
где g T+
gK — вертикальная нагрузка от веса проводов цепной
подвески.

Рис. 11.10. Схема
расположения проводов цепной подвески при отклонении ее ветром
При определении значений qT и β по формуле (11.25) для упрощения
расчета не учитываются изменения нагрузки вследствие перераспределения нагрузок
между несущим тросом и контактным проводом. Как показали сравнительные расчеты,
такое допущение не отражается сколько-нибудь существенно на точности получаемых
результатов при определении значения рэ.
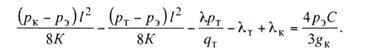
После подстановки в уравнение (11.24) указанных
значений и замены р' в выражении (11.17) его значением из выражения
(11.21) получим

Умножив обе части уравнения на 8КТ/l2
и перенеся
члены, содержащие рэ в правую часть уравнения, получим

откуда
(11.26)
После того как найдено значение рэ легко
может быть определена величина полного ветрового отклонения контактного
провода.
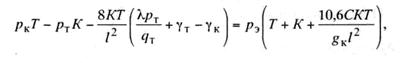
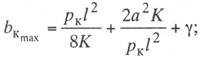
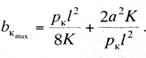
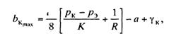
При вертикальной цепной подвеске с расположением
контактного провода по оси пути наибольшее отклонение провода в середине
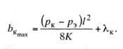
пролета определяется по формуле

При расположении контактной подвески с зигзагом а (на
прямом участке) наибольшее отклонение контактного провода от оси пути
определяется по формуле
(11.27)
Это отклонение имеет место в
точке, отстоящей от середины пролета на расстоянии

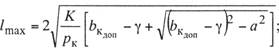
Величину наибольшего допускаемого пролета можно
получить из формулы
(11.28)
Соответствующие формулы для кривых участков
получат вид:
(11.29)
(11.30)
При желании учесть в расчете лишь часть
действующих факторов и пренебречь влиянием остальных соответствующие формулы
для определения значений рэ и bк легко могут быть получены
из выражений (11.26) и (11.27), если принять в них величины γк,
λ, а равными нулю.
Так как в выражение (11.27) для определения
значения рэ входит величина l, при решении уравнений (11.28) и (11.30) приходится прибегать
к методу последовательных приближений. Для этого, задавшись значением l, найденным, например, по
формулам (11.28) или (11.30) для случая, когда рэ = 0, определяют для этого значения l величину рэ
по формуле (11.26). Подставив найденную величину рэ в выражение
(11.28) или (11.30), находят новые значения l, для которых вновь могут быть определены соответствующие им
значения рэ.
Можно также, задаваясь величиной l и определяя соответствующие
значения рэ, находить по формулам (11.27)
и (11.29) значения bКдоп, которые должны получаться равными 0,5 м
или незначительно отличаться в меньшую сторону.
Значение натяжения несущего троса Т в выражении (11.26) следует
брать при температуре и нагрузке для режима наибольшей ветровой нагрузки.
Если определение допустимых длин пролетов
производится до выполнения механических расчетов цепной подвески, величину Т
в выражении (11.26)
можно принимать равной 0,65 Тmах для медного несущего
троса и 0,75 Тmах — для стального или
биметаллического (сталемедного).
Величину То, входящую в формулу
(11.19) для определения средней длины струны, принимают при медном несущем
тросе равной 0,75 Тmах, при стальном или
биметаллическом (сталемедном) 0,8 Тmах.
Зигзаг контактных проводов на прямых участках
принимается равным ± 0,3 м, наибольший вынос у опор на кривых участках 0,4 м.
Длину подвесной гирлянды К можно принимать для
контактной подвески постоянного тока равной 0,5 м при двух изоляторах в гирлянде,
а для переменного тока 0,7 м при трех изоляторах в гирлянде и 0,85 м при
четырех. В случае применения малогабаритных подвесных изоляторов эти данные
соответственно уменьшаются.
Величины дополнительного прогиба опор под
действием ветровой нагрузки γт и γк должны
определяться с учетом давления ветра как на провода цепной подвески, так и на
усиливающие и другие провода, подвешенные на данных опорах.
При наличии только проводов контактной цепной подвески
величины γк и γт, для однопутных консольных
современных железобетонных опор можно принимать для скорости ветра 30 м/сек
равными γк =0,015 и γт = 0,022 м.