![]() |
|
10.3. Выбор расположения поперечных
соединителей подвески
Как было приведено ранее, поперечные
соединители предназначены для распределения тока контактной сети между
отдельными ее проводами (несущий трос, контактные, вспомогательные и
усиливающие провода). Варианты их расположения представляют интерес с точки
зрения нагревания проводов контактной сети, особенно на участках постоянного
тока и в первую очередь контактного провода. При этом следует рассматривать
такое расположение поездов, при котором ток в контактной сети достигает
максимального значения.
Между смежными поездами одного
направления всегда располагается несколько анкерных участков и, конечно, на
одном и том же анкерном участке уж никак не может быть больше одного поезда.
Наибольшим в контактной сети будет
ток на участке, примыкающем к подстанции, и особенно в том случае, если все
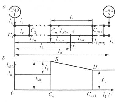
поезда в фидерной зоне размещены как можно ближе к этой подстанции. На рис.
10.10 первый поезд расположен около подстанции ЭЧЭ1, а следующий на минимально
допустимом расстоянии от него. В

Рис. 10.10.
Расчетная схема распределения тока в проводах
этом случае ток фидера Iф подстанции ЭЧЭ1, а следовательно, и ток в контактной
сети Iк получают наибольшие значения. На схеме контактная сеть
представлена двумя проводами с сопротивлениями rк и rт, Ом/км. Сопротивление rк относится к контактному проводу (одинарному или
двойному), а сопротивление rт представляет собой эквивалентное сопротивление несущего
троса и параллельно присоединенных к нему усиливающих проводов (эквивалентного
провода). Контактный и эквивалентный провода на всем протяжении соединены поперечными
соединениями С с расстоянием ln, между ними, обычно равным 150—350
м, иногда и меньше. При параллельной работе подстанций ток фидера подстанции
(например, подстанции ЭЧЭI) определяют делением тока каждого поезда,
находящегося в фидерной зоне, на части, обратно пропорциональные их расстояниям
от подстанции, и сложением соответствующих частей; при этом предполагается, что
все провода контактной сети соединены параллельно. Это предположение
соответствует и конечному числу поперечных соединений. На рис. 10.10, а показано расположение одного поезда в
фидерной зоне в точке А между поперечными соединениями Сn и Сn+1. Токи поездов принимают равными их
средним значениям в фидерной зоне за время хода по зоне. Ток фидера Iф и, следовательно, токи Iт и Iк слева от Сn зависят только от расстояния l1 (координаты нагрузки) и не зависят от координат
(расположения) поперечных соединителей. Не нарушая токораспределения между
подстанциями, ток I1 можно разложить на две составляющие между
узловыми точками Сn и Сn+1 обратно пропорционально расстояниям
от этих составляющих до электровоза (точка А):

В свою очередь, токи I1n и I1(n+1) распределяются между подстанциями
обратно пропорционально расстояниям до них. Следовательно, составляющая
нагрузки фидера подстанции ЭЧЭ1 Iф от тока I1 будет равна

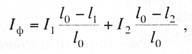
Подставим значения I1n, I1(n+1) в это выражение и примем во внимание,
что I1n + I1(n+1) = I1, тогда Iф = I1(l0 – l1)/l0. Полученный результат говорит о том, что распределение
тока поезда между подстанциями не зависит от числа и расположения поперечных соединений.
При наличии двух поездов ток фидера
подстанции ЭЧЭ1 Iф
будет равен (используя метод суперпозиции)
(10.30)
где l2 — расстояние второго поезда от
подстанции ЭЧЭ1.
Ток на участке от подстанции до Сn распределяется между проводами
обратно пропорционально их сопротивлениям rк и rт.
Если принять, что сопротивление
поперечного соединения равно нулю, то через все попёречные соединения,
расположенные слева от Сn, ток не протекает, и поэтому их число и расположение
не оказывают влияния на распределение тока между проводами. Во всех случаях ток
протекает только через ближайшие к нагрузке поперечные соединения и не
протекает через все остальные.
Наибольшая нагрузка ложится на
контактный провод участка ln, на котором расположен электровоз.
Следовательно, здесь и будет наиболее высокая температура провода.
В связи с этим следует подробнее
рассмотреть нагрузку провода между теми поперечными соединениями, где
расположен поезд. Ток в контактном проводе на участке между подстанцией и поперечным
соединителем Сn
(10.31)
Ток в контактном проводе на участке Сn, А
(10.32)
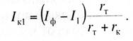
Первое слагаемое определяется током,
уходящим за пределы точки Cn+1, равным Iф—I1. Согласно выражению (10.31)
(10.33)
Второе слагаемое Iк1, связано со значениями тока I1. Рассмотрим две параллельные цепи, соединяющие точку
Сn с точкой А: первая цепь с сопротивлением rкx и вторая с сопротивлением rкln+rк(ln – x). Вторая составляющая тока в
контактном проводе на участке СnА с учетом сопротивления обеих цепей
будет равна

или после упрощения
(10.34)
Подставим в выражение (10.32)
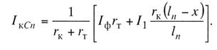
значения составляющих из формул (10.33) и (10.34). Тогда ток IкCn на участке СnА
(10.35)
При изменении х от 0 до ln изменяются составляющие всех нагрузок
фидерной зоны и, в частности, составляющие тока I1 приходящиеся на подстанцию ЭЧЭ1. Так как ln во много раз меньше, чем l0, можно считать, что эти составляющие постоянные. Тогда
ток IкСn в контактном проводе на участке СnА представляется зависимостью IкСn(l1) (рис. 10.10, 6).
В частном случае при l1 = lСn или иначе при х = 0
(10.36)
При х = ln, выражение (10.35) обращается в формулу (10.31) и ток на
отрезке СnА (см. рис. 10.10, а) получает то же значение, что и на
участке от ЭЧЭ1 до Сn. Пока ток I1, протекая от ЭЧЭ1 к ЭЧЭ2 располагается левее точки ln, справа от нее ток в проводе равен Iк1, что определяется по выражению
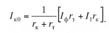
(10.33). Как только поезд минует точку Сn, ток в контактном проводе увеличится
скачкообразно и значение этого тока, т.е. на I1 достигнет значения Iк0 и теперь уж будет определяться по
выражению (10.36). На отрезке СnA ток изменяется в зависимости от х,
как это видно из выражения (10.35), по закону прямой линии (см. рис. 10.10, б).
Прямая ВD показывает, как изменяется ток в контактном проводе на участке СnA при движении электровоза по участку ln, т.е. при изменении х от 0 до ln.
При постоянной скорости поезда
расстояние х в соответствующем масштабе показывает время. В точке Сn эффективная нагрузка контактного
провода будет наибольшей. Определим ее за время хода электровоза tn по участку СnСn+1. При расположении поезда на расстоянии
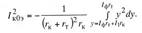
х от Сn [см. выражение (10.35)] ток Iк в этой точке будет:

За время хода электровоза по участку
СnСn+1, т.е. за время tn, при постоянной скорости
(10.34)
При этом значения токов фидера Iф и I1 принимаются постоянными, не зависящими от х.
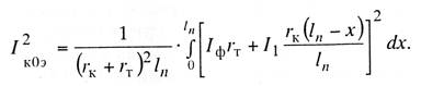
Для интегрирования используем способ
подстановки. Выражение в квадратных скобках заменим на у. Тогда

откуда

Одновременно заменим пределы интегрирования:
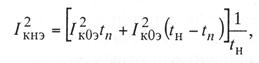
нижний — при х = 0; у = Iфrт + I1rк, а верхний — при х = ln; у = Iфrт Полученные значения подставим в выражение (10.37)

После интегрирования и преобразования
получим
(10.38)
Это выражение позволяет определить
квадрат эффективного тока в точке контактного провода около поперечного
соединения за время хода поезда с током I1 между двумя поперечными
соединителями.
Если ток поезда принимается
неизменным вдоль всей фидерной зоны, то наиболее нагруженной оказывается точка
контактного провода около ближайшего к подстанции поперечного соединения. Это
точка Сn при l1 = х = 0 (см. рис. 10.10, а). В этом
случае нагрузка I1 расположена между ближайшими к подстанции
поперечными соединениями.
Если же ток поезда претерпевает
значительные изменения и достигает максимального значения где-то в средней
части фидерной зоны, то и наиболее нагруженная точка контактного провода может
оказаться в этой зоне. В этом случае ток контактной сети при расположении в
фидерной зоне нескольких поездов (рис. 10.11, а), как известно, может быть
представлен диаграммой (рис. 10.11, 6) при параллельной работе подстанций и
диаграммой (рис. 10.11, в) при отключении тяговой подстанции ЭЧЭ В. Если
наибольший ток (средний на участке между смежными поперечными соединениями)
равен I1 и протекает между поперечными соединениями Сn1 и Сn2, то в выражении (10.38) вместо Iф следует подставить ток IC в контактной сети перед ближайшими к
I1 поперечными соединениями. Его определяют, вычитая из тока фидера IфА (см. рис. 10.11) сумму токов между
тяговой подстанцией ЭЧЭ А и поперечным соединением Ст1.
Под I1 следует понимать
наибольший ток поезда. Это особенно важно, если по участку пропускаются
тяжеловесные и соединенные поезда.

Рис. 10.11. Диаграмма
тока в сети
Наибольших значений в контактном
проводе ток достигает в точках, расположенных между поперечными соединениями,
где находится поезд. Чем больше расстояние между ними, тем дольше держится в контактном
проводе повышенная нагрузка. Теоретически это сказывается на потерях напряжения
и мощности, но так как ln, много меньше l0, эта неравномерность тока распределения тока не
учитывается, т.е. эти величины рассчитывают для случая полного параллельного
соединения проводов контактной сети. Но на нагревание проводов расстояние между
поперечными соединениями может оказать существенное влияние.
По нормам допустимые токовые нагрузки
или температуры проводов устанавливают для интервалов длительностью 1, 3 и 20
мин. Строго говоря, следовало бы определять степень потери прочности проводов
за заданный срок в зависимости от изменения их температуры. Однако такой метод
расчета пока не разработан и в первую очередь из-за отсутствия необходимых
зависимостей старения проводов от температуры и времени ее действия.
По выражению (10.38) определяют
эффективный ток в точке Сn (см. рис. 10.10 а) за время хода поезда по участку Сn — Сn+1. Это время хода всегда значительно меньше
нормированных значений. Поэтому возникает вопрос о необходимости определения
эффективных токов в точке Сn за эти промежутки времени.
При движения поезда и соответственно
точки токовой нагрузки In от точки Сn к Сn+1, т.е. вправо, ток в точке Сn изменяется так, как показано на рис.
10.10 б. Он растет скачкообразно до значения Iк0, а затем постепенно
уменьшается до Iк/. Как показывают
расчеты, наибольшая температура в точке Сn (или Сn+1) достигается в том случае, если ток изменяется
от меньшего к большему, а не наоборот, т.е. если бы ток рос от точки D к точке В — поезд шел справа налево
(от точки Сn+1 к Сn).
Ток Iк, который протекает
справа от точки Сn+1 и определяется по выражению (10.33),
больше, чем ток, протекающий слева от точки Сn, определяемый по выражению (10.31).
В связи с этим на рис. 10.12 как бы изменено направление движения, что для тока
в точке Сn+1 соответствует прежнему направлению движения. Время tn равно времени, установленному по действующим
нормам. На этом рисунке представлено изменение тока в точке Сn (см. рис. 10.10) контактного провода,
точнее справа от нее, когда по рассматриваемому отрезку следует наиболее тяжелый
поезд. Сначала целесообразнее всего определять эффективный ток в этой точке Iк0э за время tн = 0. По выражению (10.18) можно найти
установившеюся температуру
. Она не должна быть выше нормируемой температуры за время tн max = 20 мин.
За время tн, соответственно равное 1 или З мин, эффективный ток в
точке Сn
(10.39)
где Iк0э, Iкнэ — соответственно эффективный ток за
время tn и tн, соответствующее требованию норм.
Так как рассматривается параллельный
график движения, то при однотипных поездах достаточно построить графики тока в
проводе в точке Сn за время, равное минимальному интервалу времени между
поездами. Затем график движения поездов повторяется. Если часть поездов
тяжеловесные и пропуск их следом один за другим не до пускается, то точнее
будет рассматривать отрезки времени, равные двум или трем интервалам, где в
одном из них намечен проход тяжеловесного поезда. В нормальных условиях ток
через поперечные соединители будет протекать только при расположении поезда меж
выбранными и двумя смежными с ними поперечными соединителями, т.е. в течение небольшого
отрезка времени 2tn за каждый интервал времени θ (см. рис. 10.12).

Рас. 10.12.
Зависимость тока в точке Сn от времени
Во всех приведенных расчетах
предполагается, что сопротивление поперечного соединения, включающее в себя
сопротивление самого провода соединителя и переходного сопротивления зажимов,
равно нулю. При эксплуатации сопротивление отдельных соединителей, особенно
контактов соединительных зажимов, может значительно вырасти, что приведет к
иному перераспределению тока и большему нагреву проводов. Поэтому необходимо
иметь достаточный резерв при выборе расстояния между поперечными соединениями.
Видимо, при расчете тока в контактном проводе правильнее допустить, что выбранное
поперечное соединение не работает и его функции выполняют смежные поперечные
соединения. В расчете вместо ln и tn следует принимать их двойные
значения, т. е. 2ln и 2tn соответственно.
Из всего изложенного следует, что в
первую очередь должны быть определены точки контактного провода, в которых
предполагается наибольшее значение эффективного тока за предусмотренное нормами
время: 1, 3, 20 мин. При относительно равномерном потреблении поездами тока в
данной фидерной зоне такими точками являются точки подключения контактной сети
к фидеру подстанции. Если потребление тока по длине фидерной зоны
неравномерное, то такая точка лежит около одного из поперечных соединений.
Нагрузку контактного провода следует определять при расположении поезда с
наибольшим током между поперечными соединениями. Ток Iкнэ2, определяемый по выражению (10.39), сопоставляют с
нормами или (и это более правильно) на основе его определяют температуру
провода по формуле (10.14), которую так же сравнивают с нормами. Расчет имеет
характер поверочного, т.е. сначала задают значения ln и tn, а затем рассчитывают Iкнэ или
за то или иное время.
Теоретически расстояние между
поперечными соединениями могло бы увеличиваться при удалении от подстанции.
Однако, исходя из возможности работы
при разных схемах питания и конструктивных соображений, расстояния между
поперечными соединениями делают одинаковыми. Нормами рекомендуется их
располагать на линиях постоянного тока в зависимости от соотношения
сопротивлений rк и rт: если площадь сечения (в медном эквиваленте)
контактных проводов более 50% общий — на расстоянии 200—250 м; если менее 50%
на расстоянии 150—200 м; если менее 25% — на расстоянии 60—150 м. На линиях
переменного тока в первом и втором случаях выбирают расстояние 250—350 и
150—200 м соответственно. В этом случае для точного расчета токораспределения
следует учесть индуктивное сопротивление проводов. Здесь этот вопрос не
рассматривается. Можно пользоваться теми же расчетами, что и для постоянного
тока, заменив rк и rт их полны ми сопротивлениями zк и zт [см. (10.5) — (10.8)].