![]() |
|
ГЛАВА 10
ТЕПЛОВОЙ РАСЧЕТ ЭЛЕМЕНТОВ
КОНТАКТНЫХ СЕТЕЙ И ЛЭП
Токи, протекающие по проводам,
вызывают выделение в них тепла, а следовательно, потерю электроэнергии и превышение
их температуры относительно температуры окружающей среды. Это приводит к двум
последствиям:
— изменяются натяжения и ординаты
кривых провисания свободно подвешенных проводов контактной сети и
некомпенсированных проводов цепных подвесок. Кроме того, в последних возникает
перекос струн, фиксаторов и консолей;
— ускоряется старение проводов, что
выражается в понижении предела упругости (пропорциональности) и разрушающего
натяжения, и, следовательно, в уменьшении запаса прочности сооружения.
В сложившейся практике
рассматривается только влияние изменения температуры окружающей среды на
натяжение и расположение проводов контактной сети в перспективе без учета
влияния нагрузочных токов на температуру проводов. Вместе с тем положение
проводов контактной подвески имеет значение тогда, когда по этой подвеске
перемещается токоприемник, т.е. тогда, когда провода нагреваются протекающим
током. Положение проводов контактной подвески в отсутствие поездов может
представлять интерес только для проведения различных контрольных измерений.
В проводах контактной сети величина
токов зависит от расположения поездов на определенном участке линии,
потребляемых ими токов; от схем питания рассматриваемого участка и т.д.
Вопросы учета влияния нагревания
проводов цепных подвесок протекающими по ним токами на выбор конструкций и
параметров цепных подвесок реализованы недостаточно. При выборе длин анкерных
участков, мест размещения скользящих струн, конструктивной высоты подвески и
учете влияния перекоса фиксаторов обычно не принимают во внимание и не
учитывают в расчетах нагревание проводов протекающими токами. Практически нет
необходимых экспериментальных данных о старении проводов в зависимости от
величины их температуры и времени ее действия.
Приведенные в этой главе методы
расчета дают возможность решения рассматриваемой задачи в порядке поверочного
расчета применительно к действующим нормам допускаемых температуры проводов и
нагрузок на них.
10.1. Распределение токов между
проводами контактной сети
Цепная контактная подвеска состоит из
нескольких проводов. Кроме того, для уменьшения сопротивления, что, как
правило, необходимо на участках постоянного тока с относительно невысоким
напряжением порядка З кВ, на опорах контактной сети подвешивают еще и
усиливающие провода, соединенные в некоторых точках с проводами контактной
подвески. Ток в тяговой сети или в фидере подстанции определяется для всех
проводов, соединенных параллельно между собой. Для того чтобы судить о
температуре данного провода, например несущего троса, необходимо знать ток,
протекающий по нему. При постоянном токе
ток на грузки распределяется между параллельно соединенными проводами
пропорционально их проводимости или обратно пропорционально их сопротивлениям.
Пользуясь значениями сопротивлений и проводимостей проводов контактной сети
можно определить ток в интересующем нас проводе с номером k
(10.1)
где gk – проводимость провода с номером k; n – число параллельно соединенных проводов.
Следовало бы взять проводимости при
той температуре, которая установится после распределения тока. И хотя эти
проводимости зависят от искомой температуры, в учете этого нет необходимости,
так как уточнение при этом будет ничтожно.
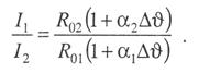
Действительно, если некоторый ток I делится между двумя проводами с сопротивлением
R1 и R2, то соответствующие им токи будут равны
(10.2)
Известно, что
![]()
где R10 и R20 – табличные значения сопротивлений,
приведенные для температуры
= 20 °С; α1
и α2 – температурные коэффициенты изменения сопротивления для
материала первого и второго проводов; Δ
– превышение
температуры свыше 20оС.
Тогда выражение преобразуется к виду:
(10.3)
Если α1 и α2
близки по значению, то ошибка ничтожна.
Представим, что
(10.4)
Последний член выражения представляет
собой малую второго порядка, так как для медных проводов αм=0,0038,
а алюминиевых αа = 0,0039, поэтому его можно отбросить.
Тогда
(10.4)
Превышение температуры Δ
всегда меньше 100 оС
и так как 1+0,0001·100 = 1,01, то ошибка всегда меньше 1%. Это говорит о том,
что в расчетах ток между проводами можно распределить в соответствии с
номинальными (при температуре 20 оС) сопротивлением или
проводимостью.
При переменном токе задача несколько усложнится, так как распределение
токов между параллельно соединенными проводами зависит еще и от ЭДС взаимоиндукции
между контурами, составленными из отдельных проводов. К. Г. Марквардтом в 1982
г. приведены соответствующие формулы для определения тока в каждом проводе при
заданном суммарном токе контактной сети Iкс.
Так, для цепной подвески, состоящей
из одного несущего троса и одного контактного провода, токи в несущем тросе и
контактном проводе соответственно
(10.5)
(10.6)
Здесь
(10.7)
(10.8)
где rк и rт – активное сопротивление контактного провода и несущего
троса соответственно; f — частота переменного тока; dК.Т — расстояние между осью контактного
провода и несущего троса; Rк и Rт – диаметры контактного провода и несущего троса соответственно
Расстояние dК.Т и диаметры Rк, Rт должны быть в одних и тех же единицах измерения.
10.2. Расчет температуры провода для
тока, не изменяющегося по времени
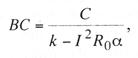
Уравнение теплового баланса
(10.9)
где I – ток в проводе, А; R0 — сопротивление при начальной температуре
(по норме
= 20 °С), Ом/м; α
— температурный коэффициент сопротивления (принимают независимо от температуры),
0С-1; t – текущее время, с; С — теплоемкость провода (принимают
независимо от температуры), Вт·с/0С·м; k — теплоотдача со всей поверхности
провода (принимают независимо от температуры), Вт/см;
– температура перегрева провода, превышающая
температуру окружающей среды в момент времени t, оC.
Отнесем это уравнение к длине
провода, равной 1 м.
Теплоемкость провода С = сm, где с – удельная теплоемкость тела,
Дж/(кг·К); m — масса тела, кг/м.
Первый член в уравнении (10.9)
представляет собой количество выделенного в проводе тепла за время dt, второй — количество накопленного в
проводе тепла и третий — количество отданного в окружающую среду.
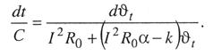
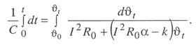
Для решения дифференциального
уравнения (10.9) разделим переменные. Для этого преобразуем это уравнение и
приведем его к виду:
![]()
Преобразуем это уравнение
(10.10)
Проинтегрируем левую и правую части
уравнения (10.10). Можно взять неопределенные интегралы и тогда к решению добавить
постоянный член, определить который можно из начальных условий. Можно принять,
что в момент времени t=0 перегрев провода относительно температуры окружающей среды
был равен
. Проще всего взять определенный интеграл от левой и правой
частей при изменении t от 0 до t и соответственно температуры — от
до
.
Тогда
(10.11)
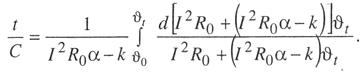
Второй интеграл можно взять методом
подстановки или заменить d
на

Тогда выражение (10.11) преобразуется
к виду:
(10.12)
Известно, что
. Тогда выражение (10.12) можно представить в виде:

Заменим в этом выражении разность
логарифмов логарифмом дроби
(10.13)
и после
преобразования получим

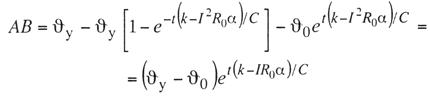
Откуда
![]()
и

Разделим все члены этого выражения на
(k — I2Rα):
(10.14)
Эту формулу использовали и ранее. В
частности, она точно совпадает с приводимой А.В. Ворониным в 1971 г.
Если в расчете не учитывать
увеличение сопротивления с увеличением температуры провода, то для этого случая
можно получить выражение
(t) из уравнения (10.14), приняв в нем α = 0:
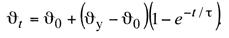
(10.15)
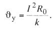
При
t = ∞
(10.16)
Это значение принято называть установившимся.
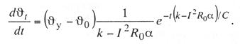
Зависимость
(t) имеет экспоненциальный характер
(10.17)
Здесь
= I2R0 , т.е. количество теплоты, отводимой во внешнюю
среду, равно количеству теплоты, выделяемой в проводе при его неизменном
сопротивлении. Это положение и определяет понятие постоянной времени нагревания
тела.
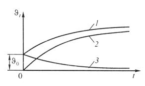
Аналогичный характер имеет кривая
(t), т.е. изменение
по времени и для
случая, когда учитывается, что сопротивление провода зависит от его температуры
[см. формулу (10.14)]. Предположим, что в выражении (10.14) t = 0 (начальный момент времени),
тогда
=
.С ростом t растет
, а кривая
(t) теперь уже зависит от значения α, различного для разных материалов
проводов (рис. 10.1). При α = 0, т.е. без учета влияния температуры на
значения сопротивлений провода, кривая имеет вид 1 (см. рис. 10.1). С ростом
α до значений α2 и α3 растут значения
и
(кривые 2 и З, см.
рис. 10.1).
Если последовательно рассматривать
варианты, отличающиеся друг от друга токами, то для одного и того же начального
сопротивления R0 и α
будем получать аналогичные семейства кривых. Каждому току нагрузки Iн будет соответствовать некоторая установившаяся
температура
(рис. 10.2).
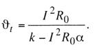
Предположим, что в уравнении (10.14) t = ∞, тогда установившееся
значение
(10.18)
Так будет продолжаться до тех пор,
пока с ростом тока нагрузки знаменатель уравнения (10.14) не приблизится к нулю
при
(10.19)

10.1. Кривые
нагревания проводов при различных коэффициентах изменения сопротивления

Рис. 10.2.
Кривые нагревания проводов при различных токах
В этом случае
стремится к бесконечно
большому значению. Другими словами, установившегося значения здесь нет, что
условно показано на рис. 10.2 (ток Iн4) и на рис. 10.3 (ток Iн). Из выражения (10.18) следует, что установившееся
значение достигает бесконечно большого значения при
(10.20)
Это значение обычно превышает
реальные нагрузки на провод. При этом установившееся значение будет нарастать
по гиперболе, например, для провода марки МФ-100 с = 0,39 Дж/(кг·К); при С = gγβ = 100·8,91·0,39 = 350 Вт·с/(°С·м); α
= 0,004 1/°С, температура перегрева определяется:
и будет изменяться следующим образом:
I, А ……………………………………….200 400
800 1200 1400
,
ºC..……………………………………. 5 25 118
530 ∞
Кривая
(t), построенная по уравнению (10.14), имеет экспоненциальный характер
(рис. 10.4). Определим на экспоненте длину подкасательной ВС, т. е. длину горизонтальной
проекции касательной на участке кривой от точки касания до пере сечения с
асимптотой
=
в точке С.

Рис. 10.3.
Зависимость установившейся температуры от тока
При α>0
(10.21)
где АВ=
-
.
Используя выражения (10.14) и
(10.18), будем иметь
(10.22)
и
(10.23)
Подставив выражения (10.22) и (10.23)
в уравнение (10.21), получим
(10.24)
т.е. длина по касательной ВС не
зависит от момента времени t и остается постоянной за все время роста температуры. Ее
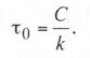
называют постоянной времени нагревания и обозначают τ
(10.25)

Рис. 10.4.
Зависимость температуры от времени
Когда не учитывают влияние изменения
температуры провода на его сопротивление и принимают α = 0, постоянная
времени будет выглядеть следующим образом:
(10.26)
Тогда выражение (10.15) с учетом
уравнения (10.16) примет вид:
(10.27)
или
(10.28)
В выражении (10.27) значение
, представлено двумя слагаемыми: первое слагаемое
представляет собой температуру провода в момент времени t при начальной температуре, равной 0
(рис. 10.5, кривая 2). Второе слагаемое учитывает начальную температуру
, а кривая 3 – падение этой слагаемой во времени. Сумма этих
кривых и даст кривую 1 суммарной температуры
. Подобно этому можно представить и процесс нагревания
провода с учетом зависимости его сопротивления от температуры. Но здесь вопрос
несколько сложнее. Первый член выражения (10.14) характеризует рост температуры
при отсчете от начальной температуры, равной нулю. Пока k > I2R0α, все протекает аналогично случаю,
когда α = 0. Со вторым членом уравнения (10.14) дело обстоит иначе. Как и
в выражении (10.15), он здесь характеризует постепенное понижение слагающей
начальной температуры
. В то же время про вод обтекается током I и, следовательно, его сопротивление превышает
сопротивление R0 не только
за счет тока I, но и за счет слагающей от начальной температуры
. Поэтому понижение
за счет составляющей
от
менее интенсивно. На
рис. 10.6 кривые 6, 4 и 3 повторяют кривые, приведенные на рис. 10.5, а кривые
5,2 и 1 заменяют их соответственно при Rt> R0. Первый и второй члены выражения (10.14) относятся к
случаю, когда по проводу протекает ток I и α >0. Рассмотрим, что получится,
если ток будет отключен и охлаждение начнется с температуры
. Подставим в выражение(10.14) I= 0:
(10.29)
Ток здесь не протекает и значение
сопротивления не влияет ни на что. Если ток нагрузки в момент времени t0 резко уменьшился бы до нуля (рис. 10.7, а), то процесс
охлаждения (кривая АВ на рис. 10.7, 6) будет описываться выражением (10.29),
где вместо
следует принять
.
Если ток нагрузки изменяется от I1
до I2 (рис. 10.8, а), то при нагревании
(кривая АВ, рис. 10.8, 6) в выражении (10.14) ток I = I1 и устанавливается значение
в начале второго
режима. Процесс охлаждения будет описываться также выражением (10.14) (кривая
ВС, рис. 10.8, б), но здесь ток будет равен I2.

Рис. 10.5.
Кривые определения значений членов выражения для нагревания проводов

Рис. 10.6. Кривые определения
значений членов формулы для нагревания провода при различных сопротивлениях

Рис. 10.7. Зависимость тока от времени (а) и кривая охлаждения провода
при отключении тока (б)
Таким образом, если изменение тока в
проводе представить ступенчатой линией (рис. 10.9), то на каждом участке кривая
температуры будет строиться по выражению (10.14) и через оба члена будет
проходить один и тот же ток Ii, соответствующий участку кривой
тока. Здесь же будет определена начальная температура
i-го участка кривой тока. Температура
будет зависеть от тока
Ii-1 на i-1-м участке. Кривая температуры на i-м участке будет зависеть от этой
температуры и от тока на этом участке.

Рис. 10.8. Зависимость тока от времени (а) и кривая нагревания провода
при уменьшении тока (б)

Рис. 10.9. Зависимость тока от
времени (а) и кривая нагревания провода при изменяющемся токе (б)
Ранее были рассмотрены процессы
нагревания проводов током, изменяющимся ступенчато. В действительности же ток в
проводе контактной сети непрерывно изменяется. Поэтому при расчетах по выведенным
формулам под током следует понимать некоторое постоянное значение,
эквивалентное по своему воздействию на старение провода.
Однако отсутствие математических
зависимостей механических характеристик от температуры и времени ее действия не
позволяет определить токи эквивалентного значения. Поэтому приходится мириться
с более грубыми допущениями. Далее под значениями токов будем понимать их
эквивалентное значение по количеству выделяемого тепла (не по старению), т.е.
так называемое «эффективное» значение (среднее квадратичное), взятое за время,
соответствующее поставленной задаче. Если нагрузочные токи поездов в фидерной зоне
не претерпевают резких и частых изменении, то под эквивалентным значением можно
понимать их среднее значение за время хода по данной зоне.