Гидроаппаратура.
Назначение и классификация гидроаппаратуры.
Гидроаппараты – это устройства, предназначенные для управления потоками рабочей жидкости: изменения или поддержания на заданном уровне давления и расхода или изменения направления движения рабочей жидкости.
Основным элементом гидроаппаратуры является запорно-регулирующий орган. Запорно-регулирующим органом называется подвижный элемент, управляющий потоком жидкости. В зависимости от конструкции запорно-регулирующего органа гидроаппараты бывают: а) золотниковыми; б) крановыми; в) клапанными.
Гидроаппараты, служащие для изменения параметров рабочей жидкости путем частичного открытия или закрытия проходного сечения, называются регулирующими.
Гидроаппараты, служащие для изменения направления потока рабочей жидкости путем полного открытия или закрытия проходного сечения называются направляющими.
Гидроаппараты, у которых степень открытия проходного сечения может быть изменена в процессе работы путем внешнего воздействия, называются регулируемыми. Если такое регулирование может быть осуществлено только в нерабочем состоянии, то гидроаппараты называются настраиваемыми.
По принципу действия гидроаппараты делятся на гидроклапаны и гидроаппараты неклапанного действия.
Гидроклапаны – это устройства, у которых площадь проходного сечения зависит от напора проходящего через них потока рабочей жидкости, а у гидроаппаратов неклапанного действия не зависит.
Гидроклапаны в зависимости от назначения бывают напорными, которые в свою очередь подразделяются на предохранительные и переливные, редукционными и обратными.
К гидроаппаратам неклапанного действия относятся гидродроссели и гидрораспределители.
Гидродроссели – это специальные сопротивления, служащие для снижения давления (энергии) проходящего через них потока жидкости. Гидродроссели выполняются в регулируемом и нерегулируемом исполнении.
Основной характеристикой гидродросселя является зависимость расхода от перепада давлений в подводимом и отводимом потоках. По виду данной зависимости они делятся на линейные и нелинейные. Линейными называются гидродроссели, в которых снижение давления, пропорционально расходу в первой степени. Данная зависимость имеет место тогда, когда в дросселе устанавливается ламинарный режим движения жидкости. Примером линейного дросселя является винтовой регулируемый дроссель, представленный на рисунке.
![]() |
Дросселирующий канал в нем выполнен в виде прямоугольной винтовой нарезки на пробке 1. При осевом перемещении пробки относительно корпуса 2 изменяется длина винтовой канавки, соединяющей входное и выходное отверстия. При этом, соответственно, изменяется и перепад давлений на входе и выходе гидродросселя.
Недостатком линейного дросселя является зависимость его гидравлического сопротивления от температуры рабочей жидкости, так как с изменением температуры изменяется вязкость жидкости.
Нелинейный дроссель.
В нелинейном дросселе снижение давления обусловлено вихреобразованием и резкой деформацией потока жидкости при прохождении его через каналы малой длины. Вязкостное сопротивление рабочей жидкости в нелинейном дросселе практически не влияет на его работу. Потери давления не зависят от изменения температуры рабочей жидкости. Если потери давления в нелинейном дросселе пропорциональны квадрату скорости, то он называется квадратичным. Простейшим нерегулируемым квадратичным дросселем является шайба, содержащая отверстие с острой кромкой ( см. рисунок - а).
![]() |
Для получения большего перепада давлений в дросселе такого типа диаметр отверстия должен уменьшаться. Для избежания засорения проходного отверстия вместо одной шайбы применяют пакет дросселирующих шайб (см. рисунок-б) с достаточно большими проходными отверстиями в них. Требуемый перепад давлений в этом случае обеспечивается соответствующим подбором числа шайб в пакете.
Для регулирования скорости перемещения рабочих органов различных механизмов путем изменения расхода рабочей жидкости используют регулируемые дроссели двух типов: крановые и золотниковые.
Крановый дроссель.
В крановом дросселе изменение проходного сечения осуществляется поворотом пробки 1 вокруг своей оси.
Крановый дроссель
1 – пробка; 2 – уплотнение; 3 – корпус; 4 – калибровочное отверстие. |
Золотниковый дроссель.
В золотниковом дросселе в исходном положении каналы дросселя 4 открыты. Под влиянием внешнего воздействия на хвостовик золотника 1, последний сжимая пружину 3, перемещается влево, частично перекрывая проходные каналы 4. В зависимости от положения золотника изменяется гидравлическое сопротивление проходу рабочей жидкости, а, следовательно, и ее расход.
![]() |
Гидрораспределители – это гидроаппараты, предназначенные для изменения направления потока рабочей жидкости в двух или более гидролиниях. В зависимости от числа внешних гидролиний гидрораспределители бывают двухлинейные, трехлинейные и т.д., а в зависимости от числа фиксированных или характерных позиций запорно-регулирующего органа – двухпозиционные, трехпозиционные и т.д.
Наибольшее распространение получили крановые и золотниковые гидрораспределители. Клапанные гидрораспределители применяются реже, так как для управления ими требуются значительные усилия.
Крановый гидрораспределитель.
Крановый четырехлинейный трехпозиционный гидрораспределитель показан на рисунке. Запорно-регулирующим органом в нем является цилиндрическая или коническая пробка 1, установленная на игольчатых подшипниках 3 с минимальным зазором в корпусе 2. В положении показанном на рисунке, распределитель закрыт. При нахождении пробки в положении I жидкость от насоса получает доступ к окну Б и от него, например, к гидродвигателю. Одновременно от другого гидродвигателя через окно А и сливное отверстие 4 жидкость отводится в бак.
![]() |
Недостатком крановых распределителей является то, что в положениях I и II и
одна сторона пробки находится под рабочим давлением, а другая под давлением
жидкости сливной магистрали. В результате возникает сила, прижимающая пробку
к одной стороне корпуса, что затрудняет поворот пробки вокруг своей оси. Поэтому
крановые распределители применяют в системах с рабочим давлением до 10 МПа.
Золотниковый гидрораспределитель.
Так как золотниковые распределители свободны от данного недостатка, то поэтому они нашли более широкое распространение в гидроприводах машин различного назначения. Схема четырехлинейного трехпозиционного распределителя золотникового типа показана на рисунке.
![]() |
Запорно-регулирующим органом такого распределителя является золотник 1, расположенный в корпусе 2. Золотник имеет рабочие пояски и проточки, корпус содержит окна для подвода и отвода рабочей жидкости. Жидкость от насоса подводится к среднему нижнему окну, из которого, в зависимости от положения золотника, в одно из двух выходных окон. Одновременно с этим из второго выходного окна рабочая жидкость стекает в гидробак через сливное отверстие 4. Управление распределителем (осевое перемещение золотника) может осуществляться вручную, электромагнитом, гидравлическим способом.
Клапанный гидрораспределитель.
В клапанном распределителе жидкость, поступающая от насоса, подводится в камеру 1, отделенную от камеры 2 клапаном 3. Для перепуска жидкости из камеры 1 через камеру 2 к потребителю необходимо нажать на хвостовик клапана. Нажатие может быть осуществлено вручную, а также с помощью различных механических и электрических средств.
![]() |
Гидроклапаны
выполняют в гидросистемах роль автоматических регулирующих устройств. Они подразделяются
на регулирующие и направляющие.
К регулирующим относятся напорные и редукционные гидроклапаны, к направляющим
– обратные.
Напорным называется гидроклапан, предназначенный
для ограничения давления в соединяемом с ним трубопроводе гидросистемы. Если
напорный гидроклапан служит для предохранения гидросистемы от давления, превышающего
допустимое, то он называется предохранительным.
Гидроклапан, служащий для поддержания заданного давления путем непрерывного
слива части рабочей жидкости во время работы, называется переливным.
В зависимости от особенностей конструктивного устройства напорные гидроклапаны подразделяются на клапаны прямого действия, у которых поток рабочей жидкости действует на запорно-регулирующий орган непосредственно, и непрямого действия, когда открытие запорно-регулирующего органа осуществляется посредством дополнительного устройства.
Принцип действия напорных клапанов (см. рисунок) основан на уравновешивании силы давления жидкости, действующей на клапан и усилия пружины (груза). Когда сила давления потока рабочей жидкости меньше усилия пружины, клапан закрыт. При силе давления потока жидкости больше усилия пружины часть жидкости перепускается на слив.
![]() |
Напорные
клапаны прямого действия шарикового (рисунок -а) и конусного (рисунок -б) типов,
как правило, применяются в качестве предохранительных. В качестве переливных
клапанов, имеющих непрерывное движение запорно-регулирующего органа, применяются
напорные клапаны золотникового типа (рисунок -в). Разность давлений
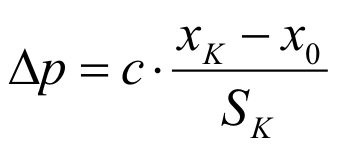
при
открытии и закрытии клапана такого типа может быть определена из следующего
соотношения:

где –
жесткость
пружины;
и
–
сжатие пружины при полностью открытом и полностью закрытом клапане, соответственно;
–
эффективная площадь, на которую действует давление потока жидкости.
Из формулы
следует, что для увеличения стабильности поддерживаемого давления (уменьшения
)
нужно увеличить эффективную площадь и уменьшить жесткость пружины. При больших
давлениях это приводит к непомерному возрастанию размеров пружины и клапана.
Чтобы избежать этого в системах с высоким давлением применяют клапаны дифференциального
типа или непрямого действия.
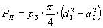
Дифференциальный клапан.
В дифференциальном клапане необходимая сила предварительной затяжки пружины может быть определена из соотношения:
;
где
–
давление на которое регулируется клапан;
–
диаметр седла клапана;
–
диаметр направляющего поршня.
![]() |
При малой разности диаметров седла клапана и направляющего поршня мала и сила, поднимающая клапан, а следовательно и усилие уравновешивающей пружины.
Недостатком такого клапана является его плохая герметичность из-за утечек жидкости через зазор между корпусом и направляющим поршнем.
Клапан непрямого действия.
В клапане непрямого действия, схема которого показана на рисунке, подъемом основного запорно-регулирующего органа управляет вспомогательный клапан 5. Когда давление рабочей жидкости не превышает заданного уровня, клапан 1 прижат к седлу пружиной малой жесткости 3 и давлением потока жидкости, подводимого в заклапанную полость 4 через дроссельное отверстие 2.
![]() |
При давлении большем заданного открывается сначала клапан 5, а так как давление в полости основного клапана 4 вследствие этого падает, то открывается и основной клапан 1, пропуская часть жидкости на слив. При помощи регулировочного винта 7 осуществляется регулировка предварительной затяжки пружины вспомогательного клапана 6, а, следовательно, и величины давления регулировки.
Редукционный клапан.
Редукционным называется клапан, служащий для поддержания постоянного давления в отводимом от него потоке рабочей жидкости при условии, что это давление, меньше чем давление в подводимом потоке. Применяется он обычно тогда, когда от одного насоса необходимо подвести рабочую жидкость к потребителям с различными значениями рабочего давления.
Принципиальная
схема редукционного клапана приведена на рисунке. Он содержит подвижный элемент,
с одной стороны которого находится запорно-регулирующий орган 1, а с другой
– уравновешивающий поршень 2. Так как входное давление действует одновременно
и на уравновешивающий поршень, и на запорно-регулирующий орган, то подвижный
элемент находится в положении соответствующем равновесию сил давления на выходе
клапана и усилия регулировочной пружины.
![]() |
Клапан перепада давления.
Разновидностью редукционного клапана является клапан перепада давления, показанный на рисунке.
![]() |
В
данном устройстве поддерживается постоянной разность между давлениями на входе
и выходе.
Обратный клапан.
Обратный гидроклапан – это направляющий гидроаппарат,
служащий для пропуска жидкости только в одном направлении. Принципиальная схема
обратного гидроклапана показана на рисунке.
![]() |
Открытие клапана производится потоком жидкости при движении ее в прямом направлении. При изменении направления движения на обратное клапан прижимается к седлу усилием пружины и гидростатическим давлением жидкости.