2.2. Тормозная сила. Условия ее возникновения и реализации
В процессе движения поезда на него действует множество внешних и внутренних сил, различных по величине и направлению. Четыре из них в качестве основных используют для оценки изменения скорости в дифференциальном уравнении движения поезда
где С, — ускорение поезда под действием удельной ускоряющей (замедляющей) силы, равной единице, кНкм/Нч2 (для грузовых и пассажирских поездов С, = 120 кНкм/Нч2);
у — коэффициент, учитывающий инерцию вращающихся масс (для вагонов составляет от 0,03 до 0,09, для локомотивов — от 0,14 до 0,2);
/к — удельная сила тяги, Н/кН (для поездов составляет от 0 до 15 НЛсН);
Ьт — удельная тормозная сила, Н/кН (составляет от 0 до 100 Н/кН);
п0 — удельное основное сопротивление движению поезда, Н/кН (составляет от 2 до 5 Н/кН);
/с — величина спрямленного уклона, %о (для магистральных железных дорог 1-й и 2-й категорий составляет + 15%о« ± 15 Н/кН).
Таким образом, тормозные силы, развивающиеся в поезде, являются наибольшими и обеспечивают для грузовых составов замедления от 0,1 до 0,4 м/с2, для пассажирских — от 0,3 до 0,6 м/с2, для электропоездов — от 0,5 до 0,8 м/с2, для высокоскоростного подвижного состава — от 0,8 до 1,5 м/с2. Это позволяет осуществить остановку поездов, движущихся с установленными скоростями приблизительно за 1 мин при длине тормозного пути 800—1000 м.
Изменение скорости движения при этом осуществляется за счет внешних сил, возникающих между колесом и рельсом при торможении, но развиваемых как внутренние на подвижном составе (рис. 2.7). На нем показана простейшая рычажная передача с ТЦ, в который подается сжатый воздух под давлением Р Действуя на поршень ТЦ, он развивает силу 7^, которая через рычаг вызывает прижатие тормозной колодки к колесу с усилием к'
(2.5)
где Рц — давление воздуха в ТЦ, МПа;

Рис. 2.7. Схема сил, действующих на затормаживаемое колесо Лц — диаметр ТЦ, м;
г)ц — коэффициент полезного действия ТЦ;
— усилие отпускной пружины ТЦ, кН; а, б — длины плеч рычага, м;
п — коэффициент силовых потерь тормозной рычажной передачи.
Для улучшения условий отвода тормозных колодок от колес после торможения их размещают на 40—50 мм ниже центра колеса. При этом в общем случае направление силы к' не совпадает с линией, соединяющей центры колеса и колодки. Проекция на эту линию вектора к' дает его нормальную составляющую к' = к'сов р\ создающую силу трения направленную по касательной к колесу против его вращения и численно равную
где фк — действительный коэффициент трения тормозной колодки.
(2.6)
Угол а между горизонтальной осью колеса и линией, соединяющей его центр с осью тормозного башмака, называют углом наклона тормозной колодки. На вагонах он обычно составляет 10°, на локомотивах — около 30°. Угол р (см. рис. 2.7) между подвеской и линией, соединяющей оси колеса и башмака, является углом подвешивания колодок, а угол Р] между подвеской и перпендикуляром к указанной линии определяет величину дополнительного увеличения или снижения их нажатия в зависимости от направления вращения колес
Угол р стремятся сделать равным или близким 90° для среднеиз-ношенных колодок. С этой целью длину подвески (а+б) принимают равной не менее 0,8 Я, где Я — радиус колеса.
При замедлении колеса возникает сила инерции стремящаяся продолжить его вращение
где со — угловая скорость вращения колес, рад/с; т — масса колесной пары, т;
р — радиус инерции (для колесных пар подвижного состава составляет от 0,74 до 0,8 /?).
Поскольку силы к', к, и являются внутренними, то они не могут изменить количество движения транспортного средства. Однако сила (/^ - /•"„), перенесенная по законам механики в место контакта колеса с рельсом, незамедлительно вызывает возникновение соответствующей внешней силы сцепления /^ц, направленной против движения. Ее и называют тормозной силой ВТ, останавливающей подвижной состав.
Таким образом, для регулируемой нажатием тормозных колодок, возникающей в месте контакта колеса с рельсом и направленной в противоположную движению сторону тормозной силы Вт справедливо равенство является тормозной
При сравнительно небольших замедлениях поездов силу /•*„ приравнивают к нулю, тогда
Различают реализуемую в соответствии с выражением (2.9) и потенциальную (максимальную) силы сцепления ^сц тах колес с рельсами
где 90 — нагрузка, передаваемая от колеса на рельс, кН;
тах — потенциальный коэффициент сцепления колес с рельсами.
Чтобы при торможении колесо не проскальзывало по рельсу, необходимо соблюдать условие безъюзового торможения, согласно которому сила трения должна быть меньше или равна потенциальной силе сцепления

При равенстве этих сил колесо продолжает вращаться за счет силы инерции, не вошедшей в выражение (2.12) в явной форме. В юзе, когда происходит потеря скорости вращения колеса за пределами упругого скольжения по рельсу (более 2 %), и особенно в его конечной стадии — блокированном состоянии (при остановке вращения), колесо может повредиться и получить ползун. Глубина последнего лимитирована, и для колесных пар с подшипниками качения не должна превышать 1 мм. Кроме того, при движении колеса в блокированном (заклиненном) состоянии длина его тормозного пути возрастает в 1,5—2,0 раза.
С ростом скорости движения и силы, воздействующей на трущиеся тела, коэффициенты их трения-сцепления уменьшаются. Это происходит в соответствии с молекулярно-механической (адгезионно-деформационной) природой указанных процессов [2], разработанной отечественными учеными И.В.Крагельским, Б.В.Дерябиным и др.
Согласно этой теории, трение, или сцепление, вызываются двумя процессами: взаимным зацеплением шероховатостей, выступов (механическая составляющая) и молекулярным взаимодействием,
образующим адгезионные мостики (молекулярная составляющая), например, если два отполированных бруска из цветных металлов плотно прижать друг к другу и оставить надолго, то они «срастутся» (холодная сварка). Последний процесс усиливается с течением времени.
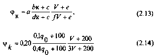
В этой связи обобщенные эмпирические формулы для вычисления коэффициентов трения тормозных колодок, а также коэффициента сцепления колес с рельсами имеют следующий вид

где V—скорость движения, км/ч;
а, Ь, с, d,e,f — коэффициенты равные для чугунных тормозных колодок соответственно 0,6; 1,6; 100; 8; 100; 5; для композиционных тормозных колодок соответственно 0,44; 1; 20; 4; 150; 2.
Рост к или qQ увеличивает суммарную площадь контактных пятен трущихся тел (следовательно, силу трения или сцепления), но в меньшей степени, чем они возрастают. Поэтому коэффициенты <рк и \ук зависят от к и qQ обратно пропорционально (см. ф-лы 2.13, 2.14, 2.15).
Максимально допустимое нажатие тормозных колодок Ктах при равенстве сил в выражении (2.12) находят по формуле

от j — число колодок, действующих на колесную пару.

Рис. 2.8. Диаграмма изменения тормозных характеристик вагона при юзе
колесных пар:
/ — скорость вагона при торможении, 2 — скорость вагона при юзе колес, 3 — предполагаемая скорость вагона без юза, 4 — тормозная сила колесной пары, 5 — скорость колесной пары при юзе
Непрерывное увеличение силы нажатия тормозной колодки приводит к нарушению условия безъюзового торможения (2.12) и не создает аналогичного роста тормозной силы Вт при повышенном скольжении колес. Как видно из графиков, представленных на рис. 2.8 и полученных опытным путем Гальюном [3], после точки Вттах наступает срыв сцепления и юз колесной пары, за доли секунды переюдящий ее в блокированное состояние с существенной потерей тормозной эффективности.
Комментируя эти опыты, Б.Л. Карвацкий пишет: «Через 8 с после начала торможения тормозная сила поднялась до величины 1700 кг, что оказалось больше силы сцепления колес с рельсами, ввиду чего началось скольжение. С этого момента тормозная сила немного увеличилась, а затем быстро снизилась до 270 кг, и лишь к концу остановки она возросла до 500 кг. Из этого видно, что благодаря заклиниванию тормозная сила колесного ската уменьшилась более чем на 80%, ввиду чего тормозной путь, конечно, удлинился».










